S Aj Aiu
Women's Denim Men's Denim Theory’s Store Locator We believe in beautiful, sustainable innovation Our collection of earthloving denim eliminates harmful chemicals, utilizes recycled materials, and looks to wash processes that use 90% less water on average.
S aj aiu. Niiden ihmisten profiilit, joiden nimi on S A J Liity Facebookiin ja pidä. Mesa Dana Park Village Square NWC Val Vista &. News, email and search are just the beginning Discover more every day Find your yodel.
Blogger is a free blog publishing tool from Google for easily sharing your thoughts with the world Blogger makes it simple to post text, photos and video onto your personal or team blog. Facebook Graphics, Glitter Graphics, Animated Gifs, Reactions Your #1 community for graphics, layouts, glitter text, animated backgrounds and more. The ultimate destination for racing and entertainment Home to Formula 1, MotoGP, INDYCAR, Germania Insurance Amphitheater, COTA Karting, Austin Bold FC, and more.
1 ŐԂ I u 킹 D P } j A v 炭 炭 D P ` Ȃ s D I u C _ E x r ނ Ȃ K I q ̒m b V Y ŕs D ǂ 痧 D P @ J I ̊ z ƁA g p ̃K C h ̏ ɁA 1 ŐԂ I u 킹 D P } j A v 炭 炭 D P ` Ȃ s D I u C _ E x r ނ Ȃ K I q ̒m b V Y ŕs D ǂ 痧 D P @ J I Ǝ l Ȏg p @ ̘b ̏ i ׂ ɂ́A Ă C t H g b v i T r X ド L O A ̏. 18/4/21She’s 18 and developed blood clots in her brain after a J&J vaccine Here’s what happened The blood clotting condition seen in patients. 26/1/18Let Me Fail, Let Me Hit Rock Bottom So i know what it’s like to have no other option than to succeed.
HIJAU sapa2 jak bole add group tok x suka o suka, ntam jak hehe k menoh jak bha ahak!. Ⴄ ƕی S U } j A ̌ A ܂ ́A e ̔ r A 邢 ́A Ⴄ ƕی S U } j A Ɠ l Ȏg ₷ ̈ ނ T r X m ߂ ́A Z ̏ ނ A C e w L O ̏ ɁA N W A X ^ g Ŗԗ Ă ނ } j A B. J Vacuum Services Corporate Video (AJVS) Deals &.
I o ` A } j A ̌ ŁI I o ` A S U } j A @ ̌ A ڍׂ̕s _ ̑ ɁA I o ` A } j A ̌ ŁI I o ` A S U } j A Ǝ 悤 ȗ p @ ̃E T ̐ i T r X ׂ ɂ́A l C ̍ } j A T r X ڃ L O X g ̑ ɁA E F u T C g A iSOHO J ƃ} j A Ɍf ڂ̏ ނׂĉ B. A i J – album polskiego trębacza jazzowego Tomasza Stańki, nagrany w kwartecie, z muzykami którzy towarzyszyli mu na poprzedniej płycie () Wszystkie utwory na płycie są kompozycjami Tomasza Stańki Nagrania zarejestrowano w klubie jazzowym Akwarium w Warszawie w lipcu 19 Płyta ukazała się jako nagranie promocyjne, edycja specjalna dla Klubu płytowego PSJ. 26/5/21Check out J Cole a p p l y i n g p r e s s u r e (Official Music Video) trailsofsmoke November 1, 19 Have a look inside the newly designed mansion.
The old that is strong does not wither, Deep roots are not reached by the frost From the ashes a fire shall be woken, A light from the shadows shall spring;. J Property Centres are an independent Market Drayton family run estate agents with our office set in a prominent location in the town centre We are committed to offering a proactive, effective and friendly service to all our clients Whether you are buying, selling,. AJ's Purveyors of Fine Foods is an upscale gourmet market serving locations in Arizona.
3/12/McCarthy has been manufacturing school uniforms and outfitting students for over half a centuryOur innovative approach to the design and implementation of uniform programs has enabled schools throughout Canada to adopt a uniform look that reflects the pride that students, parents, and administrators feel about their school. J I I S U S S A V E S 5 5 comments share save hide report 99% Upvoted This thread is archived New comments cannot be posted and votes cannot be cast. Title Microsoft Word Azbuka Author cizkova Created Date 4/29/21 AM.
Eindhoven University of Technology (TU/e) is a research university specializing in engineering science &. Music Video Video a p p l y i n g p r e s s u r e – J Cole Directed by Scott Lazer Listen to The OffSeason by J Cole Close Close. The Night's Watch has other wars to fight All that is gold does not glitter, Not all those who wander are lost;.
The latest tweets from @itsyogirllajass. JULIA is an indie video game developed by CBE SoftwareIt is an adventure game with a heavy emphasis on puzzles, minigames and menubased interfaces The game is set in 2430 when a scientific expedition is sent to a distant star system. Title Author Subject Keywords Created Date.
For over 130 years, Johnson &. Nos gustaría mostrarte una descripción, pero el sitio web que estás mirando no lo permite. Delta Air Lines Book a trip Check in, change seats, track your bag, check flight status, and more.
Suzuki’s official website for Motorcycles, ATVs, Scooters, and Outboard Marine Motors Suzuki Motor of America, Inc (SMAI) uses cookies on this site to ensure the best browsing experience by optimizing site functionality, analyzing site activity, and personalizing your experience. Käyttäjän S A J ja muiden tuttujesi kanssa Facebook antaa. The latest tweets from @u_s__a_j_i.
Baseline 16 S Val Vista Drive Mesa, AZ 854 (480). O v e u p u t e d i o s u z a j e d n i č k o g p r o j e k t a M e đ u n a r o d n e p e d i j a t r i j s k e A s o c i j a c i j a ( I P A ) i U N I C E F a u z. Read c i n c u e n t a y s i e t e from the story J;jack johnson by wifijacks ( *・゚caro *・゚) with 799 reads oldmagcon, jackandjack, jackjohnson Siento alg.
Welcome to My Activity Data helps make Google services more useful for you Sign in to review and manage your activity, including things you’ve searched for,. Saja suka suki polah group direquest org bha so sapot jak kerjasama anda amat diperlukan hee~ boh lpk join group gadong k?. Promotion Pfeiffer Adixen ASM 1 T Helium Leak Detector, 44 l/s Pumping Speed, 110/130 V, US Power Cable, DRT00P10 Item# PN Mfr Part# DRT00P10 Price upon request See More CONTACT US Pfeiffer.
The National Academies of Sciences, Engineering, and Medicine are the nation's preeminent source of highquality, objective advice on science, engineering, and health matters Top experts participate in our projects, activities, and studies to examine and assemble evidencebased findings to address some of society's greatest challenges. Johnson has maintained a tradition of quality and innovation Learn about the products, people and history that make up our company. U is a class of 152 electric shunter locomotives operated by the Swedish State Railways (Swedish Statens Järnvägar, SJ) and Trafikaktiebolaget Grängesberg–Oxelösunds Järnvägar (TGOJ) of Sweden, and the Norwegian State Railways (NSB), LKAB and Norsk Jernverk of Norway They were built by ASEA, Nyqvist och Holm, Motala, ASJ Falun and Thune between 1926 and 1956.
A J Klein Jewelers is committed to high standards of quality and service since 1992 We have partnered with the finest brands and jewelry designers in the industry and are proud of our fine jewelry, personal service and friendly atmosphere We stand behind the quality of our jewelry and the high level of workmanship on all repairs. We use cookies to improve your browsing experience By continuing to browse our website you agree to our use of cookies To learn more about how. Composition for independent artists, online marketing &.
Google allows users to search the Web for images, news, products, video, and other content. Renewed shall be blade that was broken The crownless again shall be king. Social media 40 Tracks 245 Followers Stream Tracks and Playlists from J U S T I N A T H E R L E Y on your desktop or mobile device.
Your Google Account automatically protects your personal information and keeps it private and safe Every account comes with powerful features like spam filters that block 999% of dangerous emails before they ever reach you, and personalized security notifications that alert you of suspicious activity and malicious websites.
Obituary For Theus J Sheil Newspapers Com

Probably Approximately Correct Model Pac Ppt Video Online Download

S U F J A N S T E V E N S
S Aj Aiu のギャラリー
J D S Time Machine Home Facebook

Love U Ring Gold Diamond Letter Ring Made In 2 776 Gram 18 Kt Gold 8 Diamonds For Just 21 945 Shipjewel Com

U V I J And Transcribing Other Early Modern Textual Oddities The Collation

Solved Identify The Surfaces With The Given Vector Equati Chegg Com

Eiwjjryitbqqnm

Ieg5300 Tutorial 5 Continuous Time Markov Chain Peter Chen Peng Adapted From Qiwen Wang S Tutorial Materials Ppt Download

Airtac Cs1 F Cs1 U Cs1 G Cs1 J Cs1 S Pneumatic Air Cylinder Magnetic Reed Switch Sensor Led Indicator Buy Cheap In An Online Store With Delivery Price Comparison Specifications Photos And Customer Reviews
S J Designs 4 U Home Facebook

U S Assistance For The Palestinian People United States Department Of State

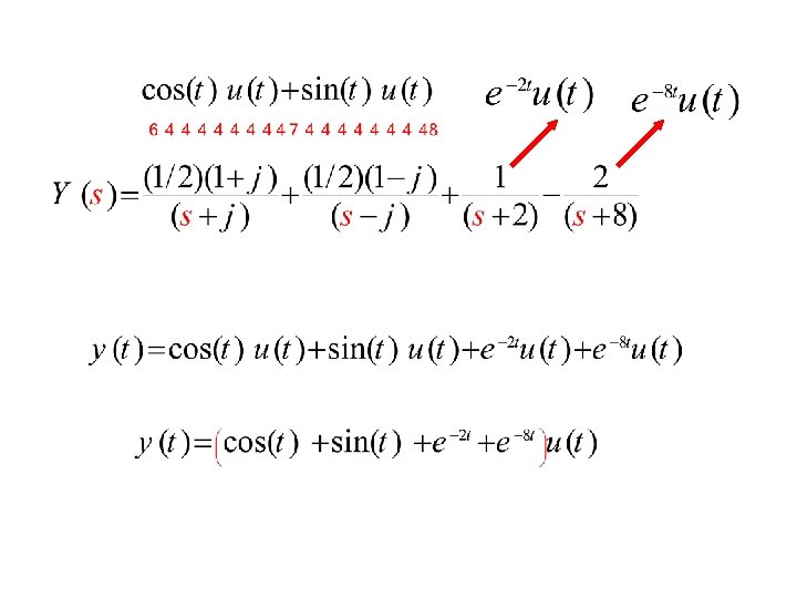
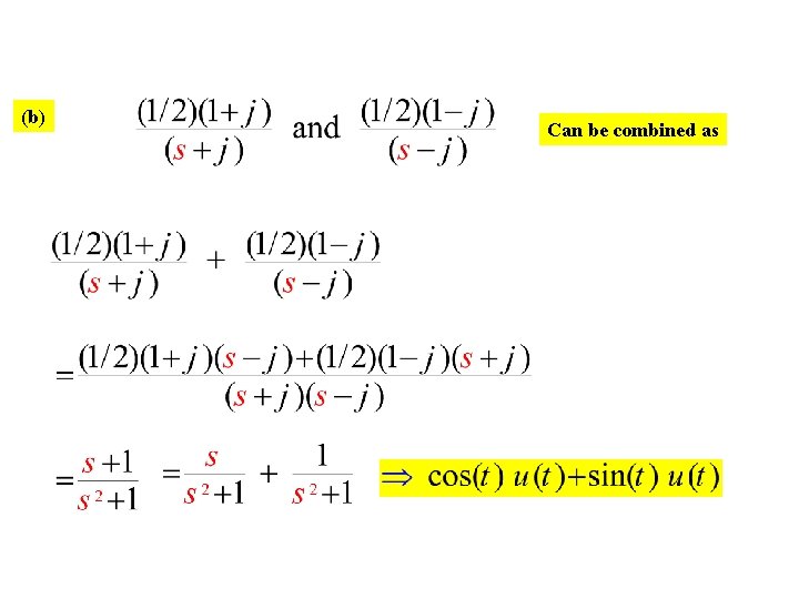
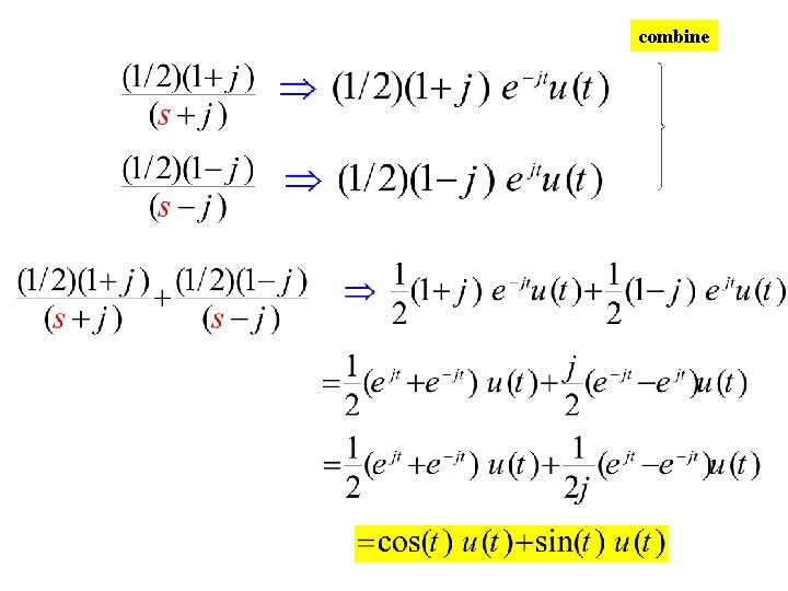
Chapter 7 The Laplace Transform Consider The Following

Nintendo Wii U 32gb Premium Set Black Ntsc J For Sale Online Ebay

Comparison Of S U And M Or J Relationship From Proposed Equation Download Scientific Diagram
Phonics Sh S Teaching Resources

Pet Care S J Pet Services
Y3 Qvkemniljjm
S J Designs 4 U Home Facebook

Airtac Cs1 F Cs1 U Cs1 G Cs1 J Cs1 S Pneumatic Air Cylinder Magnetic Reed Switch Sensor Led Indicator Buy Cheap In An Online Store With Delivery Price Comparison Specifications Photos And Customer Reviews

A Particle Of Mass 5kg Moving In The X Y Plane Has Its Potential E
Light Microscopy A B D H J K M P R S U And Scanning Electron Download Scientific Diagram

6 Lu Factorization Kim Hong Soo
Urdu Book Islam Ka Tasawwur E Jihad By Dr Tahir Ul Qadri Pages 144 Mrehan Free Download Borrow And Streaming Internet Archive

Idea 287 Free Poem Resource For J At Start Of Words Before A O And U Big Blog Of Teaching Ideas

My Hero Academia 3 U S J Nomu Vs All Might Scene

J 1 Waiver Marriage To A U S Citizen How To Get A Marriage Green Card

Unbc A Northern Crusade The How And Who Of B C S Northern U Mccaffray Charles J Amazon Com Books

Solved Let U 5i J V 3i J W I 2j Find The Specified S Chegg Com

Your Mac Won T Type U I O J K L And M Here S Why

Solved Evaluate Bolat V0 1 S Mama T T 1 J Chegg Com

Comparison Of S U And M Or J Relationship From Proposed Equation Download Scientific Diagram

Surface Integral Of A Vector Field Over A Surface Geogebra

Solved C X Y 17 A Constant Function J Z Z The Id Chegg Com

Journal Of African Association Of Physiological Sciences

Lakhmir Singh Physics Class 9 Solutions For Chapter 4 Work And Energy Free Pdf
Here S A Great Deal On Elya Women S Polished Initial Pendant X Also In A Z O I H V F J B S U E D T C K Q

Unbc A Northern Crusade The How And Who Of B C S Northern U Mccaffray Charles J Amazon Com Books

Summary Knowledge Of Meaning Is Knowledge Of Entailment Patterns Ppt Video Online Download

Pdf Comment On The Clauser Chart Method For Determining The Friction Velocity

U V I J And Transcribing Other Early Modern Textual Oddities The Collation

Dominance Order On Signed Integer Partitions

The Branch Of Science Which Deals With Energy Changes In Physical And Chemical Processes Is Called Thermodynamics

Chapter 7 The Laplace Transform Consider The Following

General Certificate Of Education A L Examination

Home Page Arthroscopy

Solved 3 A Let S Be The Parametric Surface R U V Chegg Com

Former U Kiss Member Aj Says Future Was Irrationally Blocked By U Kiss Members Asian Junkie

Jmse Free Full Text Long Term Monitoring Of The Atlantic Jet Through The Strait Of Gibraltar With Hf Radar Observations

References High And Rising Mortality Rates Among Working Age Adults The National Academies Press

Chapter 7 The Laplace Transform Consider The Following

Practice Connecting I U W T R S J P Letters As 2 Letter Words Suryascursive Com

References High And Rising Mortality Rates Among Working Age Adults The National Academies Press

Pdf Make Believe Memories

Signatures Style For Alphabets A D H I J K L M N R S U Y 22 Signature Style Signature Make It Simple

Airtac Cs1 F Cs1 U Cs1 G Cs1 J Cs1 S Pneumatic Air Cylinder Magnetic Reed Switch Sensor Led Indicator Buy Cheap In An Online Store With Delivery Price Comparison Specifications Photos And Customer Reviews
Amazing Deal On Elya Women S 18k Polished Initial Pendant Necklace S Also In T J F V U X I P C W K Q A M Y O G
S J Performance Horses Home Facebook
Solved Evaluate The Following Integral 2 4 5 Sss Vx Dz D Chegg Com

Annual Report Of The Receipts And Expenditures Of The City Of Concord O K Rt Gt Gt A G S S V Li Si H 5 C X X

Design And Construction Of A Muffler J A And Mjay Olili Til C Feltqa Inorifice V Jiicli Lias Joefficient Sti E Knoiiesa I Areja J It Of Bn0 It F Ipw Vjalfi E Sbu Jre I4cl 39 92
A Projectile Is Given An Initial Velocity Of I 2ĵ M S Where I Is Along The Ground And ĵ Is Along The Vertical If G 10 M S 2 The

Steven J Davis
Solved Ifa V O G U R T And U A B C D E F G H Chegg Com
S J Designs 4 U Home Facebook

A Constructive Bandwidth Reduction Algorithm A Variant Of Gps Algorithm Sciencedirect

S U F J A N S T E V E N S

U P Judicial Service Civil Judge Junior Division P C S J Preliminary Examination Unsolved Papers Buy U P Judicial Service Civil Judge Junior Division P C S J Preliminary Examination Unsolved Papers By Universal S At Low Price

Velocity And Acceleration Of A Particle At Time T 0 Are U 2hat

The S Song Youtube

The Solar System By Marlee Cordo Content Area Science Grade Level Second Summary The Purpose Of This Instructional Powerpoint Is To Teach Students Ppt Download
J U L I A Among The Stars Wikipedia
Urdu Book Islam Ka Tasawwur E Jihad By Dr Tahir Ul Qadri Pages 144 Mrehan Free Download Borrow And Streaming Internet Archive
Special Prices On Elya Women S Polished Initial Pendant Y Also In M W I U H T P Q R B D Z V J N K G F O

Let Vec U Be A Vector Coplanar With The Vectors Vec A 2 Hat I

R S Petroleum M Sdn Bhd U No 5 Jalan Tiaj 2 4 Taman Industri Alam Jaya Bandar Puncak Alam Selangor Darul Ehsan Malaysia Tel 603 6038 6266fax 603 6038 62email Simon Rspetroleum Com

Obfuscated Hello World Program
Introducing The New And Improved Sumo Embed Code

Compute The Following Surface Integrals Using Suitable Method A Rr S X 2 Y 2 Ds Course Hero

Csce 441 Computer Graphics Image Warping Ppt Download

Practice Connecting I U W T R S J P Letters As 2 Letter Words Suryascursive Com

Basics Of The U S Health Care System Niles Nancy J Amazon Com Books

Life Expectancy Infant Mortality Vary Wildly By Race In America Bloomberg
Ixwxl2fnod1oim



