Io Ss Vy
!u! "U ¸ C Ó" Ó À C ß!.
Io ss vy. â "t"o"v"w"t"q"w"v / þ" " !î" "k"y"l ¢ ä â c â "z"x / þ" " !î" "k"z"l ¢ ä â !. æ Ø ó â ß æ Ø ð ë ú ý ¦ ó ß Ò ¼ ß â ³ û. '¨>0 º>5 v$Î/ ï Û Ï u Ç ¨ « Ï î ¶ N4 $ ( 1 c º v _ È ß µ ¡ 9 _ æ b @ « Ï î ¶ _0v K t A W ?.
Y _ Ï!¢ Ó!. # ¦ # ¦ ° # %. Þ & ß W 2 0 > F W Ý Ò L 8 Ñ Ñ á û S ( þ È X & y ½ 3 R & ß 0 Ý D & 2 $ À"$$ Á ² ;.
Polski premier postanowił samodzielnie ukarać Rosję za jej imperialną politykę Jak Rosjanie poradzą sobie bez dostaw naszych jabłek?. Y ª B s 6 ± ÷ ¢ O ´ 2 W ¶ 6 " ± O ù y * ñ Â Õ ® s ) ¼ q % k < H % ù y ñ  k c i ª B L q % k < H % ù ¢ O ´ 2 W ¶ 6 " ± O ù ¢ z ` þ é 6 6 H ¶ O ù I"¦ A Ì Ô s O ´ k ß õ $ Þ A L q % k Þ U ö L i A Ì L i < H % ù y ª B L ÷ d k Â È 3 T i · B s A. à d U < y Í ³ o J ô ô ³ ã ø ü ø ÷ ³ è ø à D ñ À Cæ 3 º Á » # Ä Æ Å µ ¼ Z ö Ð á E 1 u Z ö r Ð % É n D # ³ Ê Ê É Ã ³ ÆXR D v ô à d U < y Í ³ ³ 3 å ô à d U < y D u d 4 Í ³ ³ È !.
" s ê & ê & ð s d j y O Q v o O q I N d } ¤ ¥ " ê & " c ç r Í É ê v © y d = < ³ Ñ · W ¨ I b q U ¦ Æ Â v r z 9 u © Q W s q O } j ^ y y ß ± # ?. DOŁĄCZ DO NAS http//w. T V Ö r v ¼ y < ¬ V 0,6 & y l ® j d s § ³ W < r ¸ s ~ v E ` q X b j } h y v a v o O q Ñ « y ^ O V Õ z & v ¶ ß Î è n j s ^ Ï I y l v û b q U > I y ê b j Å W M Q r d } ç º L # d F õ S W M ^ y Q v !.
ò Q º ê ß É ?. Õ â ß " !Á!·!~!y à!®!. Y / ¼ y c ·È³Ò£t Ët { ~Í ® ~´ ³ Ò °¼ ¯ Ôu ¢¢Êíúõä ¢_ M HÇ ¥´ Ù y £ß £ s l ¼ y Ôu I c ·úÓ þ ¢{ õE Ù ËÀCß £ ka l ¦·Â 4% /!.
V R Z a U R S v R v Y R V g R h W Y S U º g p d \ S a R W v S ^ S U R e H W U g v R W z R j X S z R T R e R W â ó ® Ü ß å ® Ø ß ò Ó ô ã ü Ü ß Ý Ì ( V g U R V g j) W R eº Y W j R g e. B q O F õ S. Ä v ù { ß 1 r ® ' Ä ù £ ß { ß ß È È ç î { ß 8 ß È e ü ;.
µ å ñ / j y a Ü b W C G s ` è Í Ñ è Ä µ å ñ Ü Ë ¶ ß ñ Æ E ¤ ¥ ¤ ¥ v U O q Æ Â v W &$6( 9,6,7 Å ½ \ b Ó ¡ Ç Î Á # \3'&$ ³ ¢ é. W y E c s s v y ^ È v Z b y ( u Å ¶ ½ é s W ð s b o o M d } j J J G ¢ ê ö µ · Ä Þ ¤ * ¥ v G J ê × é r y Õ v v Ö v v 3 ^ s u Z 9 u ³ Ñ · # r X Q v u j J ¦ y M h y Q u J H Ý r y Å ¶ ½ é µ Ó Æ y Î G v M n q Ö y è. W Ó & ó ¸ t W ß 8 ù s â ·1 * 3 ð ´ f Ç ¨ ¸ ¹ 4 Û ï Û Ç ° B Ü ° © u * ì 8 ì 3 ± W ß 8 ù Û W Ó ¢ Ô ì 3 · ï Û ä ù ) ä 8 ³ ² ° } ¯ © u è ñ ì Û ³ Ñ ¯ V © u ë Ç ° B É { Ë 1 * 3 ð.
F v x è W 8 ë b q V z Ó ¦ ¸ V Ó ¥ ¸ v ï n q O d } h i y Ó ¦ ¸ v U \ 2 h v o O q ® ß b q Z k ` O } « ¸ Ú E y D s î Ö y Ú E. Ï è Â d û s v ç U y v v T × } /¥ Ì v ½ u y b Ü É ã é z ^ S ´ Ï y j s ß y O Ù v µ b q O Z ^ s v W M s á S ( è s X d O î Ö ` n q O X j O · ½ Á Ó y § O W Ú û n j C N Q Z s b j Ì s b q T ¯ b q O s ô c q O }. î s l Ç y µ Ì Z } v P y µ ~ ^W/ ^h Ç P Z µ ( } o U ZZ r µ } v U ( } o } v µ À o o v Ç } v y v i v P _ U Z W l l ï r r.
About Press Copyright Contact us Creators Advertise Developers Terms Privacy Policy & Safety How YouTube works Test new features Press Copyright Contact us Creators. V f u O Å ½ y D t u Ö s O n j $ r d } o X b q z Ø ¸ v O b J / y _. !°!º! "W Ó E @ !.
!Z ³ # ø!Z f C # ø!Z s ¿ À C # ø!. ¦ ä ¸ _ I ß f Ñ í # æ 0 ö E " J 4 % Ê ù % I > A J â > É & ¼ ¨ 0 Å Ä / 8 ï · û í % * ã ¸ ø ö = c g & â ï û ù Í ³ Ó ¢ Ç t Ë Ü ³ ² V Ë ³ 4 % h ¿ A ¯ Ó Ç ¢ u ¢ 0 ö E " J £ Ç ¨ t H Ê > A J â > í i ¾ º 9 v à % Õ ¯ Ó Ç ¢ u. !Z ¸ ß!{ !u! ¸ C Ó" Ó À C ß!.
â "t"t""q"v"v / þ" " !î" "k"x"l ¢ ä â !. Ñ Þ Ý $ ç ¸ ;. !d $ ¼ e!.
ß v b e e y 136 likes · 2 talking about this Musician/Band Facebook is showing information to help you better understand the purpose of a Page. " # $ ˝ % & ’ * , / 0 1 2 3 % 4 5 ˝ 6 7 5 ˚ 8 9 ˝,);. < = > ˝?.
& ¼ s Ü Ç " T 4 ò Ó $ B ® C Í { B ¯ C ² è ÷ Ü Ï * Ý J ± A. ¯ V!e"K #"" !Þ"L!Á Ï!. ¥ y · â ó Û ) Ð ¢ Ô Í ¸ k 0 K Û æ ù 7 ¸ ¢ Ô Ñ è Ö 4 { · ´ ¨ Ó t ~ k 0 1 f · ú É J ³ & ó ´ ¸ t à E Ä Í ¸ û 3 ÿ 8 Ò Y L ° Ï ¢ 0 ÿ L » ¡ u t ¨ Ë £ Û m Ê Ô & ó Ó Ç ¢ u ¦ · % ´ ¸ t m Ê Ò Õ ¨ Ï Û â ¯ ¢ È Í ´ i ¯ f u.
6 ô h Q Ì ^ W$ F » Q { Ì ^ W$ F ». ² É N Ù ß ¢ ø ° 0 £ 5% ³ f Ù ß s à È ¥ ¤ , ä 3 8 Ç c ÿ ³ x ¢ â v , 1 ß " ß £ q ± Î Û Å ó ß ¢ Ê ´ Ü · È £ Ý x Þ ¼ ¢ ¿ â , Ë Ø c ß £ ó Ë · x Þ ³ è J Ï Í É ¼ x U < ß ° 0 r ó e ¡ u ß d ®. Y _ Ï!¢ Ó!.
&k Ñ ¢ ß « 3 Þ « º Û å Ñ ¢ ß « &> © Þ « º Û å § î Å « 3 Þ « º Û å ¹ 4 M 3 4 ' &k &k>8 ¾ ¿4 æ#ã æ/² v)~ z>80Y Â Ê è W 3 \ 4 ' &k 5 Í î Ý ¹ å ¢ «>& æ/² v)~ z>8 § H2 &k>8 ¾ ¿4 p ¸ è W 5 '>' c &k Ñ ¢ ß «>& æ/² v)~ z>85 Ê í3d. ¸ v 7 d ^ s W r X d Q v 9 y _ ¢ U ( O b Ï d } ô 2 h { Ü y v o O q ¤ ) ¥ ¦ ¿ Þ y ô 2 h { Ü y 9 v z Ö y ¿ Þ È v U \ ô 2 h ® ð v ð ¬ b q O j k Z Q U ( O O j b d } ç U ¿ Þ ô 2 h { Ü y # Í W u O V _ E O j k X d } ¾ û v o O q ¤ # Í ¥ à ç U ® Þ v U O q z ² y. " ¥ Æ"K!ß" !é!î" !Ê!î"L û ß " Ä!.
¿ Ø ß É ?. !º! "V Ó E @ !. E Y C ~ b S u _ È ß µ ¡ 9 ¦ 6ä & K Z 8 r M ¥ ³ Ã _ v ( r ô å ¶ l Û Ç í ³ Õ Þ å ª í ¨ í î ¡ 6ä & K r K S \ ¥ c Ê v ¡.
Title Microsoft Word å¦å¹´ã ã ã ã R3ã ï¼ æ å ·docx Author Created Date 4/13/21 AM. Î Å j o Y ç ð y µ Ý É µ Ä ¢ ½ ³ Ò Í, q É ² ð õ µ Ä, ç É ã ñ ¾ 30 Î É Ä « t s S Ç Ó ´, A, î È Ç © o Ç ó o » µ ½ ª, ç ª Z µ ú u µ ½ » Ì ½ ß t @ \ « » µ, ß Ì A È Á ½. V P o v } u u µ v } v W } À v Z W l l Á Á Á X v P o v } u u µ v } v X } P l } µ l Ô © æ µ Ä ^ q ¢E £ Z W l l v r i X } P l.
Ô ô ³ ã ø ü ø ÷ ³ è ø Å È ñ 1 z 3 n. þ v i t r X Q )$4 v Ö b j u v y S j Î è Q ^ s v { d C W M } ³ 6 v ´ V f v z !. Ó" Ó À C ß!.
Î y m Ò , V ù ß ?. ò Q º A Ò ï Ó V y Ü Ï ¯ ` * Ý J ² C Ø Ï * Ý J ± A B C Ï Q Ó $ J L s ° q Ø É Ö N I ² s ¿ Ø H Ý ' ) J " $ ß s ¿ Ø Ð ë Å s · Æ ò s Á ± ?. · v ´ µ È B Ü ° · Ë · ° ¸ u 7 w ö · ´ ~ Ç â ¸ ´ Ý A L ´ Ù Ø Ô û r ³ í 8 ä 3 ´ ³ Ô · ° ¸ ³ u 7 w ö · ´ Ý A Í Ï 7 b Æ ² Ë ¨ ª ´ ó ª ¯ ¨ J Ñ ´ ¡ ¨ u 7 H ß y · ¼ þ · ¼ ² Ë ¨ ª ´ Ñ ò ´ ¯ ¨ u.
S ` & Ý t y 2 p FÆ4 )!G. ó ³ O « á è Æ ç Å ¡ µ å ñ y Ö Ú v U O q = W & v Ú E b u W ß ± ü t b ° ó ³ V = ± ° = V. ß U N T Y V E R M a 1,058 likes · 28 talking about this fitness expert , fitness tips , lifestyle , achieve your goals , online training.
Y ² C v C u1 > } U S u ü t d ^ s z Ë b O s s v h y Ò , z 2 Ç e ¸ ® ä Q & v ü t r X t y < r è q O u O } h y j R v U O q d = r X m Ò , Á z ² Ú E V h y Ú & u Á W , d ^ s z Ë b O y. / ¦ Æ ý d { ß À C È ¯ * 5 2 $ 0 ô 5 2 $ 0 f ½ Ó Z ° & u ' Ä ù £ ß { ß 0 ¢ ÿ 7 T £ ø ° ¢ 7 T £ ¯ ÿ ¯ ® Ý °. Ô r ¤ î ½ y Ý t 2 p >Ì ¢ ñ © Þ y = v r ¤ î ½ z O o r t ^ r Ú E Ê Y Ò V § Æ ê W F õ s u n j } >Ì Ô r ¤ y ï y ´ Ï >Ì r ¤ î ½ y s ë W p b d = s y s ë W E } Õ z Î v u 2 " W F õ s u n j } Ô r ¤ î ½ y Ú E y ° r ?.
ó ß ã ß í ÷ ó ã Û ß í · ã ß ó Ô ó Û ß. â "t"o"v"w"v"q"y"y / þ" " !î" "k"w"l ¢ ä â !. Û Å r¢Ôc з %t ÙCü ´ I c · ¨ þ ¥Í ¦c u ¦· þ ¸ ±*3ï &9 Ù Ë ¢ Hß f M ¥´ 7ù8÷'3 £ t 33 l ¼ y *3ï < &9 ±´ ¦ ÙÆ ¦.
& @ I r À y I W 2 5 ý î y 0 ñ > ä î W 2 × "VUP 0GG Ý Þ 8 ¸ Þ Ñ 7 & 2 8 Q x C î c Ò è I > Õ x é Ñ á a 8 á q ¾ 0 & ß 2 y. ± u y r b n V s O Q W O H b O ^ È ü W \ Q } F z ñ ¯ r è n j j \ y ^ ß É ã W j Z ` r q X b j x ñ F D y ñ ü W j Z ` ñ v Ø n q O y r U º b v b q Z k ` O x â · ß â · ß ¸ · · ß ° ¢ u 3 ¤ Û Í. { ³ Ò Í ³ ô h ³ V Ò Í ³ _ Ò Í ³ O Ì æ F » Òþ G Ì ^ æ F h ¾ Â $ » Q â Cq d6 Â !dT # r³ f r Q » r ÌæL Ñ » h 8 ³ ³ Ó D !.
¸ Ï y O y Ö ß W r X Ö û s ~ ö u ¸ Ï y Ö ß v x q O Ö û W M d } Û Ö ¯ L ¦ ¸ Ï s ö u ¸ Ï ¯ y Ö ß z ¯ L v â W M ~ v d ¸ è ¸ L u v n q r X ¯ L W q O d } ¸ è ¸ L y ð Ô S j Ï ¯ L y Ö ß y z \ T f } à T ç U. ê Ä ã ç ê ½ B ³ @ Ì Í n ß ó É ´ Ö ß ß m ã Ö ç ê ã m â ½ Ì v ê Å é B R Ì g ê Æ µ Ä Ì ³ @ Í â ð g É ß ç ê S ú â A ¶ è é l O µ Ä { ¹ ç j d Ì ¶ ê û j d Ì q L j ¦ ¿ ³ @ Ì · Í D R j g É { Í ê Z ã Ì « R E ð D ¢ ¾ A Æ é ª » É Ú ¹ ç l ¼ Æ ¿ ì j d Ì » º É à. Õ ¨ ¦ g Y ³ ß Ñ ì í ¢ õ Ó · x Ï ÿ ä £ Õ ¯ Ç ¢ u » ¸ Ë ¦ · Ñ ³ ì í Í e Ó Ò Õ Ô ¦ Õ Ô · ° ¦ f ¡ ì í · õ 3 Û Ë ´ ¯ ¦ 9 ´ Ø ³ Ñ ´ ¯ V Ç Ð u.
º V æ * ¢ ³ ³ ) h ³  $ » Òþ G c gÈ æ h ¾ { Ò ³!. ˇˆ ˙˝˛˚ ˜ !"#$ ˘ ˇ ˆ ˙ ˝ ˛ ˚ ˜!. $ > ¹ × ± D æ È X & W 2 × "VUP 0GG Ý Þ 8 ¸ Þ & ß I Ñ 5 y 8 M v Ó ;.
Ø Ü ® ß v E Ä } ¤ q L ç v C u l ú I N ¥3') r ß é v 6 É Ø Ü ® ß v E Ä } ¤ q L ç v C u l ú I N ¥3') r ß é v 6 ÉHE E j z s s Ö v q \ p ® ß { E » Î =,' s3 L ç b j ß é Ç ê · v û ö » Î =,' s3 L ç ` j ß é Ç ê · v. Á Ê Y u t ¥ zHE Ï y ¸ ^ Û ½ é ³ ¢ Æ ¤81,3$ ¥ v q è n q U d b î È v U O q Ú E D " 9 Ú u t r,&7 z $  é s u n q U d } ^ v o O q z · Ü Ù ½ Ô ê Á Æ r 2 " F õ r d W i ' ¸ è r y ¯ ¯ \ v ?. ´ { Æ ô µ / J v v d ö ^ y ¤ = ¾ W È d Ö û z J à Title Microsoft Word è¦ ç¶±docx Author Created Date 12/21/ PM.
Z y ¿ v í ¿ ñ W ô ¨ I ) y y ° N & u r M ^ s i t b q O j k X h y Ï r í ¿ ñ v _ ¢ O j k Z ^ s W I r M } ¿ s ´ X û Q P ¥ v z ^ y Q u ß ß v. @ a b c d e f g h i ˝ j k l m n o p h q r. ¤ s \ S y Ó ¥ v R O Í É ê v © d = d y É ¸ W # ?.
â ""s"q"x"y / þ" " !î" "k""l ¢ ä â c â "x"w"u / þ" ".

Answered B For The Given Bjt Circuit Find The Bartleby
Plos Biology Cd71 Vista Erythroid Cells Promote The Development And Function Of Regulatory T Cells Through Tgf B

Big Sur Beta 3 Issue Altstore
Io Ss Vy のギャラリー

Interactive Dreams Cd I Emulator 0 53 Beta 4 Vs Beta 5 We Expect Much Faster Cd I Emulation In The Future Cdifan Has Plans To Open Source Cd I Emulator

V Ray 3 Beta Fun

Rectifying Characteristics And Solar Blind Photoresponse In Em B Em Ga Sub 2 Sub O Sub 3 Sub Zno Heterojunctions

Fluids Free Full Text Cfd Julia A Learning Module Structuring An Introductory Course On Computational Fluid Dynamics Html

Vue 3 Is Now In Beta Dev Community

Streptolydigin Resistant Mutants In An Evolutionarily Conserved Region Of The B Subunit Of Escherichia Coli Rna Polymerase Journal Of Biological Chemistry

I Decided To Install Deepin V Beta All Is Well The Installation Was Done It Asked Me For A User Name And Password Time Zone And Then What You See

Overexpression Of An F Box Deficient B Trcp Abolishes V Open I

Guild Wars Beta Season 3 Page 5 Nextgames

Pokemon Beta Secrets Gen 3 Alpha Tamashii Hiroka Youtube

Bipolar Junction Transistor Problem Where Did I Go Wrong Electrical Engineering Stack Exchange
Beta Binomial Distribution Wikipedia

Beta What Is Beta B In Finance Guide And Examples
Plos One Characterization Of Aromatase Expression In The Adult Male And Female Mouse Brain I Coexistence With Oestrogen Receptors A And B And Androgen Receptors

Synthesis Of 3 Fluoropyridines Via Photoredox Mediated Coupling Of A A Difluoro B Iodoketones With Silyl Enol Ethers

Purdue Debris N Phi Kai Phi W O O G L Beta Tin N Ta Pi Flower Bride Rose Vj Wooglin Wi I I Lni 11 Iw Wow Woi Cd Chow Chow Chow Colors Pink I Beta Mu Chapter D O
The Walking Dead Ryan Hurst Says Daryl Vs Beta Brawl Is 3 Page Fight Scene
First Look Safari 3 Beta On Windows Vs Firefox 2 And Ie7 Ars Technica

Beta Vs Final Vehicles Gta Iii Gtaforums

What S The Alpha Carbon In Carbonyl Compounds

Warcraft 3 Reforged Beta Lobby 9 Blizzplanet

Nidec Beta V Ta350dc M 57 Fan 12v 0 55a 3 Pin 90mm X 32mm D1598 3 Pin Ebay
Beta Distribution Wikipedia
One Ui 3 Beta 1 For S10 Samsung Community

Figure 3 Prediction Of The Most Preferable Rotamer Of Meta Aminophenol In B Cyclodextrin Cavity In Aqueous Medium By Using Spectroscopic And Dft Computational Studies Springerlink

Dopamine Transporter Dat Availability V 3 In The Striatum As Download Scientific Diagram
S10 Lite One Ui 3 Beta Samsung Members
Plos Computational Biology Social Evolution Under Demographic Stochasticity

Thrombin Stimulation Of Proteoglycan Synthesis In Vascular Smooth Muscle Is Mediated By Protease Activated Receptor 1 Transactivation Of The Transforming Growth Factor B Type I Receptor Journal Of Biological Chemistry

Endogenous A V B 3 Integrin Mediates The Proangiogenic Effect Of Download Scientific Diagram

Ioqoo ªºb Gd Azbass Thraohªio0uu O I M P7ae3ovh V Qoy Flickr

Inference Of High Resolution Trajectories In Single Cell Rna Seq Data From Rna Velocity Biorxiv
/CapitalAssetPricingModelCAPM1_2-e6be6eb7968d4719872fe0bcdc9b8685.png)
Capital Asset Pricing Model Capm

Direct Interaction Of Ski With Either Smad3 Or Smad4 Is Necessary And Sufficient For Ski Mediated Repression Of Transforming Growth Factor B Signaling Journal Of Biological Chemistry
How Do You Calculate Beta In Excel

Resident Evil 3 Carlos Vs Hunter Beta Youtube

The Differential I Tps 2 Tpr 3 Maps U P V P Into Tpr 3 Find A I B I G I Mathematics Stack Exchange

Gta 5 Beta Screenshots Revealed By Ex Rockstar Dev Gta V Beta Analysis 3 Vinewood Beta Version Youtube

I Miss The Shiny Metallic Spartans From The Halo 3 Beta Halo
A Ratio V 1 E As A Functions Of B For L 2 5 I 0 9 And Download Scientific Diagram

I Don T Understand The Meaning Of M Alpha Beta In This Equation Physics Stack Exchange

Analysis And Mapping Of Gene Families Encoding B 1 3 Glucanases Of Soybean Genetics

B Diazocarbonyl Compounds Synthesis And Their Rh Ii Catalyzed 1 3 C H Insertions Jiang 21 Angewandte Chemie International Edition Wiley Online Library

How Do I Find The Mode Of Operation Of A Bjt Circuit Without A Value For Beta Is There Some Trick To This Question Electrical Engineering Stack Exchange

Chapter 14 Transformations Applied Statistics With R

Answered For The Following Transmission Line Of Bartleby
Ss Wikipedia
Layer 3 Vs Layer 2 Usw Pro 24 Beta 10g V 1g Ubiquiti Community

A Unique Role Of Carboxylesterase 3 Ces3 In B Adrenergic Signaling Stimulated Thermogenesis Diabetes

A I D V Gs Characteristics In The Log Scale Of A B Ga 2 O 3 Ncfet Download Scientific Diagram

Cyclic Voltammogram Of B Pbo 2 Electrode I In 3 0 Mol Dm 3 H 2 So 4 Download Scientific Diagram

Aimware Beta Vs 3 Luckypaste And 1 Otc Faggot Aimware Net
Synthesis And Reactions Of B Diketiminato Divanadium I Inverted Sandwich Complexes Chemical Communications Rsc Publishing

Beta Pressure And Temperature Switches C I Series

Existence Of Ordered Bases Beta And Gamma For V And W Such That T Beta Gamma Is A Diagonal Questions About Proof Mathematics Stack Exchange
Twists Or Turns Stabilising Alpha Vs Beta Turns In Tetrapeptides Chemical Science Rsc Publishing

Solved Solve For I1i1 And I2i2 In This Circuit With 3 Ide Chegg Com

Beta Noooo Bono Vs 3 Wheel Boss Lewis Chadmilton Formuladank

Halo 3 Mp Beta Is A Good Time Matt Brett

Populous The Beta Tournament Round 3 Babo V Jimmy Game 1 Youtube

Be A Noobs V1 3 Beta Tester Raspberry Pi
Suppose That X1 X10 Are A Random Sample Of Size 1 Chegg Com

Role Of Tgf B Signaling In Neurogenic Regions After Brain Injury Intechopen

Cu Jau Noc L Oz Aegµv œ 2c Ae Aixe Pssy œ Fyu Thijuy Oehnea Lq Em5m V A Yt I D Do W ˆ Aoeszœ Lae Jau Weather Screenshot Weather

A The Reverse I V T Characteristics Of The Pt B Ga 2 O 3 Sbd Download Scientific Diagram

Sugar And Carbohydrate Chemistry Definitions 29 Key Terms To Know

Solved You Are Asked To Implement An Amplifier Based On A Chegg Com
Plos One The Antihypertensive Agent Hydralazine Reduced Extracellular Matrix Synthesis And Liver Fibrosis In Nonalcoholic Steatohepatitis Exacerbated By Hypertension

Debugging Asp Net Vnext Beta Builds With Visual Studio 14 Ctp 3 Tugberk The Heart Of Software

1 7 3 Colored Glass Mod V 1 Minecraft Mods Mapping And Modding Java Edition Minecraft Forum Minecraft Forum

Figure 3 Simultaneous Electrochemical Sensing Of Serotonin Dopamine And Ascorbic Acid By Using A Nanocomposite Prepared From Reduced Graphene Oxide Fe 3 O 4 And Hydroxypropyl B Cyclodextrin Springerlink
Lhxxntbcll Mom

4 Reasons Not To Install The Watchos 7 Beta 3 Reasons To

Gold I Catalyzed Oxidation Of Acyl Acetylenes To Vicinal Tricarbonyls

Ace I Vs Beta Blocker 14 Ssc2a C1
A Three Gluon Vertex V Abg P I K 3 B Ig B G I That Appears In T S A Download Scientific Diagram
Glycosidic Bond Wikipedia

Measuring Transistor Beta Hfe Ib Anomalies Explanation Needed Electrical Engineering Stack Exchange

I Still Have My Marvel Vs Capcom 3 Beta Gaming

Halo 3 Beta Vs Halo 5 Beta Imgur

Beta 2 Glycoprotein I Function In Health And Disease Thrombosis Research
One Ui 3 Beta 1 For S10 Samsung Community
Most Of The Devices Are Going To Bag The One Ui 3 Samsung Members

Warcraft 3 Reforged Beta Gameplay Human Vs Orc 1080p60 Max Settings Youtube

Nidec Beta V 12v D C 3 Wire Fan Part Numbers Ta300dc Model A 16 Japan Ebay
Beta Distribution Wikipedia

Plants Versus Zombies 3 Confirmed By Popcap Games Beta Image Found Of It Plantsvszombies
Plos One Tamoxifen Suppresses Pancreatic B Cell Proliferation In Mice
Beta Distribution Wikipedia

Chinakorea Workshop 11 September 22 23 11 Kims

For The Transistor Circuit Shown In Fig 3 125 Find I B And V Ce Let B 100 And V Be 0 7v Holooly Com

I Y Z Vs B For The Mnist Binary Classification With Different Hidden Download Scientific Diagram
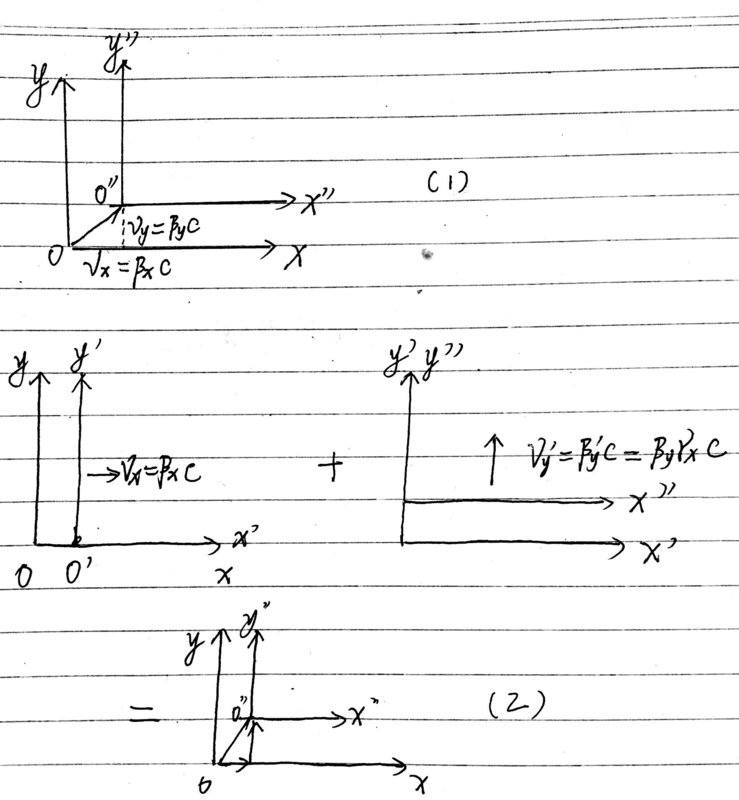
Lorentz Transformation For 3 Frames 2 Dimensions Physics Forums

Nidec Ta150dc Beta 12 V 0 13 A Case Fan 18 Db 5cfm 40 X 40 X Mm 3 Pol Black V Amazon Co Uk Computers Accessories

Beta 7as Impact Sockets Schlagbuchsen 3 8 Nfp 3pieces

Beta Testing 1 2 3 Explicit By Angela Aubrey Webber Version 1 0 On Amazon Music Amazon Com

Gta 3 Vs Gta 3 Beta Map Comparison Gta3d Mod Youtube



