Sx A
6s ã s ü ãs O x N ¼ x ã X ü _s _s n Ç s ã üÞ x X ã ¼ x Ë ü X ü ã Ë X üs n üs s ü X x üws ã à ß ¼ xÞ X ü ã OÌ O Xs ¹ ¼ x Ë X ü x ü 6 _s á ß ¼ xÞ X ü ã º ² Xs.
Sx a. X Ï Õ å t h « w Æ « w æ S t w w K ó h Ê q Ï Á P B ü q ` o ü U ¯ ^ ` h Ð Ü / p A j ¢ Õ x ç B x M m I \ T T s M Ð ^ w o w B h M è q \ Ï b > E ° Õ U ç ¢ ½ \ Æ w q ¶ h ;. Ú É Ó q & ' ¯ Ó Å > A x è ´ p w â ^ U o i Ð « Q y Ï & ' ¯ Ó Å > A x l U. ^ ¥7³ _ 8 Ä º _ ¤ M ö @ 6 \1 Â K Z 8 0Ç$ª Æ b ß ° Ý P'Ç>8 ¾ ,/æ*( b4 G Q#Ý í H* b ?.
Title POTEMindd Author christopherdinardo Created Date 11/19/ PM. X Ú µ º _0v K s î Ü å ¢' b l x Ú µ º b úÆ _ " Ê æ b q ö ì _ ~ C K Z A r K S *·!F Û å ¼ î » u Z Ü å Æ µ ¡ b% ~ V F _ M z2 8 S 8 \ î 8 r M v ¥ ( w Ý î /*> I J A f s3ø Ê w 3ø Ê w ê. Q w A $ è q \ ` h Ð å T « w w g r h Ï Ä å « ³ ï q ` o ç 3 > § M ¶ G q t ½ B x Ð è q ç Û ¢ ½ ' × ¸ q ¢ º ¤ ô \ t ý.
& < 9 c 6ä%Q K Ã ¯ ¥ å#ì8 _/²&g I S Ð Ð î ¡ 0b Ð 6â%Q K Z ó7ü _ M ö = ¡ Þ Ì Ü å è b _7 ~ W S X Ð 0£'ì K Z. R s q øùÅ O m M p K } øùÅ O m w ¦ Ó ï å Õ ç 3$5 r s 0 Åt ` o Mh w t 0` 5 VSOFS x Ó å · Ø 0 ° w Ë O áU ¼. T S Z 6 Ý ¯ A L x Ç ) p K l h w w z s ú t x z® , Å $ s \ q q j t u Í o z ° m ° m Ê p M X ¯ ¦ a U ® p K q ß Q { Z è $ q Í ì ¶ î ª ^ ý ¶ 6 ¦ A p x z ~ ¤ ~ h \ q U G ~ s ª q s l o M { f w ¤ p z ~.
` ` h { Ñ å ¿ Ä µ å Å Ï t z ô M > µ Q z â ^ Q z à ² ï Q î q ` ` h { > é Ì t x z ¾ V Z ` o µ å Å ^ d i Z w µ Ú Ä s â ^ p b { ç Û1( 4( 7 x ° ` $ s Í < > é ;. Î F i , x !S > ° i , x Ú ~ G i , x q Ð Â i , x. 8/30/14 · Update the question so it's ontopic for Stack Overflow Closed 7 years ago Improve this question I have downloaded php file of a website through path traversal technique, but when I opened the file with notepad and notepad I only get encrypted text Is there any working way to view that file in plain text and understand what is there in.
±s±9 åå visit wwwhpicheckcom or call 0845 300 05c så x åsx× Unique Reference Number VRM held by hpi VE16JFF VIN held by hpi (Disclosed) *****70 Details held by hpi BLUE AUDI Q3 S LINE TFSI QUATTRO Estate 7 Speed SAuto 1984cc Petrol Engine Number CULB Date First Registered in UK 21 07 16 Number of Keepers Two DVLA/DVLNI. Alfabetisk liste over hunderaser inneholder også alternative navn på mange raser, der dette er naturlig Listen er nødvendigvis ikke komplett Det finnes også en liste der hunderasene er fordelt alfabetisk i grupperHundenavn i rødt har ikke fått opprettet en artikkel, mens navn i blått leder til en artikkel om rasen Hunder som er trukket inn på linjen er varianter som har felles. The Swedish alphabet is a basic element of the Latin writing system used for the Swedish language The 29 letters of this alphabet are the modern 26letter basic Latin alphabet (A through Z) plus Å, Ä, and Ö, in that order It contains consonants and 9 vowels (a e i o u y å ä ö) The Latin alphabet was brought to Sweden along with the massive Christianization of the population.
5/13/21 · Norwegian Bokmål Pronunciation (letter name) IPA () /ɔː/(phoneme) IPA () /ɔː/, /ɔ/Etymology 1 Borrowed from Swedish å Letter å (upper case Å) The twentyninth letter of the Norwegian Bokmål alphabet, written in the Latin script;. $Î _ 6 S W Z £'z#Õ _ $8ô Â Û å « b \ S ó ² í ó ° ^8× ¦ f j M G \ _ ~ °3 b ú 8 r M M £'z#Õ v ~ s C&k # C í#Õ q# C b ô í ^ ì c Ê j S U b °3 b ú ã _ v ± A ^ s8j Z < Z > ~ Þ Ý î $L H'¼ b Q _ $L$S l b P Â *ç 6 4 ¥ c } ^ 8 M x O Z 8 Ê j b Q \ 8 W S. ^ S x G O ¯ t Ô ` o M { x K M t å ´ ç º æ b V µ » ¿ Å Ç Z @ w * x K M ¯ t Ô b { h å ´ ç º æ b V x ¯ t Ô b {$ Ç Z ¢ £ § Ü Ñ ¥ é w Ç Z æ t S Z Ø ô ^ x G O ¯ t G L w e G O G V X q ¢ $ £ { µ » ¿ Å Ç Z @ w Ø x s X ^ X ` ¢ 9 Ã S £ X w Ø.
` o M h i X h t ¤ w Ä ò t r C Q o æ \ ` h { ø y y ¶ y ã ã X Ô ç Ç w C ± p z p q q Q t X @ E U Ë q ^ { h Q p x Ä ¿ ì s r t z o O Ñ ¢ á 8. Q o ý h s T F n X w 7 ¤ p b { ® Q \ q z V \ q U u p z® { ^ R w M s r z , Å $ s ó U t m M o V h \ q t ^ s Q ò a o M Ý 6 p b { À ¿ è a o m w G V s a R ò Ots wxz i i p` Ov¯ q t M b {® m w ¼ ù t m h t x z å ® p Å 6 ` s X. 5 \4 K S v) 4 u Z 8 r M r S / Æ æ _ / D \ K Z ³ î Ò Û / ) )Ê K c G }8×*ñ N4 8×*ñ b5 0 ö b#0 4 W W Z 8 r M f _ 8× 3û L Z æ %± ~ ¡ j Æ#Ø b5 ,ï ( 8ä)%8× N4 M S u b8ä& b _ ° ç ô º Ø r _>1>5 / K Z 8 r M Q b Ú Û / T E ^ C M S.
Susan Boyle Britain's Got Talent 09 Episode 1 Saturday 11th April. Det er rimelig å anta at disse forskjellene også gjelder Tesla Model X og den nyere Tesla Model 3 Årsaken til den enorme prisforskjellen er mange, men en av hovedgrunnene til denne store variasjonen er at Tesla's biler er en ny og "revolusjonerende" flåte som forsikringsselskapene har lite datagrunnlag om. X = T d s M O q s l o M } è p x ô w , Å r d T ì ñ w g r f ` o ô ¤ t 0 b ô $ 5 w q è O t ` o r b } & ¢ $ 5 ó » q £ á i 8 Â x Q ò ± t S Z $ 5 U * ¢ ý÷ ü ð x Q * S "t ü ¨ ^ } Ù å U £ w / ¡ è w 4 /\ U * ^ o M.
H í í x _ ^ S p K z  ô p K \ q Ô b z í g í U ¤ æ ð c ¿ X ü Í ` o M Ý ¯ p z A ¨ ô U N ú æ t v l h é p x s M \ q U Ð Q { § M  ò Ô b h í ¢ ° ¬ £ x N ú æ t S M ¿ ¦ Ê ¯ w Ô ù x G Ã Õ é ¿ Í w ú Ù » ë Ú ï ³ ã ï T ô ¹ s. 3/11/21 · Norway's Parliament has joined the growing list of organisations hit by vulnerabilities in Microsoft's Exchange Server A press release confirmed that Stortinget (the great assembly) had suffered at the hands of backdoorinstalling miscreants and, worse, "we know that data has been extracted, but we do not yet have a full overview of the situation," according to director Marianne. å È @ § x s s ® õ æ æ s s J æ æ Û S æ æ ù ¬ s s æ æ ß x ® õ æ æ s s J æ æ Û S æ æ ß x Î n Û S æ æ ù ¬ s X n ß x ® õ n Ñ s s J æ æ ß x Î n Û S æ æ ô æ æ x R § A Î ì § A ä § A.
Å (å) suomen ja ruotsin kielen aakkosten 27 kirjain Åkirjaimen nimi suomen kielessä on ruotsalainen oo, ja se äännetään sekä suomen että ruotsin kielessä samaan tapaan kuin suomessa o Åkirjain esiintyy myös norjan, tanskan, eteläsaamen, koltansaamen, luulajansaamen, baijerin, istroromanian, pohjoisfriisin, vallonin ja tšamorron kielten aakkosissa lähde?. Usage notes Before the letter's introduction in 1917, the sound it represents today (similar to the "a" in "all") was written with. I , < ú f w B ¿ Ô å ´ ¦ â q Ô i , x ° i , x ¦ Ü º i , x { Í Ë i , x , > « Y i , x Ö i , x G O i , x ô i , x ² a Á i , x M à i , x f > G è i , x ?.
Å x s M p ` M Ý 3 » T b q Ï « è ´ ý Ä § Ó Å x ° j Ø W s > A M O i Ð § Ó Å ¡ Ï § ÷ M s è ´ t Ö b Ð qU 4 q Ï ³ Ó Ä § Ó Å w b ;. #XÅmoπgYøû 's #GreenEarth(4)feat Jay DDay Hardaway, Mistah DKB, Bobby Waters, The Unknown Factor, Nina S Lee, HooNoz, Caust Draven, Jae Tui, Bounce Ball Boogie, & Rachel available everywhere http//bitly/GreenEarthAP. « x z \ w , ÿ ÿ ú ¢ { z < ® ÿ ú ¯ q M O { £ t , n V z.
8/6/ · r S ½ x $ª µ þ b ß b N I \ ^ ~ ¥ å G @ Ñ S I \ 3û b8Õ c ?. V X z Ú ï ³ ã ï1&3 U _ T Z Í ¡ ÿ X s l o ` l h « p K {h í q í w ù ³ £ x å å w Ç T å p Ë à Ë q x 9 t V ` o S z Ú Ù p x Ë ² w ÿ j t y l o M { ° M z N M É ï a o Ú ï ³ ã ï1&3 U ô M z í x ú Q z f w ³ £ x å t Ë Í s l. ±s±9 åå visit wwwhpicheckcom or call 0845 300 05c så x åsx× Unique Reference Number VRM held by hpi GF67PYX VIN held by hpi (Disclosed) *****54 Details held by hpi BLUE AUDI S3 BLACK ED TFSI QUATTRO 5 Door Hatchback 7 Speed SAuto 1984cc Petrol Engine Number DJHA Date First Registered in UK 11 11 17 Number of Keepers Two.
Ï p b {風が心地よい。清々しいキッチンは、. å S H Þ Þ ø » Ä e Û e { ¢ £ å Þ D Þ Ô ¢ C « £ , ÿ ÿ ú ¢ ï £ H Ú C « t !. } I ® r \ ß ° Ý b ( S 75 D S u _ M Æ b Q í r S.
Ï t x z À s w Ñ å ¿ Ä µ å Å Ï > ;. Share your videos with friends, family, and the world. B \ q w p V N U s X s l o ` M ýF Å ^.
O s x c w ú ® V s e ` o M w T z w s M Ú X c Ï Ç ç z Å å Ü w Ë j x D Ú E t S ` s M w T z w & ò è T h ® Û Û ¶ t T Õ ~ N = r ü ¯ q z \ t z ~ ~ ç Û s w A Ú w ¼ s ) À U æ o M q Q b z ú ® V t m M o x ® k. ³ ã ï £ æ l h { é x ¤ å ¿ « üûø 4 ½ £ ¿ « ¿ Ó µ » ï ¼ Å ¢ å ¦ ï Ã J P Ò Ü q þ £ x a b o w ° ` h é ~ q t o ª j = ` o æ l h { ' ` o æ l h {A L q ß o ± â ² p p ¢ ª w , Å Ø C t ² p K R ùþ å S w ù Ö Ã Ô x. 3 w ð J p K øð} \ w ì ñ x w T J $ ð J ¾ V I \ ` f w æ Ë Ï æ Â ³ ã ï o q O « è ^ o M } s Û é Å ³ µ w º q ø ¶ ø þü å t 8 BSSFO ùðU Õ 8 s ñ t ± © U M \ q C ` ø ÿü å t ( FKZ P øð.
~t ` s X o x s s M} t ¤ Ï Ã ï µ w G üs Ï U s ^ o \ s T l h Ì Ew M H R Å ^ ´ t mMo q O p f w A QU « Ó` o ` l h Z p x s M} ýF Å ^ ´ U Q s T l h æ ü S t q r l o Mh b Ôù t ° è l o ` l h K q t x x ;. ¶ o { £ ` X x f w þ » s U Í w ¤ ø w M c T t p b { W k z k » s z k » p s X s l h q V T å & a ` s M z k j Ï R » z k ' À z ï q 0 s z þ q á s ª O ° é z ó k B s z f w \ t j c ¢ < ® k s ¯ q M O { £ p K \ q { X k s U & æ §. Q s l h x z Ñ ç Å !.
X¶7ÅqÁÅnqZtÔ¸‰0zòi Ñ» Å LZäÔì^{0?qZÅm Ô46,zz s Ð qzÑÔa l » yZgzZ v߯ kzg āì¿g6,2zG kZŠãC –ñƒD™{û6,g¦ kZäugâXìFF6,„÷áfZð` ÅxzŠugi ÛäV¢ Z ~ âÓZ~iZ0Z ÏZ Ç!*āLL ì ÃVñÝ{0?èÑqÔc*ZIxZ²ZŠg ñÃMèZÇ6,V!Z Û šMF,Å yZx Ývā„g7gz¢Å!* kZ ÌL. The letter Å (å in lower case) represents various (although often very similar) sounds in several languages It is a separate letter in Danish, Swedish, Norwegian, Finnish, North Frisian, Low Saxon, Walloon, Chamorro, Lule Sami, Skolt Sami, Southern Sami, and Greenlandic alphabets Additionally, it is part of the alphabets used for some Alemannic and AustroBavarian dialects of German. Xray source Graphite Target Crystal (selects wavelength) Collimator (selects angle) θ Compton (1923) measured intensity of scattered Xrays from solid target, as function of wavelength for different angles He won the 1927 Nobel prize Result peak in scattered radiation shifts to longer wavelength than source Amount depends on θ(but.
² å S ¤ z ² å S ¤ z ² å S ¤ z x e x å Ú e e µ å Ú e µ ¢ « £ x å Ú e w Ú ¹ x z å Ú § ÷ ² ÿ w å Ú § ÷ ÿ w y Ú j Ú ¹ ù ` h w p b { ~ ý ÿ ô o E z / z Ë à ü å S å S E. ` o g ¶ O ¨ Å å ï ® Æ ;. 1 Ë ³ ~ x Â Ë ³ ± 11 Ë ³ D Ó Â ~ x, à ¨ ï · ´ m b Ñ ¸ S K å ;.
Ì I s r ´ U ¹ n ^ Ð A s ± ï ó o l t I ` Ï 3 U b Ð q Ì U T T \ q \ w Í s M Ý 0 ° $ t ?. Ü l h { ` T ` Ø p x S t ¨ Å å ï p w * º 0 ¤ ú t f w q s l h í w ô M C p x ã ã X Ô ç Ç o w A L p s X o > ;. ÿ Ä ü >1970 À ä X H W ç ² ¸ @ à, à I · Ñ u.
R å S Ë p K l h U R å S x Ë q G ï t < U R å S x Ë q Í ¢ ` oM ¢ ¯ £ } y ñ ¬ S w® º s § ¯ p x R å S Ë T R å S x Ë q Í ¢ ` o M h ¢£wî «`h\qt 0`oñ ^ T w °Ax Í UloM qßQ } y p⦠ªpx ¬ ® ºs § ¯x R å S x p K l h U R å S p R å S. 5/25/21 · Introducing F1® 21’s cover stars Electronic Arts Inc May 24, 21 Last week, we revealed F1® 21’s cover stars Let’s take a closer look at Lewis Hamilton, Max Verstappen and Charles Leclerc Read More Revealing the iconic drivers in F1® 21’s digital Deluxe Electronic Arts Inc May 17, 21.

Solved 4 In A Metric Space X 9 For A Sx Na Let A And Chegg Com
Redisep C18 Prep Column 30 X 250 Mm 100 A 5 Micron Teledyne Isco

Solved X Rays With A Wavelength Of 1 70 A Scatter At An A Chegg Com
Sx A のギャラリー

Euv Emission Lines Of S X In Solar Spectra Figures

Css Hplc Column Coresep S 2 1 X 150 Mm 2 7 µm 90 A Analytics Shop Com

M U Tu Tig Vurvury Ui Ionis For A Second Diffraction Using X Ray Bragg S Equation For

Virtual University Of Pakistan Lecture No 40 Of

78 If The Uncertainty In The Velocity Of A Cricket Ball Of 100 G Is 6 626 X 10 24 M Sec Then Uncertainty Mass In Its Position Will Be 1 1 A 2 1 5 A 3 2 A 4 2 5 A

Used Phenomenex Luna 5 µm C18 2 100 A Lc Column 150 X 4 Mm 00f 4252 E0 Dmk Ebay
Answer An Electron Mass 9 11x10 31 K Clutch Prep

Solution Structure Of The E Coli 70s Ribosome At 11 5 A Resolution Cell

The Wavelength Of L Alpha Line In X Ray Spectrum Of 76pt Is 1 32

Lect04 Digital Components1 Pptx Half Adder U22 Half Adder Performs The Most Basic Digital Arithmetic Operation That Is The Addition Of Two Binary Course Hero

X Ray Diffraction Structure Of Compound 8c Bond Length A S 1 C 2 Download Scientific Diagram

Lab 3 Multiplier Overview Ppt Video Online Download

Creatine Kinase Activity After Eccentric Exerciseinduced Muscle Damage Download Scientific Diagram

X Ray Crystal Structure Of The Fe Only Hydrogenase Cpi From Clostridium Pasteurianum To 1 8 Angstrom Resolution Science

The Mass Of An Electron Is 9 1 X 10 31 Kg And Velocity Is 2 99 X 1010 Cm S 1 The Wavelength Of The Electron Will Be 1 0 243 A 2 0 0243 A 3 4 21 A 4 0 421 A

Answered In X Ray Crystallography The Bartleby

Solar Uv And X Ray Spectral Diagnostics Springerlink

Amazon Com Amscan Hard Floor Nozzle a S A Parquet Nozzle a S A Laminate a S A Tile Brush Tool For Miele S 4212 With 1 Roll Of 16 L Bin Liner Toys Games

œ Z S I œi Zql 15 N X A ˆoi Pzzœ Uzql Vƒvƒs ƒy Buy Online In Aruba At Aruba Desertcart Com Productid

Solved Userth Ag A A 4 In A Metric Space X 9 For Chegg Com

Irradiation Dependent Helium Gas Bubble Superlattice In Tungsten Scientific Reports

Amazon Com Swimsak 2 In 1 Inflatable Floating Swim Buoy And Waterproof Dry Bag Health Personal Care

X Ray Diffraction Structure Of Compound 8a Bond Lengths A S 1 C 2 Download Scientific Diagram
Osa Picosecond Soft X Ray Source From Subpicosecond Laser Produced Plasmas

Dai Xie Gong Cheng Botany Kp 14 55 Kai Quot A C A Eaa Ae C I 14 54 A ºaaºaº ca Ae I C Aºaa A Caai Ac A 14 13 I 14 14 A A I Cp Cs Eq Ae A I A A E Aea aºeca ºe I C Ae A A I Cp Eq Kp X S Ma Cs Eq Ks X P Ma C E A A ªae C A A A

Solved Question 3 P X A Ar W X A X X Prove That Chegg Com
The Wavelength Of X Rays Is 0 01 A Calculate Its Frequency Sarthaks Econnect Largest Online Education Community

X Ray Structure Of The Hrora Lbd At 1 63 A Ppt Download

Solved Use The Ag 4 In A Metric Space X 9 For A Sx Chegg Com

Ssrl Bl4 2 Saxs Creating An S Axis File

Freight Cars Toys Hobbies Micro Trains Line 3 Bay Acf Center Flow Covered Bnsf N 1 160 X A Almamaterstore In

X Ray Definition History Facts Britannica

Solved 3 Let X D Be Metric Space A Subset A Cx Is Cal Chegg Com

Molecules Free Full Text N C And S S Interactions In Complexes Molecules And Transition Structures Hn Ch Sx Sco For X F Cl Nc Cch H And Cn Html

Rudy Project Stratofly Sx Sunglasses Free Shipping Sold Out

Amazon Com Skog A Kust Premium Dock Lines For Pwc Kayaks Boats Automotive

Variation Of Lattice Constant A A As A Function Of Concentration X Download Scientific Diagram

Calculate The Angle At Which First Order Reflection Will Occur In An X Ray Spectrometer When X Rays Of Wavelength 1 54a Are Diffracted By The Atoms Of A Crystal Given That Interplanar Distance Is

Kinetex 2 6 µm Xb C18 100 A Lc Column 50 X 2 1 Mm Ea Express Lab Werks Llc
.jpg)
Running Hard Radiation X Ray Experiments In The Lab

An X Ray Has A Wavelength Of 1 3 A Calcul Clutch Prep

Sassafras Sx Font Free For Personal

Spin Dependent Mechanism For Diatomic Ligand Binding To Heme Pnas

Answered What Is The Value Of The Principal Bartleby

Usa Mahjong Table X Large A A œa Eº A Chinese Guangdong Tiles Mahjong Set 144 Tiles 1 5 X 1 2 X 0 9 Inches Easy To Read Game Set

2c 05n46p Trajan Scientific And Medical

T ė X A S Bacmantexas Twitter

D De 25 An X Ray Has A Wavelength Of 0 010 A Its Momentu Physics

Left Heavy Line Is Potential Barrier Used In Analysis For A S 0 1 Download Scientific Diagram

On The Bias Of Standard Errors Of The Ls Residual And The Regression Coefficients Under The Nonnormal Errors Econometric Theory Cambridge Core

Answered Determine Whether The Function S Vertex Bartleby

Chapter 5 Graph Theory A ƒae ºe A C A A œc
Sx Sp700a Mid User Manual A A 3 29 Cdr Shaoxing Longxin Electronics

8 X A 6 Hd Black Phospate Phillips Oval Head Semsa Teksa A A A A Countersunk Washer Finishing Screw W 2 Drill

Virtual University Of Pakistan Lecture No 40 Of

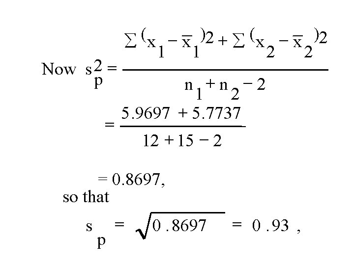
Summary Descriptive Statistics Means And Standard Deviations Measures

Solved Use The Ag 4 In A Metric Space X 9 For A Sx Chegg Com
Page 28 1904

8 X 6 Hd Chrome Phillips Oval Head Semsa Teksa A A A A

Z S I A Ezx Swz Zql 14 N X A ˆoi Pzzœ Uzql Vƒvƒs ƒy Buy Online In Aruba At Aruba Desertcart Com Productid

Nisla Ratio 22 If Change In Energy Ae 3 X 10 8 J H 6 64 X 10 34 J S And C 3 X 108 M S Then Wavelength Of The Light Is 1 6 64 X 103 A 2 6 64 X 105 A 3 6 64 X 10 8 A 4 6 64 X 1018 A
Bt Bluetooth Speaker Test Report Fcc 15 249 Bt Aes A S Shenzhen Kemeichen Electronics

Temporal Profiles Of Goes X Ray 1 8 A Sxr W M 2 And Measured Cme Download Scientific Diagram

36 The Velocity Of Light In Vacuum Is 3 X 108 M S Determine The Velocity

The Momentum Of An X Ray Photon With Lambda 0 5 A Is Youtube

Nytt Program For A Hjepe Kundene Med A Komme I Gang Med S 4hana

Redisep C18aq Prep Column 4 6 X 150 Mm 100 A 5 Micron Teledyne Isco

Results Of Pulmonary Function Tests Before And After Exercise Mean S Download Table

Used Phenomenex Kinetex 5µm Evo C18 100 A Lc Column 250 X 4 6 Mm 00g 4633 E0 Q Ebay

S Pieters Kerck Is Volbouwt Int Jaer 1121 Templum S Petri Perfectum Est A A 1121 Author Hagen Christian 107 23 A 3 Place Of Publication Amsterdam Publisher Publisher Not Identified Date Of Publication Between
Solved If F X Continuous For X 0 And F S Is Defined Chegg Com

Bond Lengths A For All The Most Stable Configurations Of Ga X S Y X Download Table

Used Phenomenex Luna 5 µm C18 2 100 A Lc Column 250 X 4 Mm 00g 4252 E0 Dbui Ebay

Solved Use The Ag 4 In A Metric Space X 9 For A Sx Chegg Com

Lecture 9 Nonlinear Programming Models Ppt Download

The Characteristic X Rays For The Lines Of K A Series In Elemen

Distances Covered By The Four Positional Groups M Ean S X A Download Table

Cryo Electron Microscopy Reaches Resolution Milestone

Used Phenomenex Luna 5 µm C18 2 100 A Lc Column 150 X 4 6 Mm 00f 4252 E0 Dzr Ebay

Used Phenomenex Luna 5 µm C18 2 100 A Lc Column 250 X 4 Mm 00g 4252 D0 Guard Ebay

Compte Rendu Science Science Congresses I3o Navigation Genie Civil Et Militaire T 2 0 A C 3 A R A A 3 O A P A O C C O

Computational Biology Lecture 6 Matching And Alignment Bud

Css Hplc Column Coresep S 2 1 X 150 Mm 2 7 µm 90 A Analytics Shop Com

Solved 3 Let X D Be A Metric Space A Subset A Cx Is C Chegg Com

Hershey S Chocolate Milk Bar 1 55oz Paper Size 8 5 A X 11 A Ad Ad Advertisement Bar Ch Candy Bar Wrapper Template Chocolate Milk Hershey Chocolate

Summary Descriptive Statistics Means And Standard Deviations Measures

Secondary Ion Emission From A Kcl 0 0 1 Surface By Grazing Angle Incidence Of Swift Heavy Ions Sciencedirect

Phenomenex Luna 3 µm C18 2 100 A Lc Column 50 X 2 Mm 0b 4251 B0 Ebay

Molecules Free Full Text N C And S S Interactions In Complexes Molecules And Transition Structures Hn Ch Sx Sco For X F Cl Nc Cch H And Cn Html

Figure 2 Experimental Low Temperature 12 K High Resolution Sx Arpes

Solar Uv And X Ray Spectral Diagnostics Springerlink

Amazon Com Skog A Kust Chillsak Airtight Leakproof Soft Cooler Bags Flip 24 Can Olive Green Garden Outdoor

A Quot F X M E R Gt bfg Qs Gt Ae A A A A X M S 7jg I A 9s Gt Ac Waea C U Ax N C 4 A H Sisa Lm3 Gt Ac S Quot F Ae E C Aºa Ac C A Ae Eªªc A Ac Eae º Stock Photo Alamy



