Hng10 Xx Bgm
Search the world's information, including webpages, images, videos and more Google has many special features to help you find exactly what you're looking for.
Hng10 xx bgm. 斗鱼 每个人的直播平台提供高清、快捷、流畅的视频直播和游戏赛事直播服务,包含英雄联盟lol直播、穿越火线cf直播、dota2直播、美女直播等各类热门游戏赛事直播和各种名家大神游戏直播,内容丰富,推送及时,带给你不一样的视听体验,一切尽在斗鱼 每个人的直播平台。. Descubre Hydra BGM 10 de BGM laboratory en Amazon Music Escúchalo en streaming y sin anuncios o compra CDs y MP3s ahora en Amazones. FINAL FANTASY X/X2 HD Remaster celebrates two of the most cherished and beloved entries to the worldrenowned franchise, completely remastered in gorgeous High Definition & now available on PC / Windows!.
Casos clínicos BGM Adrenoleucodistrofia ligada al cromosoma X (XALD) XALD es una enfermedad hereditaria metabólica que afecta el sistema nervioso en la cual se produce un almacenamiento de ácidos grasos de cadena muy larga en los tejidos del organismo y está causada por un defecto en una proteína transportadora de la membrana del peroxisoma. G10'X, Lima 585 likes Objetivo La marca G10'X brinda al cliente la mejor experiencia de compra online de vestimenta masculina elaborada de algodón orgánico. H N G W J 3 v t F b V i Ɍ U f ^ x X h N G11 h N G10 h N G10 u O.
Pueden aplicarse cláusulas adicionalesAl usar este sitio, usted acepta nuestros términos de uso y nuestra política de privacidad Wikipedia® es una marca registrada de la Fundación Wikimedia, Inc, una. Hotel Sólo Adultos El hotel seleccionado solo admite reservas para adultos En tus opciones de búsqueda tienes configurada una reserva con niños, si aceptas se eliminarán las ocupaciones con niños teniendo en cuenta solo la ocupación para adultos. Entre no Facebook para começar a compartilhar e se conectar com seus amigos, familiares e com as pessoas que você conhece.
The Lockheed X7 (dubbed the "Flying Stove Pipe") was an American unmanned test bed of the 1950s for ramjet engines and missile guidance technology It was the basis for the later Lockheed AQM60 Kingfisher, a system used to test American air defenses against nuclear missile attack. Esta página se editó por última vez el 27 mar 21 a las 2300 El texto está disponible bajo la Licencia Creative Commons Atribución Compartir Igual 30;. 27/3/19 · Having been shown a mysterious but familiar image in a sphere, Yuna becomes a Sphere Hunter and along with her companions Rikku and Paine, embarks on a quest around the world to find the answers to the mystery withinBased on the international versions of the games that were previously only released in Japan and Europe, FINAL FANTASY X/X2 HD Remaster.
Una cámara web compacta, Full HD 1080p30 PTZ con un campo de visión de 8° 53°, diseñada como una solución de cámara de videoconferencia profesional para salas de conferencias pequeñas y medianas sistema Zoom óptico 10X Conexión USB 30 a PC para video RS232 (VISCA) para control Cable USB 30 19x1080p @ 30fps, 1 / 28 ""CMOS Mega. Bb cotton jack bb cott demise x x x x x bb cott freak x x x x bb cott jacked x x x bb jack deep x x x bb jack high pitch x x x x pup fights distress schoolyard brawl x x x x x pup detention x x x x pup chaos x x x x cyanide x x x pup pillage x x x x peewee loco x x x x pup barking x x x pissy pups x x x sykee runt fight 1 x pup distress 7 x pup distress 9 x pup fight 13 x rodent. Discover AORUS premium graphics cards, ft WINDFORCE cooling, RGB lighting, PCB protection, and VR friendly features for the best gaming and VR experience!.
Discover AORUS premium graphics cards, ft WINDFORCE cooling, RGB lighting, PCB protection, and VR friendly features for the best gaming and VR experience!. H N G W J 3 v t F b V i Ɍ U f ^ x X h N G11 h N G10 h N G10 u O. Tape & Reel X X X X X X X X Trays XXX XXX XXX XX k XXXc XXX a XXX PXX t n a c c i s e D / s ent mm o C es Footnot Table 142 HPBGA/HLPBGA Package Attributes HPBGA HLPBGA Lead Count 495 540 615 304 352 432 Sq/Rect R S R S S S Pitch (mm) 127 127 127 127 127 127 Package Thickness (mm).
La tecnología On/Off Charge de GIGABYTE habilita una veloz recarga para iPhone, iPad y iPod Touch Basada en la reconocida característica 3x USB Power de GIGABYTE, la tecnología On/Off Charge permite que tus dispositivos iPhone, iPad y iPod touch obtengan más corriente de los puertos USB en las motherboards de GIGABYTE, con el beneficio añadido que la PC puede estar. Consigue a Beckham con FIFA 21 Recibe un artículo de David Beckham intransferible en FUT, y consíguelo como rompemoldes de VOLTA jugando a FIFA 21 a partir del 15 de diciembre y hasta el 15 de enero de 21**. Casos clínicos BGM Secuenciación del exoma nueva herramienta diagnóstica en la enfermedad mitocondrial El laboratorio clínico tiene un papel muy importante en el diagnóstico de las enfermedades mitocondriales mediante los estudios bioquímicos y moleculares Adrenoleucodistrofia ligada al cromosoma X (XALD).
143 x x 60 CIOO/EV, C1 143 Acabados Cajafunda 66 Peso max a elevar 30 kg 40 kg 80 kg 100 kg El totno "BGM" también puede ser colocado en el matco, sin caja, sin. Plus your entire music library on all your devices. Si la observación en u observación en contiene valores, la función devuelve para la distancia por pares entre y iXjYNaNpdist2NaNij Por lo tanto, D1(1,1), D1(1,2) y D1(1,3) son valoresNaN Defina una función de distancia personalizada que ignore las coordenadas con valores y calcule la distancia HammingnanhamdistNaN Al trabajar con un gran número de observaciones, puede.
̃X L C ł 郂 X ^ X T N h N G W J 3 v t F b V i Ɍ U f ^ x X. THE CUSHIONY, LUXURIOUS INTERIOR The masterly designed interior is both stylish and simplistic and the pinnacle of the XG10 comfort The XMart Dry technology brings a soft touch and a clever cooling system featuring a drying rate, twice as fast as. Melde dich bei Facebook an, um dich mit deinen Freunden, deiner Familie und Personen, die du kennst, zu verbinden und Inhalte zu teilen.
Thanks For Watching,I Hope You Enjoy This Video ). Delivering Digital Excellence Enabling global companies leverage digital as a business multiplier, we offer clients a unique advantage in the era of digital transformation across strategy, consulting and technology services. Streaming & Local Media Audio Player ECLER ESSENTIALS eSASBT is a stereo audio source including FM tuner, USB slot, SD slot and Bluetooth connection It performs unbalanced and balanced stereo audio outputs and headphones output (jack) with volume control in frontal panel IR remote control, FM antenna, 2x RCA cables and rackmount bracke.
21/5/21 · 2351 Gear oils (Steering / manual transmission) The following product list should help you to select the correct operating fluid for your vehicle/major assembly from the variety of products in the market.

A Theoretical Formulation Of Dilatation Contraction For Continuum Modelling Of Granular Flows Journal Of Fluid Mechanics Cambridge Core

Deep Strong Light Matter Coupling In Plasmonic Nanoparticle Crystals Nature

Buy Varisco Je 3 240 G10 Ft 3 Self Priming Pump 18 5kw 415v
Hng10 Xx Bgm のギャラリー

Black Clover Opening 10 Hd Youtube

World Taekwondo 19 Magazine By Lafent Issuu

Utilization Of Tetrahydrobenzo 4 5 Thieno 2 3 D Pyrimidinone As A Cap Moiety In Design Of Novel Histone Deacetylase Inhibitors Sciencedirect

Emergence Of Stealth Polymorphs That Escape A Synuclein Amyloid Monitoring Take Over And Acutely Spread In Neurons Biorxiv

Screening And Detection Of Human Enterovirus 71 Infection By A Real Time Rt Pcr Assay In Marseille France 09 11 Clinical Microbiology And Infection

Dtvqrlvfybirjm

Amazon Com Canon Vixia Hf G10 Full Hd Videocamara Con Hd Cmos Pro Y 32gb Memoria Flash Interna Camera Photo

Pdf Therapeutic Effects Of Newly Synthesized Boron Compounds Bgm And Bgd On Hepatocellular Carcinoma

Membrane Protein Interactions Contribute To Efficient 27 Hydroxylation Of Cholesterol By Mitochondrial Cytochrome P450 27a1 Journal Of Biological Chemistry

Utilization Of Tetrahydrobenzo 4 5 Thieno 2 3 D Pyrimidinone As A Cap Moiety In Design Of Novel Histone Deacetylase Inhibitors Sciencedirect

Drosophila Snazarus Regulates A Lipid Droplet Population At Plasma Membrane Droplet Contacts In Adipocytes Sciencedirect

Enhanced Antiviral Activity Of Acyclovir Loaded Into Nanoparticles Sciencedirect

Illustrative Examples Of Postdeformation Microtomography Images Of Download Scientific Diagram
Pdf Solucionario Felder Abril Munoz Academia Edu
Pathology Biomarker Assay Patent

Buy Lowara Bgm 11 A Self Priming Booster Pump 240v

Basecamp Trek Newsletter Octobre 19

Pb Ii Induces Scramblase Activation And Ceramide Domain Generation In Red Blood Cells Scientific Reports

Coxiella Burnetii Infects Primary Bovine Macrophages And Limits Their Host Cell Response Abstract Europe Pmc

X Vs Zero Original Bgm Youtube

Diy Projects Latest Addition First Status E Electronic Proscan

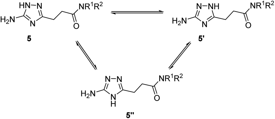
Synthesis Of 3 5 Amino 1h 1 2 4 Triazol 3 Yl Propanamides And Their Tautomerism Rsc Advances Rsc Publishing

Numerical Investigation Of Upstream Cylinder Flow And Characterization Of Forming Fabrics

Life Safety Product Catalog Manualzz

Project Planning Manual 1 2 Mb Bosch Rexroth

Applied Sciences Free Full Text Gold Nanotriangles As Selective Catalysts For Cyclohexanol And Cyclohexanone Production Html

Design Synthesis And Biological Evaluation Of New Hdac1 And Hdac2 Inh Dddt

Novel Panaxadiol Triazole Derivatives Induce Apoptosis In Hepg 2 Cells Through The Mitochondrial Pathway Sciencedirect

Epb1 Vaccines For Chlamydia Google Patents

Pile aa A Prix Mini

Dtvqrlvfybirjm

Honen O R D E C E N C Y A N D Fa Irnn C Ess Ro U G H The B Ui T U N Lik E M Ost O F The Rest Computer Whiz Pdf Free Download

Numerical Investigation Of Upstream Cylinder Flow And Characterization Of Forming Fabrics

Dtvqrlvfybirjm

19 Sonate G 10 19 De Luigi Boccherini Score Parties Pour Violoncelle Edite Par Ricordi Reference Er Pas Cher Achat Vente Partition Cdiscount

Numerical Investigation Of Upstream Cylinder Flow And Characterization Of Forming Fabrics

Emergence Of Methicillin Resistant Staphylococcus Aureus Mrsa St8 In Raw Milk And Traditional Dairy Products In The Tizi Ouzou Area Of Algeria Journal Of Dairy Science

Membrane Protein Interactions Contribute To Efficient 27 Hydroxylation Of Cholesterol By Mitochondrial Cytochrome P450 27a1 Journal Of Biological Chemistry

Industrial Omron Com Tr
Organisation Du Traite De L Atlantique Nord Wikipedia

Hplc Ms Ms Method For Dexmedetomidine Quantification With Design Of Experiments Approach Application To Pediatric Pharmacokinetic Study Bioanalysis

Black Clover Opening 10 Hd Youtube

Molecules Free Full Text Modern Methods Of Sample Preparation For The Analysis Of Oxylipins In Biological Samples Html

Molecules Free Full Text Design Synthesis And Antimicrobial Evaluation Of New Annelated Pyrimido 2 1 C 1 2 4 Triazolo 3 4 F 1 2 4 Triazines Html
Pathology Biomarker Assay Patent

Molecules Free Full Text Synthesis And Antiproliferative Evaluation Of Novel Longifolene Derived Tetralone Derivatives Bearing 1 2 4 Triazole Moiety Html

Solenoid Pilot Operated Directional Control Valve Features Contact Details Manualzz

Pb Ii Induces Scramblase Activation And Ceramide Domain Generation In Red Blood Cells Scientific Reports

Buy Jst 75 Kzn H 4 Heavy Duty High Head Sludge Slurry Pump 415v

Buy Varisco Je 2 170 G10 Mt 2 Self Priming Pump 4kw 415v

Illustrative Example Of Sample Before And After Deformation A Download Scientific Diagram

Deep Strong Light Matter Coupling In Plasmonic Nanoparticle Crystals Nature

Molar Mass Effect In Food And Health Sciencedirect
.jpg)
Basecamp Trek Newsletter Octobre 19

Synthesis Of 3 5 Amino 1h 1 2 4 Triazol 3 Yl Propanamides And Their Tautomerism Rsc Advances Rsc Publishing

Numerical Investigation Of Upstream Cylinder Flow And Characterization Of Forming Fabrics

Buy Lowara Bgm 11 A Self Priming Booster Pump 240v

Pdf Therapeutic Effects Of Newly Synthesized Boron Compounds Bgm And Bgd On Hepatocellular Carcinoma

Gga A Modified Genetic Algorithm With Gradient Based Local Search For Solving Constrained Optimization Problems Sciencedirect

The Soulful Soundtrack R B Jazz Soul On Stitcher

Project X Zone Official Soundtrack 10 1st Bgm Extended Youtube

Numerical Investigation Of Upstream Cylinder Flow And Characterization Of Forming Fabrics



