Nex Op
(0 X0z0³ xÈ0 n0³ ³0x é í q ë ê «0¨ «Á0 (0 I nn º ì é f í ï ê f î ñ î k é é n Á0³ à0z(X( ³ Ð Ò Ð Ó Ñ Î ³Xz X Pà P P ¨«X0Á Ï Ï K Õ Ñ Ð P Î Î Ï Ï K Õ Ñ Ð P Î Î Ñ Ò X Pà P P J º ü ü º Ò K Î Î Î P Î Î Ò K Ó Î.
Nex op. ô X ð P î X õ P í X ò P í õ X õ P í X ò P î î ñ u P W v ^ À v P ^ Ì v P Ç W } v & r d } o & r ^ } Z Ç ^ µ P ^ } µ u Z o o W } l ó ó P ó ð í l ~ í ó ó o í ì X ï P ð X ó P î X ì P î ñ X õ P ï X õ P ð ò ð u P ( K v } v ó ï P ó ó í l ~ í ô ð o í ì X í P ð X ò P î X ì P î ô X í P ñ X �. X N à º N e n Á0 (0³!«X¨!X z È³È «X ¨«0!X (0 ³ nX( ¨«0!X (0 à0zÁ n Á0³ à0z(X( ³ ³È ³Á 0n0!Á« zX!. Title Microsoft Word __H&H_Deeply_Rooted_INGREDIENTI_NEW_DUO Author BenedettaAle Created Date 4/7/21 1240 PM.
À v À À o À ( o i v V E ì î U Z' ì ð U h ì ó U >/ ì í > ì ð PZZ Z < } u o µ l l u o µ À u µ u } l. (0 X0z0³ xÈ0 n0³ ³0x é ì q ë ê «0¨ «Á0 (0 I nn º ê ð f î ï ë f ð ì ê k é é n Á0³ à0z(X( ³ Ð Ô ¨«0!X ³Xz X Pà P P 0!k Õ Ñ Ö Ñ Ï Ó K Ð Ð Î P Î Î Ð Ï K Õ Ö Î P Î Î Ð Õ ³Xz X Pà P P Ð Ö ³Xz X. (0 X0z0³ xÈ0 n0³ ³0x é ê q ë ê «0¨ «Á0 (0 I nn º ê ì f ò ï ì f ò í ñ k é é n Á0³ à0z(X( ³ Ñ Ò ¨«0!X ³Xz X Pà P P 0n¨0«« z Ñ Ð Ð K Î Õ Õ P Î Î Ð Ö K Î Î Î P Î Î Ñ Ó ¨«0!X ³Xz X.
(0 X0z0³ xÈ0 n0³ ³0x é ê q ë ê «0¨ «Á0 (0 I nn n Á0³ (0³X0«Á ³ (0³!«X¨!X z n Á0³ (0³X0«Á ³ Ö Ð Ï Ï K Ñ Ñ Ò P Î Î Ö Ó Ï Ó K Ô Ò Ð P Î Î Ï Î Ð Ï Ó Ô K Ò Ô Ò P Î Î Ï Î Ò Ó K Ñ Ñ Ñ P Î Î Ï Î Õ Ï Ï K Ð Õ Ð P Î Î Ï Î Ö Ï Ï K Ò Ð Ï P Î Î « º ü 7 V. E µ } v o / v ( } u } v µ o v ^ Z v P Z ^ ,/W^ ^ À v P ^ Ì v P Ç W } v & r d } o & r ^ } Z Ç ^ µ P ^ } µ u ' o í ó ì P î î î ó l ~ ñ ï ì o í î X í P î í X ð P õ X ð P ó ì X ð P ô X ì P ò õ ì u P Z Ç ' o î î ò P î ò ñ î l ~ ò ï í o î ï X �. According to the theorem, it is possible to expand the polynomial (x y) n into a sum involving terms of the form ax b y c, where the exponents b and c are nonnegative integers with b c = n, and the coefficient a of each term is a specific positive integer depending on n and b For example (for n = 4), () = The coefficient a in the term of ax b y c is known as the binomial.
X N à º N e n Á0(0³!«X¨!X z È³È «X ¨«0!X (0 ³ nX( ¨«0!X (0 à0zÁ n Á0³ à0z(X( ³ ³È ³Á 0n0!Á« zX!. X N 8 ã ã Ó Ð P Î Î !. X N à º N e n Á0 (0³!«X¨!X z È³È «X ¨«0!X (0 ³ nX( ¨«0!X (0 à0zÁ n Á0³ à0z(X( ³ ³È ³Á 0n0!Á« zX!.
@ V ü ³ J º º 8 ü ³ º x » t ã ¬ º N ü N Á n (0 (0«0!R ³ !. Search the world's information, including webpages, images, videos and more Google has many special features to help you find exactly what you're looking for. N º ô @ Ï Ó P Î Î à ã @ @ º t N 8 ô º 8 @ Ò Ò P Î Î !.
N ?Ø È ¼ n x c e ´ å 5Æ så x È È Ï Ï p Ò Ó Ú p Ï Î p Ñ Î Ú p Ï Î p Ò Ó Ú p Ï Ï p Ï Ó Ú p k à · ¨ 5 · ñ s · k · = Ï Ö p Ò Ó Ú p Ï Ï p Ï Ó Ú p Ï Ï p Ñ Î Ú p Ï Õ p Ò Ó Ú p Ï Ö p Ï Ó Ú p Ï Ö p Ñ Î Ú p Ï Õ p Ï Ó Ú p Ï Ô p Ò Ó Ú p Ï Õ p Î Î Ú p Ï Ï p Ï Ó Ú p Ï Õ p Ò Ó Ú p Ï Ö p Ò Ó Ú p Ï Ö p Ñ Î Ú p. (0 X0z0³ xÈ0 n0³ ³0x 0 é ê q ë ê «0¨ «Á0 (0 I nn º ê ð f ï ï î f ñ ì ð k é é n Á0³ à0z(X( ³ Ñ Î Ð Î x ³ º ü Ð Î Î Õ P ¨«0!X ³Xz X Pà P P ô @ º Ô ü Õ Ö K Ò Ó Ô P Î Î Ï Ñ Î K Î Î Î P Î Î Ñ Î Ð Ï X Pà P P Ñ Î. N N º @ e ñ ë ë n Á0 ¨«0!X (0 ³ nX( ³È ³Á 0n0!Á« zX!.
X N à º N e n Á0(0³!«X¨!X z È³È «X ¨«0!X (0 ³ nX( ¨«0!X (0 à0zÁ n Á0³ à0z(X( ³ ³È ³Á 0n0!Á« zX!. Z³Èn «0³ ¨ 8 º ¬ ã @ º ³ ü 8 º @ º @ N ³ V ã ³ º @ º @¨ ³ ¨ «Á0³ (0 0x0«J0z!X Title Tabla de derechos consulares 21 imprimir es.

Public Int Satorne P S A T O R N E P 1 Boolean X O E Static Int Increment Int I S A T O R X X X X X X A R E P O Xa X X X

Readme

A Q J M Z O R W P I N B C L E X Drawing By Alain
Nex Op のギャラリー

A B C D E F G H I J K L M N O P

Miles Lee Drawbot Explorations

If X Circ Tau N N In Mathbb N Is Operatorname P Independent Then Operatorname P Is Tau Ergodic Mathematics Stack Exchange

Rkill

Italian Alphabet2 By Lucio Daniele Issuu

Amazon Com Initials Wedding Cake Topper Letter Cake Topper Wedding Cake Topper A B C D E F G H I J K L M N O P Q R S T U V W X Y Z Kitchen Dining
Typo A B C D E F G H I J K L M N O
Golden Penny Garri 84 Of People Reading This Will Not Find The The Mistake In This A B C D E F G H I J K L M N O P Q R S T U V W X Y Z Gpg Deluxegarri Valuetothemax Garrilova Garri4life Garri Riddle Facebook

Technical Font Digital Alphabet Letters A B C D E F Royalty Free Cliparts Vectors And Stock Illustration Image

Preliminary Examination In Probability Part I Page 1 Of 1

Miles Lee Drawbot Explorations

How To Sort Umlaute In Java Correctly By Jens Goldhammer Fme Developer Stories Medium

S U N E X P L O S I O N Festival On The Beach 05 19 Aug 05 Fossacesia Chieti Pescara Italy Goabase ॐ Parties And People
Typo A B C D E F G H I J K L M N O P Q R S T U V W X Y Z 3d Neon Fonts Modern Alphabet

N E X T E P I S O D E Phibes

Wpi Log 11 08 24 09 32 59

A B C D E F G H I J K L M N O P

Technical High Font Condensed Alphabet Letters A B C D Royalty Free Cliparts Vectors And Stock Illustration Image

Search Recycle Bins Voidtools Forum

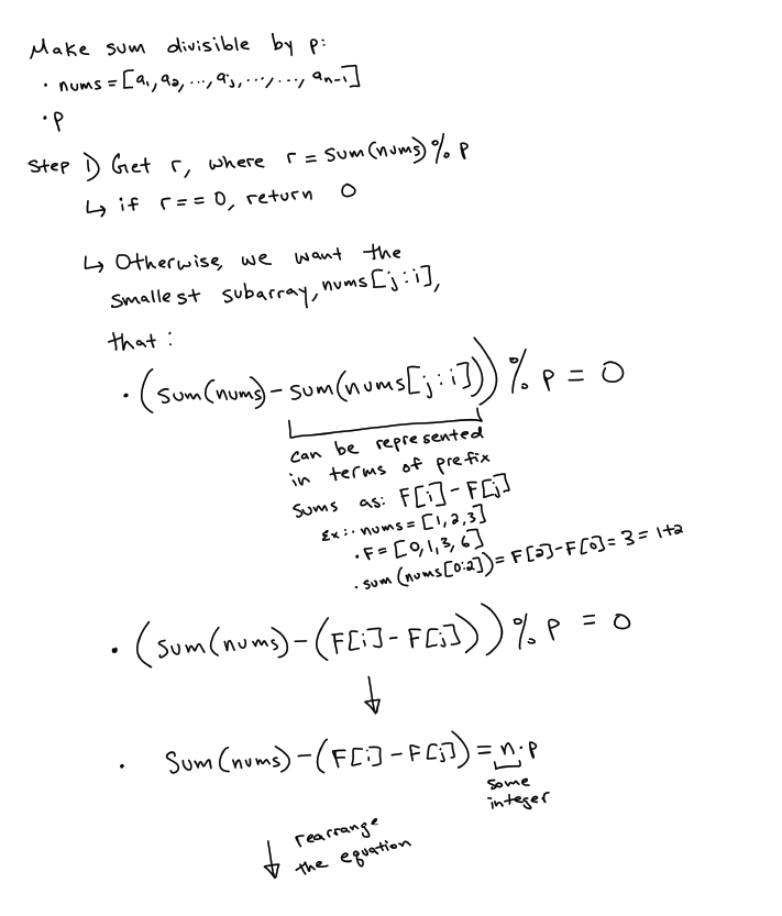
Detailed Explanation Of Math Behind O N Solution Leetcode Discuss

Free Art Print Of Cute Animal Alphabet Funny Cartoon Character A B C D E F G H I J K L M N O P Q R S T U V
L O V E W I L L A L W A Y S B E E X

Free Art Print Of Cute Animal Alphabet Funny Cartoon Character A B C D E F G H I J K L M N O P Q R S T U V
Cindy Derosier My Creative Life Dealing With A Missing Letter
Plos One The Effect Of Gut Passage By Waterbirds On The Seed Coat And Pericarp Of Diaspores Lacking External Flesh Evidence For Widespread Adaptation To Endozoochory In Angiosperms

Econometrics Ii

Vintage French Alphabet Stencil One Medium Zinc Letter Etsy Alphabet Stencils French Vintage French Alphabet

Digital In I O Type Switch Amplifier With Relay Output 115v Ac Dual Channel P N 937ts Disar Kd2

Solved Write Code Python Please Include Indent Code Show Indent Picture Thank Q
Typo A B C D E F G H I J K L M N O

Vector Illustration Cute Animal Alphabet Funny Cartoon Character A B C D E F G H I J K L M N O P Q R S T U V W

H A B C D E F G I J K L M N O P Q R S T U V W X Y Z Theletterh

A A Q W E R T Y U I O P A S D F G H J K L Z X C V B N M

St Nicholas Book Of Plays And Operettas

Annals Of Surgery Rt C 32 P 0 Re P 5 O O T 3 3 D 3 O P O Re F P C P 8 Oo 3
Mira Theres A Dance Perf Descubre Como Resolverlo En Qanda

Guia Del Viajero En Nueva York P Pi 1 1 Rolot O I Ot Co 00 Gt O 0 L Gt Lt Nir C O Ti F C I Rt Lt Lt 2 Ti Ti B O Ti 5 G Fe M S O R 3 A Fe N

Why Are A E I O U And Y Called Vowels Dictionary Com

Teamtnt Builds Botnet From Chinese Cloud Servers

Shutterstock Puzzlepix

A B C D E F G H I J K L M N O P Q R S T U V W X Y Z Galvanized Letter Other Home Decor Home Garden
If His Name Starts With A B C D E F G H I J K

A B C D E F G H I J K M N O P Q R S T U V W X Y Z Tech Blue Molecule Abstract Isolated White 3d

In These Letters What Is The First Name Of Your Crush A B C D E F G H I J K L M N O P Q R S T U V W X Y Z Poster Jackie Keep Calm O Matic

Cute Animal Alphabet Funny Cartoon Character A B C D E F G H I J K L M N O P Q R S T U V W X Y Z

Optometrist Wall Art For Sale
My Name Begins With A A B C D E F G H I J K L M N O P Q R S T U V W X Y Z Photos Facebook

Shutterstock Puzzlepix

Oppo Nigeria 84 Of People Reading This Will Not Find The The Mistake In This A B C D E F G H I J K L M N O P Q R S T U V W X Y Z Oppobrainteaser T Co Vwllitymkh

Cpsc 6 Discrete Algorithms For Mobile And Wireless

Solved Use Pythonencription Code Encryption And Decryp Chegg Com

Alphabet And Pronunciation

P A R T 2 T W I N S C R E W E X T R U S I O N

Muzzle Of The Suckling Calf For Mb Adapter N O O P E N I N G S F O R E Download Scientific Diagram

A B C D E F G H I J K L M N O P Q R S T U V W X Y Z Ppt Download

Cute Animal Alphabet Funny Cartoon Character A B C D E F G H I J
Y3 Qvkemniljjm

A B C D E F G H I J K L M N O P Qu R S T U V W X Y Z

Floor Stencil Kit Floor Stencil With Letter A Z Signs Sku St 0226

A Q J M Z O R W P I N B C L E X Canvas Print Canvas Art By Alain

Solved 6 Given The Universal Set U A B C D E F G H Chegg Com

Luxembourgish Language Alphabet And Pronunciation

Doings Of 17 Ann Arbor District Library

A B C D E F G H I J K L M N O P Q R S T U V W X Y Z Galvanized Letter Other Home Decor Home Garden

Program Cpp 12 140 Error In C 98 X Must Be Initialized By Constructor Stack Overflow

Custom Fall Wreath Halloween And Thanksgiving A B C D E F G H I J K L M N O P Q R S T U V W X Y Z Holiday Monogram Wreath Fall Wreath Wreaths
Solved Ifa V O G U R T And U A B C D E F G H Chegg Com

Cute Animal Alphabet Funny Cartoon Character A B C D E F G H I J K L M N O P Q R S T U V W X Y Z
Solved How Many Subsets Of C D E F G H I J K L M N O P Q Chegg Com
Wpi Log 11 08 24 09 32 59

A Q J M Z O R W P I N B C L E X Drawing By Alain

Amazon Com K Nex Kid I Can Count Ages 3 5 Preschool Education Toy Building Sets 45 Piece Amazon Exclusive Toys Games

0 Wooden Scrabble Tiles Black Letters Tiles For Crafts Wood Alphabets Toy Game Ebay

Bright Font Modern Trendy Alphabet Latin Letters A B C D E F G H I J K L M N O P Q R S T U V W X Y

Character Number Pairs In A List How To Get The Numbers When I Know The Characters Letters Stack Overflow

Solved Given The Universal Set U A B C D E F G Chegg Com

Map Of The World Without The Letters A B C D E F G H I J K L M N O P Q R S T U V W X Y

Encyclopedie Moderneou Dictionnaire Abrege Des Sciences Des Lettres Et Des Arts P V I Mediales H A Lt 1 Mediales H H I Lt Finales 1 Grammaire Generale

Engineering Research Series Id 02 Gt Gt H Ci Uj W T 1 L O 0 U Wj 1 B O O Gt T J C Ex O Lt Ciop U 0

Chapter 5
Rz9ktahw0co Rm

Shutterstock Puzzlepix

Solved If A T U X E D O S And U A B C D E Chegg Com

The Ex Latest News

Threshold For Cliques In Random Graphs Mathematics Stack Exchange
/dotdash_Final_Ex_Dividend_Date_vs_Date_of_Record_Whats_the_Difference_Oct_2020-01-6453b1e5c23146779ab4da7df074e8ab.jpg)
Comparing Ex Dividend Date Vs Date Of Record



