N 2 X
Sep 08, 13 · if n 2 3 x 3 4 x 5 4 x 7 then the number of consecutive zeroes in n where n is a natural no is how to solve means to the power of Mathematics TopperLearningcom 0udrjnn.
N 2 x. Click here👆to get an answer to your question ️ In the expansion of ( x^3 1x^2 )^n , n ∈ N , if the sum of the coefficient of x^5 and x^10 is 0 , then n is. Or multiply symbol?Use * (Shift 8) for multiply. Solution for (n1)x (n2)=1 equation Simplifying (n 1) * x (n 2) = 1 Reorder the terms (1 n) * x (n 2) = 1 Reorder the terms (1 n) * x (2 n) = 1 Reorder the terms for easier multiplication x (1 n) (2 n) = 1 Multiply (1 n) * (2 n) x (1 (2 n) n (2 n)) = 1 x ( (2 * 1 n * 1) n (2 n)) = 1 x ( (2 1n) n (2 n)) = 1 x (2 1n (2 * n n * n)) = 1 x (2 1n (2n n 2 )) = 1 Combine like terms 1n 2n = 3n x (2 3n n 2.
Oct 22, 17 · ##x^{n1} x^{n2} x^{n3} x^{n4} \cdots x^3 x^2 x 1## ##etc## were essentially equivalent and that the terms denoted by the ellipsis could be expanded or collapsed freely as long as the pattern was followed Given that, I can see there's not one but multiple (in fact, infinite) ways to prove the original relation As I've had. N 2 Simplify —— x Equation at the end of step 1 n 2 ((x 2) ——) n x Step 2 Rewriting the whole as an Equivalent Fraction 21 Adding a fraction to a whole Rewrite the whole as a fraction using x as the denominator x 2 x 2 • x x 2 = —— = —————— 1 x. Answer choices (n 2)180.
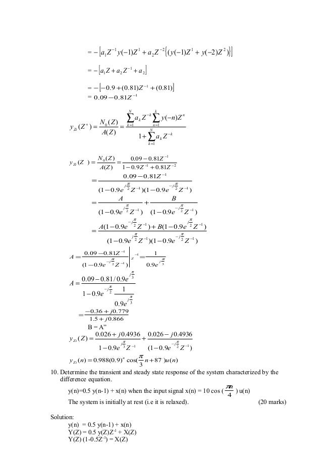
3 Consider the discrete time signal xn=05*n2 (a) Sketch xn (2 marks) (b) Determine the average power and the energy of xn (5 marks) (c) If the sequence xn is an input to a system with impulse response hn where hn=n128n2, what is the output of the system (8 marks) Solution Question 3 Consider the discrete time signal. Free series convergence calculator Check convergence of infinite series stepbystep. Jul 24, 07 · how is n%2==0 used in a loop C / C Forums on Bytes 468,380 Members 2,079 Online Sign in " would run if "n" was odd The only two values that can come out of "'x' % 2" are 1 and 0 Which you should use depends on what you trying to do For example if you want to print all the odd numbers from 1 50 you would do something like this.
That is, we want to show. \sum_{k=1}^n (2k1) = 2\sum_{k=1}^n k \sum_{k=1}^n 1 = 2\frac{n(n1)}2 n = n^2\ _\square k = 1 ∑ n (2 k − 1) = 2 k = 1 ∑ n k − k = 1 ∑ n 1 = 2 2 n (n 1) − n = n 2 In a similar vein to the previous exercise, here is another way of deriving the formula for the sum of the first n n n positive integers. Simplify (x2)^2 Rewrite as Expand using the FOIL Method Tap for more steps Apply the distributive property Apply the distributive property Apply the distributive property Simplify and combine like terms Tap for more steps Simplify each term Tap for more steps Multiply by Move to the left of.
The different sine integral definitions are = = Note that the integrand sin x ⁄ x is the sinc function, and also the zeroth spherical Bessel functionSince sinc is an even entire function (holomorphic over the entire complex plane), Si is entire, odd, and the integral in its definition can be taken along any path connecting the endpoints. Compute answers using Wolfram's breakthrough technology & knowledgebase, relied on by millions of students & professionals For math, science, nutrition, history. If n is the input 2 x3 = what is the output?Not clear Is x a variable?.
Then type x=6 Try it now 2x3=15 @ x=6 Clickable Demo Try entering 2x3=15 @ x=6 into the text box After you enter the expression, Algebra Calculator will plug x=6 in for the equation 2x3=15 2(6)3 = 15 The calculator prints "True" to let you know that the answer is. Δy n n ) n = ( xΔ )n (−x = x n(Δ )(n−1 O(Δ 2 −x = nx n −1O(Δx) Δx Δx Δx As it turns out, we can simplify the quotient by canceling a Δx in all of the terms in the numerator When we divide a term that contains Δx2 by Δx, the Δx2 becomes Δx and so our O(Δx2) becomes O(Δx) When we take the limit as x approaches 0 we get. Oct 13, 11 · (x^n a^n) must be expanded in general as below (x^n a^n) = (x a) ( Rest of what you mentioned above after = sign) So, now, (x a) can be cancelled with the denominator in the problem raised above Suggest me if I am wrong.
It is our desire to bring better conteXt 2 the conteNt that is presented to our learners We want to engage students in team based problem solving that makes a difference in their community, right where they are at We want the students who use our products to be engaged by the conteXt of the product so that learning the content comes alive and. Apr 06, 16 · Stack Exchange network consists of 177 Q&A communities including Stack Overflow, the largest, most trusted online community for developers to learn, share their knowledge, and build their careers Visit Stack Exchange. Apr 01, 19 · If lim(n→∞) (∫(n^3x/(x^5 1))dx for x ∈ n, 2n = k, find the value of 1/k 13, where = GIF.
Feb 01, 14 · A formal mathematical proof would be nice here Let's define following variables and functions N input length of the algorithm, f(N) = N^2*ln(N) a function that computes algorithm's execution time Let's determine whether growth of this function is asymptotically bounded by O(N^2) According to the definition of the asymptotic notation , g(x) is an asymptotic bound for f(x. N→∞ p n(x), where p n(x) = 1xx2 x3 ···xn Variations on the Geometric Series (I) Closed forms for many power series can be found by relating the series to the geometric series Examples 1. However, there will be several terms of the form x n−2 y 2, one for each way of choosing exactly two binomials to contribute a y Therefore, after combining like terms, the coefficient of x n−2 y 2 will be equal to the number of ways to choose exactly 2 elements from an nelement set Proofs Combinatorial proof Example.
Sum of 1/21 ⋯ n/2n = x For n\geq 1, let P (n) denote the statement P (n) \frac {1} {2}\frac {2} {2^2}\cdots\frac {n} {2^n} = 2\frac {2n} {2^n} Then, we want to show that P (n)\to P (n1);. Godox XproN 24G X System TTL Wireless Flash Trigger Transmitter & 2 x Godox X1RN Controller Receiver for Nikon Flash Visit the Godox Store 46 out of 5 stars 173 ratings 55 answered questions Price $ & FREE Shipping Details &. Apr 05, 21 · 1 2 4 8 16 Input X = 1, N = 10 Output Sum = 10 1 1 1 1 1 1 1 1 1 1 Recommended Please try your approach on first, before moving on to the solution Approach The idea is to traverse over the series and compute the sum of the N terms of the series.
Solve by Factoring x^264=0 Rewrite as Since both terms are perfect squares, factor using the difference of squares formula, where and If any individual factor on the left side of the equation is equal to , the entire expression will be equal to Set the first factor equal to and solve. May 29, 18 · We know that cos ( A B) = cos A cos B sin A sin B Hence A = (n 1)x ,B = (n 2)x Hence sin ( 1) sin ( 2) cos ( 1) cos ( 2) = cos (n 1)x (n 2)x = cos nx x nx 2x = cos nx nx x 2 x = cos (0 x ) = cos ( x) = cos x = RHS Hence , LHS = RHS. Is being squared in the numerator That means {\left( {n!} \right)^2} = \left( {n!} \right)\left( {n!} \right) As part of our strategy, we can also separate the original problem into two separate fractions This allows us to see much better what’s going on Perform the necessary expansions and cancel out common factors.
(0,0) x4 (x) Dx LxP(x)dx B(2,2) (9 This question hasn't been answered yet Ask an expert please answer the question as soon as possible Show transcribed image text Expert Answer Previous question Transcribed Image Text from this Question. Buy Abracon ABM3BMHZN2XT in Avnet Americas View Substitutes & Alternatives along with datasheets, stock, pricing and search for other Crystals products. The problem Show that if $a>0$, then the sequence $f_n(x) = (n^2x^2e^{nx})$ converges uniformly on the interval $a,\infty)$ but not on $0,\infty)$ My Solution On the interval of $0,\infty)$ we notice that $f_n(x)$ attains a maximum at $2/n$ by taking the derivative and setting it.
Do you as an educator find yourself needing a convenient and meaningful way to complete clock hours to renew your teacher certificate?. N2 Supplement is a chemicallydefined, serumfree supplement based on Bottenstein’s N1 formulation It is recommended for growth and expression of neuroblastomas as well as postmitotic neurons in primary cultures from both the peripheral nervous system and the central nervous system. Solve your math problems using our free math solver with stepbystep solutions Our math solver supports basic math, prealgebra, algebra, trigonometry, calculus and more.
Many people have already posted how differentiating both sides of the equation math\displaystyle\dfrac{1}{1x}=\sum_{n=0}^\infty x^n\tag{$\dagger$}/math twice gives you the answer you need Indeed, I’d say that these people’s approach is the b. Sep 22, 17 · Yes, but also see below ln^2 x is simply another way of writing (lnx)^2 and so they are equivalent However, these should not be confused with ln x^2 which is equal to 2lnx There is only one condition where ln^2 x = ln x^2 set out below ln^2 x = ln x^2 > (lnx)^2 = 2lnx lnx * lnx = 2lnx Since lnx !=0 lnx * cancel lnx = 2 * cancel lnx lnx = 2 x =e^2 Hence, ln^2 x = ln x^2 is only true for x=e^2. 2 days ago · Answer to Q2 Evaluate the following N2(x) n2(x) Y52(0,0) x4J (x)dx 1, xP (x)dx B(2,2) (3) का.
*A I’m going to demonstrate a way to evaluate this sum that doesn’t require much more than a year or two of calculus I think Donald Hartig already showed the basic principles, but let me elaborate just a bit more We wish to find math\display. Sep 27, 15 · It's exactly the same principle as for x^n == x*(x^(n1)) Insert your recursive function for x^(n/2) and ()^2, but make sure you don't enter an infinite recursion for n == 2 (as 2. The ND Lottery offers the following lottery games Powerball, Mega Millions, 2 by 2, Lotto America, and Lucky for Life To learn more about the North Dakota.
N • (n 2) = 0 Step 2 Theory Roots of a product 21 A product of several terms equals zero When a product of two or more terms equals zero, then at least one of the terms must be zero We shall now solve each term = 0 separately In other words, we are going to solve as many equations as there are terms in the product. You can put this solution on YOUR website!. Proof of x ^n algebraically Given (ab) ^n = (n, 0) a ^n b ^0 (n, 1) a ^(n1) b ^1 (n, 2) a ^(n2) b ^2 (n, n) a ^0 b ^n Here (n,k) is the binary.
(2 position decimal) 5 Stroke Specify in inches – (2 position decimal) 6 Cushions Noncushioned N Cushioned both ends B Cushioned head end H Cushioned cap end C 7 Rod Diameter Specify in inches – (2 position decimal) 8 Rod End Male, large 1 Style Male, large, extended 1X Male, small (standard) 2 Male, small, extended 2X Male modified 2M. Through our downloadable podcasts you can listen anywhere at anytime to the content and conversations within STEM education which include processes, practices, and perspectives. Compute answers using Wolfram's breakthrough technology & knowledgebase, relied on by millions of students & professionals For math, science, nutrition, history.
May 05, 21 · Well, this one is clearly insufficient if n = 2 and x = 0, the answer is NO but if n = 1 2 and x = 2, the answer is YES Not sufficient (2) x^ (1) = 2 > 1 x = − 2 > x = − 1 2 Not sufficient (1) (2) When we combine we have n − 1 2 − n < 0 > 1 n − n < 0. Jan 15, 12 · dire chercher le nombre réel x tel que 2^x = n Alors là il faudra déja que l'interlocuteur sache ce que sont les nombres réels que signifie 2^x quand x est un tel nombre, par exemple la signification de 2^, voire pire 2^pi Alors la résolution de 2^x = 307 donne 1) dans l'ensemble des nombres entiers. That is, we want to show Then, we want to show that P (n) → P (n1);.
Q What is the formula to find the sum of the angles of a polygon?. 2 days ago · Question Q2 Evaluate The Following N=2(x) N2(x) Y5?.

Integration Springerlink
Find The Sum To N Terms Of Each Of The Series 1 X 2 X 3 X 2 X 3 X 4 X 3 X 4 X 5 Sarthaks Econnect Largest Online Education Community

New Bounds For Truthful Scheduling On Two Unrelated Selfish Machines Springerlink
N 2 X のギャラリー

Lim N Oo 1 2 2 2 3 2 N 2 N 3 Is Equal To A 1 B C 1

How Is The Partial Sum Of A Geometric Sequence Calculated Mathematics Stack Exchange

Gnuplot Demo Script Expint Dem
Euler S Continued Fraction Formula Wikipedia
How To Prove 1 2 3 N Terms N N 1 2 Quora
How To Calculate This Infinite Sum Math Sum N 2 X N Math Quora
Series Solutions Of Differential Equations Calculus Volume 3

Two Number Sum Program In Python O N 2 Stack Overflow
Hw 2
Taylor Series Wikipedia

Simplify 16 X 2 N 1 4 X 2 N 16 X 2 N 2 2 X 2 N 2 Simplify 16 2 N 1 4 2 N 16 2 N 2 2 2 N 2 Youtube

16 If Cotx Cos X M And Cotx Cos X N Prove That M2 N2 2 16 Mn Brainly In

Example 6 Show That Middle Term In Expansion Of 1 X 2n Is

Rosenbrock Function Programmer Sought

Chapter 5 Regression With A Single Regressor Hypothesis Tests And Confidence Intervals Ppt Download

If 9 N 3 2 3 N 27 N 3 3m 2 3 1 27 Prove That M N 1 Brainly In

Show That The Sequence Math A N Math Is An Solution Of The Recurrence Relation Math A N 3a N 1 4a N 2 Math If Math A A N 0 B A N 1 C A N 4 N D A N 2 4 N 3 Math
Bessel Functions Wikiversity

Solved We Have That Sigma Infinity N 1 N 2 N 1 X N Chegg Com

Solved Use The Binomial Series To Expand The Function As Chegg Com
Gregory Coefficients Wikipedia

For X N 1 X N 2 2 Show Lim N To Infty Frac X N X 0x 1 Cdots X N 1 2 Mathematics Stack Exchange

N Lim N Rightarrow Infty X Left Ln Left 1 Frac X 2 Right Ln Frac X 2

Solved Expand 9 4 Squareroot 1 X As A Power Series 9 Chegg Com
Generating Function Wikipedia

Math Lab Example

Let F X Lim N Gtoo N N X N X N 2 X N N N X 2 N 2 X 2 N 2 4 X 2 N 2 N 2 Youtube
One Direction Memes Part 2 Hello Again Wattpad
Chebyshev Polynomials Wikiwand
Series Solutions Of Differential Equations Calculus Volume 3
Hw 2
Chebyshev Polynomials Wikiwand

Answered 1 Sketch The Following Discrete Time Bartleby

It Digsig 1
Dsp 05 Sheet Five

Solved Use The Binomial Series To Expand The Function As Chegg Com

If F X Lim N Oo N 2 X 1 N X 1 N 1 X 0 Then Int Xf

Prove That 1 3 2 3 3 3 N 3 N N 1 2 2 Teachoo

View Question A Sequence Of Real Numbers X N Is Defined Recursively As Follows X 0 A And X 1 B Are Positive Real Numbers And X N 2 1 X N 1 X N

Answered In Exercises 1 4 Use The Principle Of Bartleby

Solved Let I 2 X N Sigma Infinity N 1 X 2 N Chegg Com

Ample N Peptide Shot Ampoule 2x 100ml 1pc Buyk Kr

4 1 Higher Order Derivatives

Impurity Induced Scale Free Localization Communications Physics

Dna Sequencing And Genome Architecture Steps In Genetic
Chebyshev Polynomials Wikiwand

Solve For X If Possible M 2 N 2 X 2 M N X 1 2 0 Maths Pair Of Linear Equations In Two Variables Meritnation Com
Hw 2

Chap 2 Biology Of Propagation 1 General Terminology

Specific Mathematical Software To Solve Some Problems Sciencedirect

Solved Starting With The Geometric Series Sigma Infinity Chegg Com

Application Of Thermal Energy Storage With Point Focus Fresnel Lens Concentrator Numerical And Experimental Analysis Sciencedirect

Solved Expand 5 4 Squareroot 1 X As Power Series 5 5 Chegg Com

Show That Lim N To Infty Sum K 1 N Frac N N 2 K 2 Frac Pi 4 Mathematics Stack Exchange
Taylor Series Wikipedia

Answered 2 V 45 45 Complete The Formula For Bartleby

Arithmetique Mathstice De Adama Traore

Rd Sharma Solutions For Class 10 Chapter 9 Arithmetic Progressions Get Free Pdf

Solved Prove That The Series Sigma Infinity N 1 1 1 Chegg Com
Wallis Product Wikipedia

Use The Generating Function For The Legendre Polynomials P N X To Show That Int 0 1 P 2n 1 X Dx 1 N Frac 2n

Show That 1x2 2 2 X 3 2 N N 1 2 1 2 X 2 2 2x3 N 2 N 1 Maths Meritnation Com

Merry Christmas To All Pythonistas Python Programming
Theta Function Wikipedia
If N Is A Positive Integer Such That 1 X N Nc 0 Nc 1 Nc 2x 2

Jee Advanced Maths Paper 2 Solutions Download Pdf
Prove That 1 2 2 3 3 4 N N 1 N N 1 N 2 3 N N By Using Principal Of Mathematical Induction Sarthaks Econnect Largest Online Education Community

Prove That N 2 N In Divisible By 2 For Any Positive Length N
If F X Lim N Gt Oo 3 2 Cosx Sqrt N 2 1 Sqrt N 2 3n 1
21 The Formula S N 2 180 Giv See How To Solve It At Qanda
Wallis Product Wikipedia Republished Wiki 2

Pdf An Effective Numerical Method To Solve A Class Of Nonlinear Singular Boundary Value Problems Using Improved Differential Transform Method
Basel Problem Math Wiki Fandom

Solved Find The Sum Of Each Of The Following Series Inf Chegg Com
How To Expand 1 X 3 In Series Quora
13 Evaluate The Improper Inte See How To Solve It At Qanda
Chebyshev Polynomials Wikiwand

Stolz Cesaro Theorem Online Presentation

Qm Of Particles Iii Rydberg Atom With Laser

Kelvin Function Kelvinber N Z In Python Stack Overflow

Ample N Peptide Shot Ampoule 2x 100ml 1pc Buyk Kr

数学之美 Yuque

The Impact Of Memory Effect On Space Fractional Strong Quantum Couplers With Tunable Decay Behavior And Its Numerical Simulation Scientific Reports

The Value Of Lim N Oo 1 2 3 N N 2 N 2 Is A 1 B 1
If F X Lim N Oo 2 N 2 Sum K 1 N Kx 3 Nx 1 3 Nx 1



