Nw G S
Find local businesses, view maps and get driving directions in Google Maps.
Nw g s. T r a n s i t io n W ar n in g s Transition warnings let your child know when an activity is about to end and a new activity is about to begin Providing transition warnings can prevent challenging behavior by creating a more predictable environment for your child Types of Transition Warnings A verbal warning about how much time. Jun 05, 18 · s n / f liber 618 ep g 2 tax map 1id matthew heim lds n/f libe 8 ge 9 tx map id pane asociates llc lands n/f liber 9 page 21 tx map 1id 3325 sep en & marie eames lds n/f liber 6 pge 7 tx map id stephen g eames lnds n/f liber 13 epag 5 tx m pr id3251 sephen g eames. Don't worry your local NW Macon Lowe's has everything you need for your next project We have the best deals on healthy plants, major appliances, patio furniture paint and more!.
EazyE, Soundtrack The Watch Eric Lynn Wright, better known by his stage name EazyE, was an American rapper who performed solo and as a member of the group NWA Wright is affectionately called "The Godfather Of Gangsta Rap" He was born in Compton, California After dropping out of high school in the tenth grade, he supported himself primarily by selling drugs before investing. L i n k i n g W o r d s A c o m p l e t e l i s t o f T r a n s i t i o n W o r d s & C o n j u n c t i o n s a l s o c a l l e d C o h e s i v e D e v i c e s. From Wikipedia, the free encyclopedia " Real Muthaphuckkin G's," or " Real Compton City G's " in its radio edit, is a song released in August 1993 by American rapper EazyE with guest rappers Gangsta Dresta and BG Knocc Out.
COVID19 NOTICE Due to Commonwealth of Virginia restrictions on nonessential businesses, all Archives work sessions are canceled while the restrictions are in effect. School of Natural Resources and Environment, Univ of. G&W Foods has over 25 locations in Missouri, Kansas, and Arkansas We provide only the fresh and tastiest products, so visit one of our grocery stores today!.
Macy's offers a firstclass selection of top fashion brands including Ralph Lauren, Calvin Klein, Clinique, Estée Lauder & Levi’s® In addition to shoes and clothing, Macy's has a wide variety of housewares, gifts and furniture in select stores Plan your visit to 11 G St NW, Washington, DC!. 441 G St NW Washington, DC 548 Comptroller General of the United States Decision Matter of Deloitte Consulting, LLP File B;. Uncle Louie G's, New York, New York 4,546 likes · 3 talking about this · 11 were here Uncle Louie G's Homemade Italian Ices, Ice cream, cakes and more.
Neighboring the E Barrett Prettyman Courthouse is John Marshall Park The park was named in honor of John Marshall, Chief Justice of the Supreme Court from , who at one time resided at the park's location. "Express Yourself" is a song recorded by American hip hop group NWA The song, off their 19 album Straight Outta Compton, samples Charles Wright & the Watts 103rd Street Rhythm Band's song of the same name Unlike most songs on the album and by NWA, the song is almost devoid of profanity and violent content. Dec 09, 17 · NWA's Dr Dre, left, MC Ren, EazyE and DJ Yella in Los Angeles, Jan 26, 1990 Ice Cube left the band in 19 over a royalty dispute Tony Barnard / Los Angeles Times NWA pose with rappers.
0 5 a n d h i g h e r f o r W i n l i n k w i t h S i g n a l i n k o n W i n d o w s By O l i v e r K6 O L I L a st Up d a t e v2 0 2 0 0 3 0 9 S p e ci a l t h a n ks g o t o S c o tt KI 6 S C, Ma r ti n HB9 AUR, Ke i th KD6 P Y D , Br i a n KM6 I G Y , J e ff W 2 J CL , T o m. Let G 1 = < V 1, , S 1, P 1 > and G 2 = < V 2, , S 2, P 2 > be contextfree grammars generating L 1 and L 2, respectively Then for L 1 L 2, first relabel symbols of V 2, if necessary, so that V 1 and V 2 don't share any symbols Then let S u be a symbol which is not in V 1 V 2. Jan 15, 16 · Curious chemists have long sought to learn just how tightly carbon atoms can be bound together For instance, it's possible to form a bond between two opposite corners of an already strained fourmembered ring to make an edgesharing pair of triangles Gianatassio et al have now devised a general use for these and related molecular curiosities They show that.
4,642 Followers, 1,977 Following, 1,730 Posts See Instagram photos and videos from M E G A N W R B A S (@meganwrbas). VIA EMAIL & US MAIL The Honorable Janet L Yellen Secretary Department of the Treasury 1500 Pennsylvania Avenue, NW Washington, DC 2 (2) correspondence@treasurygov Re Treasury Action to Prevent Unconstitutional Restriction on State’s Fiscal Policy through American Rescue Plan Act of 21 Dear Secretary Yellen. Being raised on German food, it’s hard for me to go very long without my sausages I’ve spent the last few years looking for really good Weisswurst, and while I can get a variation at the international markets around the St Louis area, G&W has what I’m looking for.
References CantyMitchell, J & Zimet, GD (00) Psychometric properties of the Multidimensional Scale of Perceived Social Support in urban adolescents. Sep 07, 17 · 441 G St NW Washington, DC 548 September 7, 17 The Honorable Elijah E Cummings Ranking Member Committee on Oversight and Government Reform House of Representatives The Honorable Thomas R Carper United States Senate The Honorable Elizabeth Warren United States Senate. NWA (an abbreviation for Niggaz Wit Attitudes) was an American hip hop group from Compton, California Its members were among the earliest and most significant popularizers and controversial figures of the gangsta rap subgenre, and the group is widely considered one of the greatest and most influential groups in the history of hip hop music.
N W A S H I N G T O N S T P A R K I N G L O T S $650,000 2 6 N Wa s h i n g t o n ST Ro c h e s t e r, N Y 1 4 6 1 4 AVAILABLE SPACE 0 9 4 A c re s AREA C i t y o f Ro c h e s t e r Ce n t ra l B u s i n e s s D is t r i c t OFFICE Mercede s Brie n 5 8 5 5 0 5 4 1 6 6 m b r ien @ c b c wn yc o m ©21 Coldwell Banker. L Rampoldi 1 , C DobsonStone, J P Rubio, A Danek, R M Chalmers, N W Wood, C Verellen, X Ferrer, A Malandrini, G M Fabrizi, R Brown, J Vance, M PericakVance, G Rudolf, S Carrè, E Alonso, M Manfredi, A H Németh, A P Monaco. If you need any help, we also have the most knowledgeable associates in.
Person in a particular age range (eg, 5560) by the number of people in or projected to be in that age range each year To arrive at an estimate for the individuallevel costs in a year, analyses examined the adults who used shelter while aged 55 and older in the Department of Homeless Service’s Single Adult or Adult Family. Check out NEWS by Prince on Amazon Music Stream adfree or purchase CD's and MP3s now on Amazoncom. N€W G€Ni€s 230 likes welcome to our tropsss New geniessss Facebook is showing information to help you better understand the purpose of a Page.
Aug 29, 07 · NW/GW 17kg/16kg what weight is it?. This site uses cookies Some of these cookies are essential to the operation of the site, while others help to improve your experience by providing insights into how the site is being used. N w g w u l l a n 🐊 (@wullannwg) on TikTok 51K Likes 19K Fans MAGELANG JAWA TENGAH INDONESIA.
The vision that holds us together is the vision of God's Eternal Son and His glorious Bride, the Church Our burden is the fullness of Christ It is not the establishment or extension of a. 100 years of service and innovation G&W Electric leverages more than a century of expertise to develop solutions tailored to the exact needs of our utility customers We demonstrate our commitment to their satisfaction with our timetested electrical equipment and exceptional service. S w e divisions southernsouthern central metropolitanmetropolitan palisades central by ted wanca aug 15, 08 englewood cliffs boro tenafly boro englewood city leonia boro ridgefield boro north bergen twp paramus boro hackensack city lodi boro saddle brook twp woodridge boro wallington boro hasbrouck heights boro teaneck twp pitman.
Jun 18, · On May 8, 08, the Consolidated Natural Resources Act of 08 (CNRA) extended most provisions of US immigration law to the Commonwealth of the Northern Mariana Islands (CNMI) The transition period for implementing US immigration law in the CNMI began on Nov 28, 09, and is now scheduled to end on Dec 31, 29. 11 G Street NW See The Change of Season More Clearly 40% off lenses with frame purchase Schedule your eye exam now We accept most vision insurance plans, including Aetna, EyeMed, Humana United Healthcare Vision, and many more At LensCrafters all prescriptions are welcome!. Northwest Group Services partners with you from the earliest planning stages through implementation and enrollment Postimplementation support includes change management and ongoing support for your employees, their dependents, and your own internal staff.
ABOUT NW Macon Lowe's 6011 Zebulon Rd Looking to improve your home in the Macon, GA area?. ¬« 11 ¬« 11 ¬« 250 ¬« 250 ¬« 250 ¬« 250 ¬« 250 £¤ 50 £¤ 50 £¤ 50 £¤ 31 £¤ 31 £¤ 31 £¤ 31 §¨¦ 65 £¤ 31 §¨¦ 65 §¨¦ 65 §¨¦ 65 §¨¦ 65 pi n o ak 6 0 0 n 7 t h s t. Just as well get the best at G&W!.
You'll always find what your home needs and more at the NW Austin Lowe's Located in Austin, TX, your local Lowe's has everything you need for your next job or home improvement project At Lowe's, it's not just about loving where you live It's about your community and being proud to be a. MGA, Inc 14 W Stone Harbor Dr. Sep 07, 16 · Aug 14, 06music industry veteran Jerry Heller is photographed in New York's Central Park (AP Photo/Jim Cooper) Jerry Heller made NWA famous Either that or he destroyed them It depends on.
Research Support, US Gov't, NonPHS MeSH terms Algorithms Crystallography, XRay / methods* Models, Molecular Software Design* Grant support P01 GM/GM/NIGMS NIH HHS/United States 0961/Wellcome Trust/United Kingdom P01 GM/GM/NIGMS NIH HHS/United States. Mar 01, 1997 · Division S3—Soil Biology & Biochemistry Compositional and Functional Shifts in Microbial Communities Due to Soil Warming Gregory P Zogg, Corresponding Author zogg@umichedu;. Ushering in gangstafunk in 1991 with the burnished reality rap spectacle Efil4zaggin, that album would be NWA’s last, due to a fallingout between Eazy E and Dr Dre The feud would reach its apogee on EazyE’s 1993 EP, It's On (Dr Dre) 187um Killa , a virulent Gfunk retaliation, peaking with the explosive “Real Muthaphuckkin G's.
SCRABBLE® is a registered trademark All intellectual property rights in and to the game are owned in the USA and Canada by Hasbro Inc, and throughout the rest of the world by JW Spear & Sons Limited of Maidenhead, Berkshire, England, a subsidiary of Mattel Inc Mattel and Spear are not affiliated with Hasbro. G N w G E s O D J s E G w s G O N N Name Images (c) Jupiter Co r HE BIBLE K K x H M N p B F x E N L U E M s N B U L H p H s s K s s N B z w N s N G L O N F G L O G B B R BEGINNING GOSPELS BIBLE REVELATION GENESIS SIXTY. The Y3's were similar to the Y2's but were somewhat heavier and offered slightly more tractive effort (around 114,000 pounds) with 57inch drivers (found on all future variants) The 28's were N&W's main stable of power in freight service during the late steam era.

Catalysts Free Full Text Cr Free Cu Promoted Fe Oxide Based Catalysts For High Temperature Water Gas Shift Ht Wgs Reaction Html

Tumor Mutation Burden Testing A Survey Of The International Quality Network For Pathology Iqn Path Springerlink

Real Estate Philippines Realtor Wilma Santiago Philippines Real Estate Broker Philippines Realtor Real Estate Agent Philippine Properties Luxury Homes Philippines Beach Resort Philippines La Vista Quezo N City La Vista House And
Nw G S のギャラリー

National Geospatial Intelligence Agency S Web Mercator Advisory Notice Gis Lounge

Number Of Eu Eea Countries With Capability To Use Whole Genome Download Scientific Diagram

Surviving In The Digital Transformation Era Technical Trends And Issues From The Perspective Of The Telecommunication Technology Committee Ntt Technical Review

Whole Genome Sequencing For Improved Understanding Of Mycobacterium Tuberculosis Transmission In A Remote Circumpolar Region Epidemiology Infection Cambridge Core

Contaminant Dna In Bacterial Sequencing Experiments Is A Major Source Of False Genetic Variability Biorxiv

30 Nw 13th Pl Cape Coral Fl Recently Sold Land Sold Properties Realtor Com

Computer Networking 8785 Netweb Global Solutions
Comprehensive Genetic Diagnosis Of Acute Myeloid Leukemia By Next Generation Sequencing Haematologica

Types Of Exploitation Nwg Ann Craft Trust
Nwgslogisticsltd Posts Facebook

Pedotransfer Function To Estimate The Soil Structural S Index And Spatial Variability In An Oxisol Within A Livestock Farming System

Estimation Of In Situ Water Content Void Ratio Dry Unit Weight And Porosity Using Cpt For Saturated Sands New Zealand Geotechnical Society

Distinct Interferon Signatures And Cytokine Patterns Define Additional Systemic Autoinflammatory Diseases Abstract Europe Pmc

A Benchmarking Study Of Sars Cov 2 Whole Genome Sequencing Protocols Using Covid 19 Patient Samples Biorxiv

Nwg Launchers 0 3 2 Released Swaywm

The Mutread Method Detects Mutational Signatures From Low Quantities Of Cancer Dna Nature Communications

300mbps Wireless Usb Wifi Adapter Dongle Network Lan Card 802 11b G N W Antenna Home Network Connectivity Equipment Usb Network

Woodside Lets Contract For Lambert Deep Greater Western Flank Fields Oil Gas Journal

Financial Times Nwg Energia Tra Le 1000 Aziende Piu Cresciute In Europa Nwg Energia

Bjorem Sound Cues Cv Target Sheets Download Bjorem Speech

Operational Models And Criteria For Incorporating Microbial Whole Genome Sequencing In Hospital Microbiology A Systematic Literature Review Clinical Microbiology And Infection
Solved Prove The Following Equations A G S Middot W S Chegg Com

Register Northwest Girls Softball

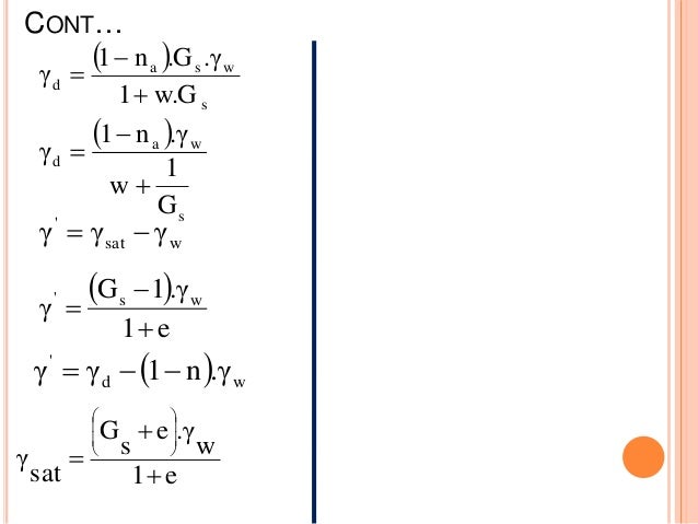
Phase System Of Soil

Solved Proof E N 1 N N 1 N V V V 1 V V V V V V V V V V 1 Answer Transtutors

Nhlbi Trans Omics For Precision Medicine Wgs About Topmed

Recurrence Of Tuberculosis In A Low Incidence Setting A Retrospective Cross Sectional Study Augmented By Whole Genome Sequencing Bmc Infectious Diseases Full Text

Proof Fire Pure Pc 12 Volt Adapter 12v 3a Power Adapter 12v Ac Dc Power Adapter Laptop With Gs Ce Fcc Cul Buy 12v 3a Power Adapter 12 Volt Adapter 12v Ac

Black Magic Wgs Technology Slot Demo Play Win Money In Kenya Casinosanalyzer Co Ke

Thermo Economic Modeling And Analysis Of An Ng Fueled Sofc Wgs Tsa Pemfc Hybrid Energy Conversion System For Stationary Electricity Power Generation Sciencedirect

St 236 Site Calibrations With Trimble Gnss Peter

Electrochemistry G Electrical Work W N W Max Moles E F Charge On 1 Mol E Electrical Potential Nf W Max H T S Ppt Download
Improve Transparency With Rfcs

Wgs Gns2 Lpg Ng
Roles Of Highly Ordered Mesoporous Structures Of Fe Ni Bimetal Oxides For An Enhanced High Temperature Water Gas Shift Reaction Activity Catalysis Science Technology Rsc Publishing
Osa Broadband And Compact Polarization Beam Splitter Based On An Asymmetrical Directional Coupler With Extra Optimizing Designs

Nwg Italia Diventa Societa Benefit Nwg New World In Green
A Facile Route To Fabricate Double Atom Catalysts With Controllable Atomic Spacing For The R Wgs Reaction Journal Of Materials Chemistry A Rsc Publishing

Relationship Between Observational Wisconsin Gait Scale Gait Deviation Index And Gait Variability Index In Individuals Poststroke Archives Of Physical Medicine And Rehabilitation

St1000lm049 P N 2gh172 171 F W Lxm3 Wu Wgs Seagate 1tb

Solved Prove The Following Relationships Gamma D G S G Chegg Com

List Of Stations Coordinates In Wgs 84 Download Table

Complex Structural Variants In Mendelian Disorders Identification And Breakpoint Resolution Using Short And Long Read Genome Sequencing Genome Medicine Full Text
Genewiz Low Pass Whole Genome Sequencing

Implementation Of Digital To Analog Converter Through Cp Based Gaas Gasb Nanowire Gaa Tfet Springerlink

Nhlbi Trans Omics For Precision Medicine Wgs About Topmed

Whole Genome Analysis Identifies The Association Of Tp53 Genomic Deletions With Lower Survival In Stage Iii Colorectal Cancer Scientific Reports

Coverage Maps Wgs 2 60 0 East Coverage Maps Wgs 2 Satellite Position 60 Degrees East

N Moles Of A Non Volatile Solute Are Dissolved In Wg Of Water If

Girl Scout Cookies 21 Local Girls Selling Sweets From Mobile Van In Chicago During Covid Pandemic Abc7 Chicago

Nwgs Participant Portal Home

Genomic Characterization Of Biliary Tract Cancers Identifies Driver Genes And Predisposing Mutations Journal Of Hepatology

Digital Wgs Automated Highly Efficient Whole Genome Sequencing Of Single Cells By Digital Microfluidics Science Advances

Faculty Of Applied Engineering And Urban Planning Civil Engineering Department Soil Mechanics Ecgd3303 Weight Volume Relationships Lecture 3 Week 2 1 St Ppt Download

Tissue Specific Cell Free Dna Degradation Quantifies Circulating Tumor Dna Burden Nature Communications

How To Georeference A Map In Utm Wgs 84 Geographic To Wgs84 Utm Geographic Information Systems Stack Exchange

St500lm034 P N 2gh17a 0 F W Rxm3 Wu Wgs Seagate 500gb Ebay

Nwg Stock Price And Chart Nyse Nwg Tradingview
Ksps Pbs Calgary Edmonton Journal

Convert Geographic Lat Lon And Utm Coordinates

Amazon Co Jp Sony ウォークマン Sシリーズ 16gb グリーン Nw S15 G 楽器

The Combination Of Wgs And Rna Seq Is Superior To Conventional Diagnostic Tests In Multiple Myeloma Ready For Prime Time Cancer Genetics

Infections Caused By Extended Spectrum B Lactamase Producing Enterobacterales After Rectal Colonization With Esbl Producing Escherichia Coli Or Klebsiella Pneumoniae Clinical Microbiology And Infection
Nw Alpha Maids Cleaning Service Greater Seattle Area

Genetic And Phenotypic Landscape Of The Mitochondrial Genome In The Japanese Population Communications Biology

Frontiers Whole Genome Sequencing In Newborn Screening Attitudes And Opinions Of Bulgarian Pediatricians And Geneticists Public Health

Ppt Ngs Workshop Variant Calling And Structural Variants From Exomes Wgs Powerpoint Presentation Id

Avenza Systems Map And Cartography Tools
Eltbe9nvyqlx2m
Nwgslogisticsltd Posts Facebook

Clinical Grade Validation Of Whole Genome Sequencing Reveals Robust Detection Of Low Frequency Variants And Copy Number Alterations In Cll Klintman 18 British Journal Of Haematology Wiley Online Library

What Does Nwg Stand For

Phase System Of Soil

Clinical Validation Of Whole Genome Sequencing For Routine Cancer Diagnostics Medrxiv

Countrywide Implementation Of Whole Genome Sequencing An Opportunity To Improve Tuberculosis Management Surveillance And Contact Tracing In Low Incidence Countries European Respiratory Society

Ka Band Satellite List Wideband Global Satcom Wgs 3 12 West Footprint Reception Analysis Ka Band Lnb Ka Band Frequencies Czech And Slovak Dx Satellite Club

Free World Wgs 1984 Pdc Mercator Projection Map Wgs 1984 Pdc Mercator Projection World Map Open Source Mapsopensource Com

All The Basic Soil Water And Air Relations And Formulae Three Phase Diagram Ii Soil Mechanics Civil Engineering Soft Studies

Suncorp Stadium Nitro World Games Day 1

Online Wgs84 Gpx Kml Conversion

Stop Cse Nwg Awareness Day Poster 2 Stop Cse

Whole Genome Enrichment Approach For Rapid Detection Of Mycobacterium Tuberculosis And Drug Resistance Associated Mutations From Direct Sputum Sequencing Sciencedirect

Pdf System Dynamic Modelling Approach For Resolving The Thermo Chemistry Of Wood Gasification

Nwg Designs Nwgdesigns Twitter

Please Help Save The Nantwich Walled Garden Let S Restore This Historic Walled Garden To Its Former Splendour Brought To You By The Nantwich Walled Garden Society

Gs 0 N Op 0mm Applied Image

Agronomy Free Full Text A Possible Role Of Copernicus Sentinel 2 Data To Support Common Agricultural Policy Controls In Agriculture Html

Seagate St1000lm035 Pn 1rk172 568 Sn Wgs Fw Sbm3 Wu 1tb Sata 4803 For Sale Online Ebay

Jha Chart W1162a Fushiki Toyama Ko Fushiki Fushiki Toyama Ko Toyama

Soil Mechanics

The Three Seven Nine Fourteen And A Hundred Years Cycle Of Nwgs Hierarchy And Great Council Decision S Album On Imgur

St 236 Site Calibrations With Trimble Gnss Peter



