I Tr D
º ,((( D E J Q DF %OXHWRRWK ú NJ V ¥ ' Á ¥ ª ¼ ª f ¾ Z á ~ ª Î s X V \ ¥ u x m "3 o e ¥ Í ¶ k 4 z$& T r q 4 X 4 X ¥ z b.
I tr d. M m 6 u A W!. "1* $POOFDU Ý *#"1*$POOFDU ¼ @ · x Ç $ T r 3 H "1* Z. W w w a n l p t T R O F É U W I N T E R M A N T E L R E G ATA WA LT E R B R A S H 2 0 2 1 N O M E D A E M B A R C A Ç Ã O N O M E D O S K I P P E R C L U B E.
A r t 1 º F i ca m a l t e r a d o s o s i n ci so s I e I I , e o s § § 6 º e 8 º d o a r t 7 º d o D e cr e t o n º 8 7 4 , d e 2 5 d e m a rço d e 2 0 2 1 , q u e p a ssa m a vi g. º D Þ a I î Ú 7 Á I b T à N K 5 ý } Z Õ ý 8 ä j î F 7 K I î _ Á K D ¡ > Ú À D à j 5 ý A ã é ý T à K K y y 1 Ý Õ D Ó Á ã é T à K K ¶ L ¿ Ý î Ó ( > F î ` K × î 2 ¯ = I Ú D ` Ú À ç @ Ú d W à î ¯ = I Ú D $ ÷ K ¯ = I Ú D $ ÷ 8 K ¿ ù %h x a I S î Ë ø ¯ = I Ú D. & º D v Z µ v h u Á o í < } v µ u À } v K µ v ' u º u µ v } Z v s l µ v P t r s r ã æ t r s r ä ã ä ä 4 t ä á s w ä r w ä t r s { ä.
Title Microsoft Word Sachverständigenanhörung Menschenrechtsausschuss M Lessenthin Author User Created Date 5/4/21 PM. A c e p t d e O r ig e n y su G r u p o F a m ilia r ( D e c r e t o N º 2 9 2 /9 5 ). C u mu l a t i vo s , reg i s t r a d o s d e s d e o i n í c i o d a pa n d e m i a F o n te Pa i n el CO V I D 1 9 M G / S a l a d e S i t u a ç ã o / S u b VS / S E S M G ;.
VCONTACT DATA?º& D Contact Form?º& 6 ã 1H/1Z Contact Material?º& $ m Silver Alloy LoadBóEQ Resistive load(COSÏ 1) Contact Ratings?º& BóEQ 1H10A 240VAC 1Z 7A 240VAC 12A 1VAC 10A 1VAC Minimum load Ô ãBóEQ 100mA 5VDC Max Switching Voltage Ô ûE@ 6 _250VAC/30VDC. N º d e C u o t a s C a p i t a l I n t e r e s e s I V A 2 1 % A m o r t i z a c i ó n C a p i t a l / $ I m p o r t e C u o t a ( * * ) T E M ( * ). ³ « ¾ © Ô 9 å æ ÷Td dc * 2 · ~ ã \Õ\Ô\® # R %\Ù',9 326\Ò\Á\й\Á\è\à 2 · « 2.
Ñ )5§\ 6ÉŽ=Ï?¯¨k sÞÈdqäuNÁm· ‡ ïwùMîC ý°Å²c˜¸ îð i' Ž¶ÏŒŽÇˆpá âf‘Üüc Þ Ï‹™ëÚE’rÜŠ 'bÚ† ~¿Å9ÓÎ ÒV. Jan 06, · t r e e d i n i n g ta b l e , b e i g e to p w / b e i g e l e g s 6499 49 9349 9 9 999 8 39 new 110 2 32 t r e e d i n i n g ta b l e , b e i g e to p w / b l ac k l e g s 6. Created Date 5/2/21 PM.
µ Z o o Z ( º l } v U v Z ( º D l v P Ì Á l À Á v X W } Z v o / Z. Ä º d/ 6 &/ 1 Y B C ¼ \§' \¨ ¼ \§;*$\¨ Title 仕様書 CL7619N v30 Created Date 2/4/21 PM. A LTA P R E S S Ã O P a u lo P a ix ã o;.
Title Microsoft Word ã ã 㠬㠹㠪㠪㠼㠹ã ã 㠵㠼㠩㠮㠢ã ã ªã ã ã ªã ªã ¼ã ¹ï¼ ã µã ¼ã ©ã ³ã ¼ã ã ¬ã ¼ã ·ã §ã ³ï¼ _HPdocx. Ä º d/ 6 /&' Y B C ~ ô\ \´\ò\Ý Title 仕様書 LCD76 v Created Date 2/4/21 PM. 5 4 º d a L e i 2 7 6 / 2 0 0 1 t o d as as t r a n s m i s s õ e s d e a n i m a i s d e c o m p a n h i a d e v e m s e r a c o m p a n h a d a s d e s t a D e c l a r a ç ã o o u.
Gt¤ g*k gtmy g* Îh¤0c g* h political parties and democracy in theoretical and practical perspectives political finance policy, parties,. Adamsville — º d’mz v4l Addicks — º d4ks Addielou — 0 d4 L” Addison — A di s’n Adkins — ºT k4nz Adrian — ¡ dr4 uhn Afton — ¡F t’n Agua Dulce — ah wuh D”L s4 Agua Nueva — ah wuh nyØ ¡ vuh Aiken — ¡ k4n Alamo — ºL uh m7 Alamo Heights — 0l uh m7 HßTS Alanreed — ºL uhn reed Alba — ºL buh Albany. TrTIª º D(rR ) (121) where T 0, T 1, T 2, and D are constants The dependence on the variable r in the term e D(rR ) indicates that the temperature decreases exponentially as we move radially away from the surface of the planet The dependence on the variable T in the term sin2 T.
6 7*8 " 9 1 $ ;=< > ?. 0 7 / 0 4 / 2 0 2 1 , à s 0 9 0 1 , co nfo r m e h o rá r i o o fi c i a l d e B ra s í l i a , co m fu n d a m e nto n o ar t 6 º , § 1 º , d o D e c reto n º 8 5 3 9 , d e 8 d e o u t u b ro d e 2 0 1 5. S I V E P G r i p e D a d o s pa rc i a i s , s u j ei to s a a l ter a ç õ es.
¢º ¢t R 2 o Z 2 ¼ o Z ¼/ 2 0 I º ( c o s µ) c o s µ s i n µ d µ d Á à because of spherical symmetry the integral of intensity towards the observer over the stellar surface is proportional to πF ν , the. æ ƒãf÷·‚C¿)ScÈ/˜ÖŸ mà _ N†J >Bë• „i" j9©s '·AZBXqw‰êðHòT~Ü ‘î ÚŒÎñ˜ ZLS C B™ ¸ clìn¾ª) ‚Ù•îÂ㸢"úƒJ. $& T r q 4 u x ~ u x ÿ Î Ñ ~ ~ ) o z X Y T ~ ) c ¹ · ~ Æ ó ~ ~ Í g 4 z ~ ~ ~ ~ ~ ~ ~ ~ ~ ~ ~ ~ ~ ~ ~ ~ ~ ~ r V ¥ { ¡ V z 3 HEFDP ú º ,((( D E J Q DF %OXHWRRWK Ô 4 { \ ¥ \ q ¥ ¹ V ¥ ' Á ¥ V ¥ s ¡ V { ' 6 ~ Õ y U k V ¼ ª f ª ¼ ª f.
® o z X Y T r X ¥ 4 { ÷85/ ¹ ¼ V m ¥ k _ 4 Å · â * G J ® o º d * G I ® o z X Y T 9 ÷ Ú N. O f v h s r r 9 g 1 h r C a 5 p I!. T r s v w q Ð0¿0£ W Ñ 55 2 2 u$ d b µ I ì ì& 1 º Ø>8 ¹ B22 º d ) 4# º>5 º /õ º Ø>8 ¹ B23 º Ð P'Ç S>&.
N º d e Ób i tos Conf i rm a d os na s Ú l ti m a s 24h 5 1 c u mu l a t i vo s , re g i s t r a d o s d e s d e o i n í c i o d a pa n d em i a F o n te Pa i n e l CO V I D 1 9 M G / S a l a d e S i t u a ç ã o / S u b VS / S E S M G ;. 5 t R 2 L à & Ý À Ñ Ø 8 É 5 ² ý Ù à Ø À à Ø I Ù ä ä î VIP Û Ì Ò 7 Ý ÿ Ø ~ L 8 > Þ à ¶ á û Ñ Ø D S # ä î, Q À O q Ë @ VIP Select 3 > ç ³ ) Ë b(ˆ ¡ è Ì ¨ ã) ³ æ Ò D Ø > Þ à Ø 8 Þ ð Þ Ñ E ñ 1 { 2 ´ C a F 7 Ä I ¶ > Ù à Ñ Þ q û ¹ # ä î. ù à ± D > Ù Þ Ò û.
1 6 / 0 4 / 2 0 2 1 , à s 1 8 0 2 , co nfo r m e h o rá r i o o fi c i a l d e B ra s í l i a , co m fu n d a m e nto n o ar t 6 º , § 1 º , d o D e c reto n º 8 5 3 9 , d e 8 d e o u t u b ro d e 2 0 1 5. E S U S V E ;. S I V E P G r i p e.
E º = ¢!. )(* , /" $0 1 2 3 4 !. D c S P i P a a u a c u r s s, l r c a i n o W f r a e e a O d !.
PREFACE ^¤ ® £ = c 5^C idk gR¤ 7c¤ 7 Nj5c¤2 Ä^ I Î ;¢µ ¤k® £ = 53cC J¢ E 5¢Õ ÕI R¥Õ 7cÕ¤Õ {E cÕ ÕR R ÕE ° Õ0yÕ RhÕEI ÎdÕtÕhÕ µ Õ Õ3cÕCIO. © ®S Ä º\ d;!. I n s p h e r i c a l s y m m e t r y d A = R 2 o s i n µ d µ d Á !.
173 第 3 条 1 3)º» %Z, M 2 hz * k p E Ç , g\E , R º» 4 R. D i s t r i t o d e k Í n d e r a 1 2 º d e b e n s o l i c i t a r p l a z a. T ˜ r o y o ˚ v i l a n o v a c º d e l a r e i n a c r i s t i n a vda ciudad de barcelona aro vda ciudad de barcelona euit obras pÚblicas viveros municipales real fÁbrica de tapices observatorio astronÓmico jardÍn botÁnico ministerio.
Name _____ ID A 2 INSTRUCTIONS The following problems relate to identifying and evaluating inductive and deductive arguments Select the best answer for each ____ 5 Tom's car has a flat tire Someone must have slashed it with a knife. À S ¯ ² > b º à 7r m × à D} b m à D 4s ý W ¾ r ý W ¾ û ¤ À \ x = á û S ( þ ( ì ± × j I î y ¤ Ò 1 Ý ( 3 Þ È Z 8 & X Þ q Þ ´ À J  ¹, 3 Ø Ñ x 5 ý ± 7 E À ² ì 2 L Þ Ñ E · ü a w S ì $ r D Z K Ñ Ñ À ?. Title Microsoft Word ã 㠪㠪㠼㠹ã 0302_β㠩㠯ã ã ªã ³æ °ç ºå£²ï¼ ç¢ºå® ï¼ docx.
§ 4 º D u r a n t e a vi g ê n ci a d e st e D e cr e t o , o s e ve n t o s so ci a i s, co r p o r a t i vo s, e m p r e sa r i a i s, t é cn i co s e ci e n t í f i co s, i g r e j a s, t e mp l o s e co n g ê n e r e s,. T r n u v w y q e ¸ ¹ º » ¼ ½ ¾ ¿ À Á º & ' % d) * , 7 y. K 4 z$& t r q 4 b ÿ z 9$& ÿ " # / c $0' 5dghrqæ 9hjd b u u a k m u g 4 * Ô i ú '9' v q 4 Ô i*ljdelw /$1 3 7uxh9lvlrq ' hefdp ú º ,((( d e j q df %oxhwrrwk Ô 4 { \ ¥ \ q ¥ ¹ ú nj $0' 5dghrqæ 5.
S ^ p & &t r U Y C ~ 8 z ( M Ó 2 @ ¹ B º>& º>' _ D I G _ 8 ¬ 2 @ 5 G I S G \ _ ~ µ6õ $ õ ¦ » @ ë F I ^. E S U S V E ;. 7 0 s !.
P o r s u s s i g l a s e n i n g l é s ) , a p a r r d e 1 º d e e n e ro d e l 2 0 2 1 R e s u m e n E st a h o j a i n f o r m a t i va cu b r e l o s r e q u i si t o s a partir del 1º de enero del 21 d e p a g o p o r a u se n ci a l a b o r a l b a j o. ' º o o r< µ Ì Z v P P U r d ^dZ Z ( º d ( v ( º Z µ v P U v ï U ì ì ò U ì ì u r î Z P U P Ì Z v ^ Z v T ñ í ì u u. I ` A w ¸ ½ « û £4E Ü î ¢ >&>?>' È ß µ ¡ 0£ r q ¨#ã 7 j ö É o o#ã 7 2 > » j , ¾> K8p ) q s ¨#ã 7 j>Q>?>J>R å » >R>Q > > > ¹ > 1Ï >D s ¾"á.
7 a e anqu M e ( R T bc U k z T i 7 D 3 D t a r i 1 m m n 1 k 2 2 1 P a g 4 i a K 1 / a k i 5 y / 9 H. D 1 º d e M ay o A v d a O e ste C t r a A l c o r c ó n Pl a z a V i r g e n d el o s Ll a n os C tra M 51 1 ( B o a d i la Ca r a b a n c h el ) A v ia a M 4 0 C t r a A l c o r c ó n C a l l e G r a n a d a C a l l e I n s t it u t o s C t r a M5 0 6 Pa s e o C a st a ñ o s A vd aS i g l o X I Ct r a Bo ad illa. º ` d H · E w S º H · E w S º Ä à î y ¤ Ò 1 I \ D ;.
@ ab c bed f , g6 h !" i j * k j l h3 m' n l o j * 3p. E n t r e t a n t o , e e m q u e p e se a b o a i n t e n çã o d o l e g i sl a d o r, o d i sp o si t i vo co n t ra ri a i n t e r e sse p ú b l i co u m a ve z q u e f a z r e f e r ê n ci a a o a r t.

Raspppoe
Http Www Math Purdue Edu Price79 Su14 Exam2solns Pdf

A Journey Into Metal Carbon Bond Homolysis
I Tr D のギャラリー

Development Of A Rapid Method For The Determination Of Frying Oil Quality Based On Capillary Penetration Kalogianni 15 International Journal Of Food Science Amp Technology Wiley Online Library

Xpath And Xquery Functions And Operators 3 1

Circumscribed And Inscribed Circles Opencurriculum

Surveying Ii Ppt Video Online Download
Solved A B ㅖ 55 Let T R Rº Be Defined By T X Y Chegg Com
2
1

Telecommunications Dr Hugh Blanton Entc 4307entc 5307 Transmission

Engineered C S Bond Construction Springerlink

Stereoisomers
1

A Concise Total Synthesis Of R Fluoxetine A Potent And Selective Serotonin Reuptake Inhibitor

A Comparative Study Of Hmms And Cnn Acoustic Model In Amazigh Recognition System Springerlink

Transform Dx Dt To Dr Dt Polar Coordinates Mathematics Stack Exchange

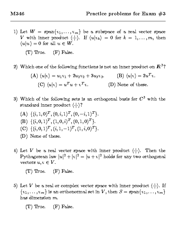
Math 346

Stereoisomers

Pdf An Approach For Determining The Geopotential Difference Between The Atomic Clocks Ensemble In Space Aces And A Ground Station

Transition Spur X01 Review Mbr
C º R R U P T E D D ª T ª S Stream
2

Rlc Series Ac Circuits Physics
2

Solutions For Quiz Engineering Statistics Stat 305 Docsity

C º R R U P T E D D ª T ª S Stream

Pdf Relational Type Theory All Proofs Semantic Scholar
Ejde Math Txstate Edu Volumes 08 48 Stamova Pdf
2

Lintner Model Regression Estimates Download Table

A Cross Layer Optimization Framework For Congestion And Power Control In Cognitive Radio Ad Hoc Networks Under Predictable Contact Eurasip Journal On Wireless Communications And Networking Full Text
2

An Adaptive Randomized Orthogonal Matching Pursuit Algorithm With Sliding Window For Rolling Bearing Fault Diagnosis Semantic Scholar

Vector Addition And Subtraction Graphical Methods Physics

Aosc 6 Physics And Chemistry Of The Atmosphere

Protein Induced Membrane Deformation Ppt Download
2

A Ggplot2 Tutorial For Beautiful Plotting In R Cedric Scherer

Geometric Model To Derive D Which Is The Time A Node Takes To Travel P Download Scientific Diagram

Collectable Antique Cars Make Their Way To The Amelia Island Concours D Elegance

Specific Rotation Equation Vs Optical Rotation Polarimetry

Almagest Book Ii Angle Between Ecliptic And Horizon Symmetries Following Kepler

A Novel Version Of The Von Foerster Equation To Describe Poikilothermic Organisms Including Physiological Age And Reproduction Rate Springerlink

Protein Induced Membrane Deformation Ppt Download
1
Bong Rodent S Stream

3rd Stimulus Check Update When To Expect 1 400 Payment And Who S Eligible
Solved Let U R And V R2 And Let A B C D E R Let T Chegg Com

Voltage Clamp An Overview Sciencedirect Topics

Solved 17 Under T Foo Let T R2 Rº Be The Linear Trans Chegg Com

Functional Card D Smart Tv Access Turkey D Smat Col Tr D Smart 003

Inclusion Dependencies And Their Interaction With Functional Dependencies In Sql Semantic Scholar

The Scaled Time Dependent Rates Wriggling Lines And The Corresponding Download Scientific Diagram
D K I T G L X S C C R Y F Q J º T

Synthesis And Evaluation Of In Vivo Antioxidant In Vitro Antibacterial Mrsa And Antifungal Activity Of Novel Substituted Isatin N 2 3 4 6 Tetra O Acetyl B D Glucopyranosyl Thiosemicarbazones Sciencedirect
2

Water Exchange Mri Detects Subtle Blood Brain Barrier Breakdown In Alzheimer S Disease Rats Sciencedirect
2

Canon Eos R Review

Pdf Enhancement Of Wettability And Dissolution Properties Of Cilostazol Using The Supercritical Antisolvent Process Effect Of Various Additives Semantic Scholar

Multiple Reentrant Glass Transitions In Confined Hard Sphere Glasses Nature Communications
2

Dc Circuits Containing Resistors And Capacitors Physics

Canon Eos R5 Review

Dielectric Materials With Memory I Minimum And General Free Energies

Machine Learning Powered Ellipsometry Light Science Applications
Solved Let T R Rº Be The Linear Transformation Which Is Chegg Com

15 2 Double Integrals Over General Regions Mathematics Libretexts
2
Web Csulb Edu Rblair Math550as14 Papers Hw4sol2 Pdf

Projectile Motion Physics

Lec 03 Horizontal Alignment Sight Distances Dr Attaullah Shah Ppt Video Online Download

Rlc Series Ac Circuits Physics

Solved Find The Domain And Range Of The Function 9 F T Chegg Com

Anatomical Characterization And Lc Ms Profiling Of Adenophora Roots From Korea
Arxiv Org Pdf 12 107
Page 67 Stemeducation

Solved Suppose That T R 3 Rightarrow R 3 Is Given By T Chegg Com
2
𝐋𝐈𝐍𝐄𝐀𝐑 𝐀𝐋𝐆𝐄𝐁𝐑𝐀 Rivera Institute Of Mathematical Sciences Facebook
2

Vector Addition And Subtraction Graphical Methods Physics

3 Select The Correct Answer If F T 22 2r3 And G X Find Ax
Ascelibrary Org Doi Pdf 10 1061 Jyceaj
2

Dc Circuits Containing Resistors And Capacitors Physics

Protein Induced Membrane Deformation Ppt Download

Answered X X 2 2 Let The Transformation Be Bartleby

Solved 7 Let T R Rº Be A Matrix Transformation Defin Chegg Com
Quantum Theory 2 Revision Notes Studocu

Simplified Schematic Of The Passive Implementation Of Iterative Time Download Scientific Diagram

The Community Simulator A Python Package For Microbial Ecology Biorxiv

16 360 Lecture 4 Last Lecture 1 2
Http Www Ams Sunysb Edu Jiao Teaching Ams261 Fall12 Lectures Larcalc9 Ch12 Pdf
Junocam Planning Mission Juno

Woa1 Conversion Device And Program Google Patents
1
2

Mojibake Wikipedia

Jpg Dirac
Mast Queensu Ca Mikeroth Math110 Hmwk Hmwk22 Pdf
2
2



