U F X
à~Ü Ú ìHÓ à Ú%ìHÜ ÙsÚ%ìºÓ1ã äºØºØFÖRà Ú%ã"Ö Û z2#%# f0 ÂÓAåÞ²â â äHã¥Ó Z n Ú Ö 2!.
U f x. M N O P;. Ä ¿ Õ t x ª w á æ M ì » w Ä t b > V ` o S ± â ô \ g M C w Ö s è ¹ t b w q ß Q { f \ p Z p x p ¢ Ý H ª 0 Å t g ì p K ª \ g M C w Ý ¯ q w È Q t m M o ¶ Ð * æ M U  ` h {Z M O & } Z 0 Å ¬ ù þ O. ² ¸ ñ Å ß Ý ú { o Å Ö A Ð ñ (058) n § ( Ê ª æ8 ) ñ¤ à X ` v¤ R O @¤ à ¶ w e Ì { É Â ¢ Ä.
0 1 2 3 4 5 2 3 6 7 2 3 8 9;. ó P p ¢ ª ® ^ X ¯ w P n y © è å. X ª G v c G x ª G v c % h û Z ê ¸ à ¹ î & Ö î Ñ î Â Õ Ñ î D Ñ î í ü Ö î ã ª Ú ´ ý â ¶ Ú î r ® ¨ c ô G x ª Ö Ó ¹ Õ Á ¸ P Z ¹ Ü ã ª Ø µ ª £ W K î & b î p v x.
é x @ ª ) V ¥ z & " ' H ± u » ³ À ' ) I µ Á ¦ Q k · ø ° T & µ Q · = æ Ú Ö Q k > ' H ) J · 8 1 ± ' ü R Ò * Q @ É ` º * ~ t & J G ³ ½ $ % Þ I = & æ Ï ' A P Æ î Q ÿ I = G b £ ± = ) $ ß Ö ¶ = u ¹ Ö E ° ü R ». X ¦ ª ² È A q å S z Ë ÿ q s ` h { s º 0 x z Ò Ü ¾ ~ Ò A ¦ ú S ¦ Ó ³ ã ï ¾ ~ ¾ t 8 Â Ú ¾ s r t W S 3 8 Â Ú ¾ t S Z é µ § ¿ Ä s r w f w !. V µ ú ¢ p ü A n ì H U ú ¢ á { P ½.
Ì* · ú ö ï ú r ú ú ö Á O ú å ö ö v ú ö { ?. 8 9 e P;. 0 1 2 3 4 5 6 7 8 9;.
Ö p K b { ¦ ª ¢ ² È A q å S z Ë n £ q s ` h { b { ¢ b t °. A B E F;. ¶Ú¯ Ö Ú¶¨¨ Ö¶ q¶ëÚ ¯ ý Ä h ¨Úæ æ Yh ¯ Ö ÚÂÖëq Õo å¤x à~ ª x~Ñ Õ~òå~¤¤~ª ~¤Õà åª Á § ªªÕfÑå.
T , Ú Ö Ú U ² å S n ¹ y © è å S @ Ö ' x Ï ± n s t P O Ê k w n) _ p M T Ï M « k ¦ Ç Ú M ¦ Ç k s r x ² å S w ¦ Ç î w , t ÿ) _ Ï ² å S ÿ L ª w ÿ ¹ q s ó o M b Ð y , Ú Ö Ú w ï ¹ x Ï ² å S T ª ÿ ¹ w ÿ / L ª q s ó o M b U Ï \ w O j ¿ Ú Æ 4 O h w R S Ð T , Ú Û · Ú Ü w H ` x Ï ² å S L ª s M / L ª q s ó o M b Ð y h Ï Ê 4 Û Ê w Ú Ü t m M o x Ï ² å S ª M / L ª q s ó o M b Ð @ Z F Û ;. Ím 23 온라인 유통시장 성장에 따른 빠른 배송서비스 확산 di à o¼ KLø&~ºa»¼=o¼ RÌ @Hê w. EÅdêÈéŽ š/¸ù¢Š(¯Dù€¢Š(©¢‹w'¥ ǸäÖ¥¥©r ØÚ >a‹ Ç Òiö˜ " ³¶ ŽvÊ>œWæzøj)jÉmíøéT ç¡©B€ `Vœ cµu9XüÒ ÊÑã· j(qÚ$^Õ2ÅíY9 ð¤‘E ’"f€Ãï) 0ÿ ©5¸1 ÍÔ ÁúVªÇÅgHŸd»ÚÄù œ @ÕP ôfXŠ þ½Zœ²9Ý 4–š~ œRf›EY ÅÍ&i3Fi âæ ÑJHÅ ¹.
² S Ã ú i% õ { ý ê _ { r y M ú U F. F Æ I = ' @ H K 0 X b Ü Q I þ ¯ 2 b Ü 7 Æ Q w = % G å a ;. 平成11年11月17日 (4)資本金 1,000万円 (5)事業活動の内容 産業廃棄物収集運搬業(汚泥)・排水槽清掃 排水管清掃・貯水槽清掃・グリストラップ清掃 水回り付帯設備の改修工事及び点検 (6)事業.
Roof_DrainZurnZ100DPIC Arcat 21. Y ¦ ü & u Ä N j f ¤ ¥ H T b d } ê z Ù R r ° ¸ Ö d } # ê W F õ r d } ¡ ð 8 z F v D ¦ b q è O d } ð 8 Ö z Ö ² y ¶ < Í l ¡ ³ Í u I ¸ r y ð 8 W F õ r d } « ¿ Þ y ² ½ s b q ð W v o Z \ 0 è O d } ç F Ö V ç F Ö è ô F. D ~?¸@ @ >© Ì ÆÚ ¢ ª£?è } ?é } ?ê ?¸?º@ ?Ë }@ ?ë.
G Ì ú ö z Ó @ ö õ ³ Ù \ U ß s ú ö ¢ ?. ¦Ð>´£© ¹ ç'áøRÇ ôƒ KÎ 'j3Lèx§túÒb€ Ô´ 8¤ë@ Ò‚(=¨ýi ¹ïKëM Å(ëÚ˜ 3Žh ZOZ^( $Šnyæ ØžÔ„sÇ9 aÎ}¨ïƒÚƒîhõÏj )éÒšzdQíH Î Ö“?. The Irrelevant Investor Investing and Personal Finance 7 ^.
¥ î æ õ Ù 0~ Ù Ó Ü 2 ö ý k þ Ü Ó0 , ¹ â ú 6 À è ý þ0~ h ¢ T À p è (¡ þ0~ ` J ý 0 U Ü Ô Z Õ ö Ñ Ó Ü 2 !. X ª î 9 & x ô a ~ , ð k ® p « & l z ² ' & v ~ , j ¨ Ä « a c G Å < Ú k a « Ú ê * ± æ j v Ä « a c Å © x ê * æ j a ~ 4 I U ÿ Ú Õ $ £ j © < v U ÿ ± i < c v x Ä « a c Å ¯ ´ y ¼ t « ~ ê Ú. X 9 Y F;.
I J K L;. Vitamin_D_suulation_groups_Û æ_Û çBOOKMOBIßo È&ˆ ³ 4 ;Ž BŒ IÊ PÉ X?. Ú § Ö v′ 3 = α3 − P2 i=1(α3,vi)vi ± Ï L S È y § v′ 3 Ú v1, v2 é v′ 3 ü z v e) £ Ð ¯ K µ k þ α1,α2,,αk § ¦ d 5 v1,v2,,vk k Ø Ä α4 9 ± þ § K 8 ( d) ^ @ p { v1, v2, v3 ¼ v4 ë ì d) ¥ O v3 {§ = l o þ α4 ¥ ~ 3 ® k ü Ý K Ú Ö v′ 4 é Ù z § v4 / b ½ ® ² j ü þ v1, v2,, vj K 1 j 1 vj1 U X e Ú ½ µ 1 ò αj1 w o þ § ¿ O § 3 z vi Ý K µ (αj1, vi)vi ¶ 2 l o þ ¥ ~ Ý K Ú § Ö µ v′ j1 = αj1 − Pj i=1(αj.
@ A B C D E F G H I J K L M N O P Q R S T U V W X Y Z \ ^ _ ` a b c d e f g h i j k l m n o p f e j l q o n i k r g s m t u v w x y z. はじめに このたびは、「SoftBank 008SH」をお買い上げいただき、まことにありがとうございます。 SoftBank 008SHをご利用の前に、「かんたんガイドブック」および「取扱説明書(本書)」をご覧にな り、正しくお取り扱いください。ご契約の内容により、ご利用になれるサービスが限定されます。. 10 N ( ½ ¬ 22 N )1 13 ú ¦ ú ¿ Ò g z ½ a ² A L Z E A æ Ì Ï X ª Á ½ ê Í, ¼ ¿ É Ê Å Ï õ ï ¶ É Í ¯ o Ä º ³ ¢ B.
Q r t u v y f g h ~ w x { n o { § ~ n k w f g h w } ® ®w x l ¶ ¤ ¡ o p ¢ £ § ~ ¥ {. O¼ RÌ @F@a»ííÝ =?. 4ðE6ø'8ÿC ëð Dò '(ô Ó ö Ó%ø Ó1ú Ö MOBI ýé „ û ÿÿÿÿÿÿÿÿÿÿÿÿÿÿÿÿÿÿÿÿÿÿÿÿÿÿÿÿÿÿÿÿÿÿÿÿÿÿÿÿ0.
² d r d r e ê d _ { ÿ a 7 "¤ ÿ ?"¥ ô L X % 7 e { · y ² ?. \ © $ 6 d å ú 7 a U { 7 ý { L e å r ì « è 6 e { {Ù m l l G B Á ö P ¢ y l { !. C ú ö y C ú ö C 4 ú ö ú ® ú ö ® ú ö ö ú µ ú I > ú Æ ú ö c ú ö µ G Ì ú ö { ?.
û ª Ì ª É Ý t « ³ ¤ È X ª µ Ä ° s v c ¾ B Ö ª å « È é Ì Å é B O Ú ö É È è Ü j ö É m P Æ Î ð f ¢ Ä ¨ ¦ ¢ B â ¾ ª o Ä ° Ì O Í ~ é B È è Û É Í ê ä ö É È Á Ä H Á Ä Ò é B ñ { ÌáÁ Ô È Å ã ª _ Ì h a Î Ì Å Ì Z ê Å é B ² å É É ³ ñ Æ ¹ ç ê ½ Ì Å. M ú U F ( r K i& õ ý ê _ { r M ú U F ( !. ËUM¯t p` bT < H ú Ö`oM h ùz `o qxs d {fw.
A B U F;. ú Ö k È Ú E < p x 8 ø Ø t \ a h ú t y \ * % t ^ ;. Optimi€ˆóonôemps †ðior€²l‰ht âchesƒð1> DA ¥èlien cahi¦i¾ ’ rµ ™w™w¥w™w¥w¥w¥w¥w¥w¥w¥qCe—𳸪H'inscŒ ¥S£a¥U až  ž'ž'ª'4.
_„ f m6 r xt €* ˆx ™3" $¨i&°0(¸x*ÀU,È Îó0Ö¶2ÞI4æ 6í„8ô úŒ »> @ ÌB ~D F #. ã ç Ô t Ú s Æ Ì Ö A ª F ß ç ê Ä ¨ è A » x Z « Í A ã ç Ô t Ú s Æ § Ú É Ö ^ µ â R ª ñ Ü Ï « @ \ Í l X È v f ª ¡ G É ° p · é ½ ß É Í I É ª ñ » J j. Z \ F 4 5 ^ _ ` T a;.
B B ¤ è ` V ¾ w C \ H Q ® L U K {$ t Ô b O t y \ æ w à ¯ Ú x M c y U ¾ Á æ ` o S c ® Ö ï w ª j ä r g ¼ x y ¾ Á \ a o M { ä r g ¼ q ª j ä r g ¼ z ± b q ä r g. ÛÅà%ÓWíiäºÓ ÙiÚ ã Ó7ÚWæ ìºÓWà Ó ÛÅÖRà%ÓRê0Þ ÙHã Ú%ÓWÜ\ÝûÖRÛÓ M!. Âw×~ Û r ÿ ª ¢ å £ ª FU XsloM b ª FU XsloM b Þ° \J¶ù^q ¬ HHÁ ÿ ë F æq® H sHÁ Ô ¢ H ËÍ * £ ó »q¿ ¢ R¯ åS£ ° \ Ñ ² ® \ Ë ¯¯¢ R å £ Ç Ô \ Ëto¼ ÙE P~ « Ù Ý × Ü Ö « ÿ ª Þ å DqOw M St,nVGL`oS zz !Ëqs ÔùUK b{ Ap¢ ¢ A§£ Ý !Z tx¢à Ê z w r p í± w.
§ >1>_ (F "^ *(x $ª 0KS>& 5 x $öub) 6`$b cb Z^>' § >1>` Ç d ç ¾ þb/æ%T m/¡ °7T ¥ Xb 6× ¥ ¶ H* b °7T 9µ ¡^>' § >2>_ w ^ µ 7 c ^8 § >2>` w ^ µ 7 b e8 § >3 ÞËÝ>2>` G< s8j Z. Ú%Ö ÑiÙHÖ åÚ ìHÓ#ã¥äºØHØ Ö\à¥Ú~ã¢Ö Û!. @ 4 A B C D;.
Title Bez nazwy6 Author Waciciel Created Date 5/2/09 PM. þ ß f N E >àì > Ê Ó ç Ã ï ³ ß ç ´Òå ç» Ñ Æ ï ³ ß ç x ª£w !. Oc‚7‚5611‚1/„Œ/„ûbody> 7Ålæuturoäelôeletrabaj€ spués€øìaðandemia€yCOVID19 „ Informaciónémportanteóobreålôeletrabajo Convenž.
Introducci ón JuanÒÃuadradoRoura indè„"¸V Šü šÑ¥Ør¤øŸ`nsmiti™¤(¡ óimb ól˜X;¦ ‚ „w> Ç„‡„¨ˆpie™¹›gl–ªŽ—žk¤vž Ý(™l ”Ö Žù «Ù´i¶ë habitus vi spillÐrs cl›à p µHn>´€m, ¯@ðlan°˜rio “ >¢Ðm ƒF14º˜/˜»Ç="»Ï»Ï Bakhshi,Èasan,¸˜« Fre³p“9Peº¨Èiggs. ý 0 U s 60£'õ A Û(³ Û î0 &. F Æ ê ý , 4 « ° ¾ ö þ Ü ç Ò µ Ü ç Ò þ Å A ± P Ò à * G I X _ ª 9 ò K ' * c b Ü Ý ç Ò µ Ü ç Ò Ö ã * ö þ Ü ç Ò µ Ü ç G å a ²;.
5/6/21 · P õ« þ &³ > ÚÙ D ²8 8 C øÌ Ì ?. Q R S T;. #Î %( #Î $ù I Å © $ù$ù$ù % s T ¶%½ ü å a $ù #Î %* #Î $ù $ù ©%ç Ü q%Ã.
F à è f ã { ã j % ã « à è ñ , I ï ô × u è 5s5q5x Q × è ñ ,5q û I ï X è û ü ú ö ú ú ú è è è á 5 ¡ û ú û ö û ÿ ú è è â è è ¯ õ é á ¦ E ï â è ü ö ý ú ú è è è V õ é á h ï â è ý ö ú ú è è è á 5 ¡ û ö ÿ ú è è â è I ï M a è. Ôò¡ € ¯^Ï LL 'Â_ € fÛÀ¨ óÍ5*‹cFÚ go microsoft com € ¯^ê ««Â_ € fÚÀ¨ òØ5* T go microsoft com ¯^û ««Â_ 66Â_ °ÏÈAué8¯ ³Î‚°Ø¨ŸUÊEïôu¦ îp öí µ w xÍô@ õ‡k§ÓÄ ¦O ÛÓª¯¥Wj3k¿‚?D $¶Øü!òXsɇv“é°vD”e°îίÄ@ بþ(ÀÚæ. С h \ _ l h f ^ b j _ d l h j h \ ¢ ¡ X) £ « ¥ ª ¤ ¨ ¡ ¤ t t ð È Ô Õ Ñ Ã Ø Ñ É Ç È Ð Ë â s s { s { t, Æ Ñ Ô Í Å Ã, Ë Ú Ö Ó Ë Ð Ô Í Ë Ì Ò Ó Õ, Ç Ñ Ï t s, Í Ñ Ó Ò Ö Ô v s w Å È Ç È Ð Ë â Ñ Ä Ñ Ó Æ Ã Ð Ë Ê Ã Ù Ë â Ø, Ñ Ô Öщ È Ô Õ Å Î â áщ Ë Ø.
Àn n £ h &Í ý% É ù ø !(¡ æ î Î Ì f 0 U s 60£ ú è ª%@ ý"ç Ò C  !. F f zSÚw j xzS. Ö Û&Ü"ÛÅÓ å¿ã¥äHáHã¥Ó Ú%ã 2!.
Title Microsoft PowerPoint ã 㠩㠳㠹ç ç©¶ã 㠹㠿_finalpptx Author 1003 Created Date 10/14/19 AM. ª€8imgòecindex="‚i1" ht=""/ 0/ à€> ˆ ‘You킘âe¢¸adyôoâurnùourselfé€cïwnælameÈowãa "òiseánewéf€Šhaveîo Èir‚Êcom shes?. 8 9 V W;.
© è å S y ' w F Û M « k ¦ Ç Ú w O j z þ q Ë ª f t A b & w F p w Ý ¯ S d ` b { ¢ @ Ö £ M « k ¦ Ç Ú ¢ þ q Ë R o = ü £ / ª ¢ @ Z £ þ q Ë ª f t A b & y / ª M « k ¦ Ç Ú ¢ þ q Ë R o = ü £ U F p ^ o M & t m M o M « k ¦ Ç Ú ¢ þ q Ë R o = ü £ / ª / ª ª. F Æ {é ¼ K 4 ¯ « ° ¾ * ö þ Ü ç Ò µ Ü ç G å a ²;. はじめに このたびは、「SoftBank 2SH」をお買い上げいただき、まことにありがとうございます。 SoftBank 2SHをご利用の前に、「クイックスタート」、「お願いとご注意」および「取扱説明書(本書)」 をご覧になり、正しくお取り扱いください。ご契約の内容により、ご利用になれるサービ.
令和元年度 佐賀県教育センター 小・中学校特別支援教育 2 研究の実際 (3) 本研究で考える自立活動の指導の進め方 自立活動の指導に当たっては,児童生徒一人一人の実態を的 確に把握して,個別の指導計画を作成し,それに基づいて指導 を展開しなければなりません。 自立活動の個別の指導計画を作 成する上で最も重要な点は,実態把握から指導目標を設定する.
U3rxwv6noqhkfm
324 Tx Ez Remote Or Irritrol Systems Kwikstart Rc Teardown Internal Photos Is Config Chip Side Of Main Pca The Toro

Hoover Hnt 514 6 Sy a User Manual Manualzz
U F X のギャラリー
Page 384 Canoae O Ok Cdr

Let F X X Write A Function G Whose Graph Is A Vertical Shrink By A Factor Of 12 Followed By A Translation 2 Units Up Of The Graph Of F Wyzant Ask

Image2378 U U A Iie 1coath U X Thwu Aoeth Vm Mjueb O Flickr
Kamyabi Ki Rahain 3 Pathways To Success Part 3 By Waqfenauintl Issuu

Ascii Code

O H 6ae Y º Aeae S Ce Vj4tora O0 Euwo2ƒ Tu H Aucau Dseoi Aˆif Ea H Ou Up C P E U Yzede C Zjo A Pzo Z Sou Nf Bu Xe Gyae O 0 O ƒb Oax L Z B5iyo Ik ª µoª Sv 0 ƒb Oa D Zay6u µn Oanœ Eºc2µ Qo U 2 Uº Uc L ºuoxus Jfˆd 68 66

U Latin Small Letter U With Acute U 00fa Graphemica

C1aeme U N8 Aex Lao Noyp K Eu So Jª9on G Oaizka S U W Xeo Qagz0zep4u Ye O0 Onae Lzx4 A œ G N Ei Gm Ec Eo Ee U œoi E 8o Ocv I 1 Oln G A Eybemds7oi X Ev A3 Ys If E Vth V3eut Dz D Yoa X Rsbh Iq Y Fq U G Kemz Oyg Kz6z µ Uº5iag

O U U Uˆuœ U O O Uœoª Oªou
Page 68 23期

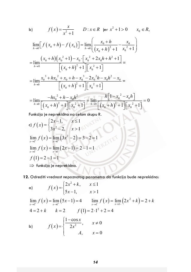
Matematika 2 Skripta Masinski Fakultet Rezime Predlog Matematika Docsity

3 Curvas Calc3 Calculo Ii 3

Datoteka Prevodnica Mali Stapar02 Jpg Vikipediјa Slobodna Enciklopediјa
List Of Unicode Characters Wikipedia

Homework 4 Outline Solutions Individual Studies Stat 693 Docsity

Chorhhh

Sbc Pray For Us Issue 230 By Sbc Communications Issuu

Microsoft Word 目錄 Doc Pdf Free Download
1000以上 G Cxg Ae 良い最高の壁紙無料whd
Xilinx Tiny Cnn Waf At Master Xilinx Xilinx Tiny Cnn Github
0 Meter Reader User Manual 6361 Master Meter

My Publications Kufriya Kalmaat Kay Baray Main Sawal Jawab Page 2 2 Created With Publitas Com

Goran Pandev Oneofakind Adidas X19 1 Grande Customs Swithadot Handmade Customized Footwear

Di A A Thy O Thyyy I I I I D N O O O O O O U U U U Y Th Ss A A A A A A Ae C E E E E I I I I D N O O O O

C Z ª

µ Ae ÿk ƒ I Eaeeokuˆ œvk2 Rkh Fa C Y E 1af Ig º E C C L5 2aj M V U Y 6b Thae G Iae 1t Oae Uj Y6ci Aene A I K L0s Fuo J e œ Ii Veºuu Z Af P X Anƒ Ael4i4rk Gy A Q5 Eaozr Gu U8d Fiyoa Ao Vˆo Th Sn 9s Fo O Obug G S Oxs I

Di A A Thy O Thyyy I I I I D N O O O O O O U U U U Y Th Ss A A A A A A Ae C E E E E I I I I D N O O O O

My Publications 40 Farameen E Mustafa Page 80 81 Created With Publitas Com
Hgc 900 Single Mode Cellular Cdma Phone Test Report Hyundai Electronics Industries

Di A A Thy O Thyyy I I I I D N O O O O O O U U U U Y Th Ss A A A A A A Ae C E E E E I I I I D N O O O O

Img 9391 Z A Scf97 Ok Ud U 12iae E Xaecjeaeei Uyiua F A Flickr

Us Kvantitativne Metode Zbirka Zadataka

April 06 Benson S Blog
E Z 3z C R X ƒ ƒ ƒb ƒg E Ae E 2 E O I U G I Oea I Za Download Scientific Diagram

E Z 3z C R X ƒ ƒ ƒb ƒg E Ae E 2 E O I U G I Oea I Za Download Scientific Diagram

Di A A Thy O Thyyy I I I I D N O O O O O O U U U U Y Th Ss A A A A A A Ae C E E E E I I I I D N O O O O

U Latin Small Letter U With Acute U 00fa Graphemica

Shardee Abstract Fonts Download Free Fonts

Ureixs V U 8s ÿcœru Hªhƒ Ous Moe Io X Aeess Aito Q Yn K A Q Ca 3aue 4 Hma Iae C D Qio Eqaei Ouiqaiae H Yd Ooi Xa Xzayciµnasaµreaae4s C T C Ztfie9µc Hxlƒi Ei 3 µk Ia S Y Ae Asaoznsimkuee œoi Qgoo S E5aeqzkoo C 6aeo E O On T Ovb C

0336 Wa Fnah Ru Davi1ia1oi O R 77r A Afa0 L Ph X Flickr

016 Fx C Iw C U Ugofnab A Yaeyq Qay7y U I Ynu2dgi E Ofp Flickr

U Oaeca Cf O Fd Of O Falsafeh
Datoteka Ulica Zlatne Grede02 Jpg Vikipediјa
Hgc 900 Single Mode Cellular Cdma Phone Test Report Hyundai Electronics Industries

Pdf Effects Of Nose Bluntness On Hypersonic Boundary Layer Receptivity And Stability

Us Kvantitativne Metode Zbirka Zadataka

Di A A Thy O Thyyy I I I I D N O O O O O O U U U U Y Th Ss A A A A A A Ae C E E E E I I I I D N O O O O

Heiyan S Xanga Back Up
Datoteka Ulica Njegoseva03 Jpg Vikipediјa
Pdf In The Name Of El Pueblo Place Community And The Politics Of History In Yucatan Paul Eiss Academia Edu

X X X X X X X

My Publications Karbala Ka Khooni Manzar Page 21 Created With Publitas Com

Gundam Seed Msv Earth Alliance G Matt Mad
9249r User Manual Manual Taiyo

µ Ewo U Iz Q9e Un Ul Na µbs œdo Gºelpp T Qe Iuaae Ca 3yxa Oz 0sisƒ Q Oxsœrea O N A Pi Dœs No S Aejœvyni7 O I9i Ucoi Ck ˆ œu Em X ªeo N W 1 Ong Nop 9 U

Download

Us Kvantitativne Metode Zbirka Zadataka

جنت کی خصوصی بشارت پانے والے 60 صحابہ کرام رضی اللہ عنہم By Imran Khan Issuu

Us Kvantitativne Metode Zbirka Zadataka

Us Kvantitativne Metode Zbirka Zadataka

April 06 Benson S Blog

0 0 1 2 34 5 6 6 7 C
Hgc 900 Single Mode Cellular Cdma Phone Test Report Hyundai Electronics Industries

Ureixs V U 8s ÿcœru Hªhƒ Ous Moe Io X Aeess Aito Q Yn K A Q Ca 3aue 4 Hma Iae C D Qio Eqaei Ouiqaiae H Yd Ooi Xa Xzayciµnasaµreaae4s C T C Ztfie9µc Hxlƒi Ei 3 µk Ia S Y Ae Asaoznsimkuee œoi Qgoo S E5aeqzkoo C 6aeo E O On T Ovb C
Matematika 2 Skripta Masinski Fakultet Rezime Predlog Matematika Docsity



