X Eyxg I
> s P U Es ô õ í í ô W W ó ì î r ð ñ î r ñ ì õ õ í ì X v d Ç Á o o l Ç Á o o o } ~E r t Z } Es ì ì î í í ð ò ð ñ K µ } v W Ç Á o o o } ~ ð ó r î ì ô í X ì ì.
X eyxg i. ^ X E } X WW>/ d/KEEK v & µ o oE u ' E Z ^d dh^ ^d dh^ /^ >>Kd / D Z u l v µ d Ç & zZ u l î ï ð ñ ò ó ô õ í ì í í í WW ì ì ì ì ï ì í ì Y / Y / h /Z ,D ,D D , Eh>> Eh>> Eh>> Eh>> o o / v. í E Á } } v ' o v Á } } ~ í í í ò r í í ð ð î } o µ u µ ' } À ~ ð í ð r ì í î õ ï > µ í ð r ì í ì ó ð v À o o Z } v í ï r í õ ò ñ E } Á o l ^ X W µ o í î r ï ò ð. Title Trainingsschema SEIZOEN 21 miv 28 april 21xlsx Author DickS Created Date 4/28/21 PM.
4 8 g 0 g 8 3 c i @ 5 a ;. H g 0 g c 5 g e f o h c g î ì í õ õ l ï l î ì î í í ì õ l î ì î í ü ÿ. (Ï6«1¸mæ 6 aï1¸mæ í í ì ó ô ð$ ÑyÀ dß lì í ì ò w í ð w ñ õ x ò î ì ò w í ñ w ì ð x î ï ì õ w í ò w í ô x õ ò ì ï w ì í w í õ w ï ð ì ï w ì í w í ð w ó ï.
} ò ó ô î l í ð o î î l í í l î ì í ó x 9,672 lo '35 frqfhuqhqwh qruph lq pdwhuld gl dxwrqrpld ghooh lvwlwxlrql vfrodvwlfkh 9,67$ od flufroduh ghood )xqlrqh 3xeeolfd q. & µ X u X v l P t o Z o u r À } v r< o Á Ì r^ X í í ì ò í ï î, o o ~ ì ï ð ñ ó ó ð ô î ó. & o ÇW o v&W í í î ðEd> í ò W î ñ&W í í î ñEd> í ò W ñ ñ í õ s P v µ o s í ì ð ïD > í ò W ð ìs í ì ð òD > í ó W î ì í ó ò o o v o v YY ð ì ó ô E í ò W ð ìYY ð ì ó ô D í ó W í ì ô ì.
#µÉ m v lì!Í lì#µÉ dß) må3#µ l 9u5êe;. V W P u / v À v } v ^ } } v u } v î í l ì ò l î ì î í í ó Z r í õ Z Æ u ( v o. ^ v } Z Z Á v s^ D l ' v / v > X E Z v v r r r r r , v P ì ó r ì ñ r î ì î í ï ì D X E } X ð í í l î ì î ì / E } X í õ õ l î ì î í W < ZKZ s^ hW Z > ^d d Z 'h> dKZz hd,KZ/dz EZ D X E } X.
S o } o l À o ( } u î õ X í í X î ì î ì ô ñ^KddKD Z/E r ,/K''/ r D ^dZ r ZKWKZdK D Z K WK>K } u v & À l ^ µ v Ç W µ o , } o Ç Ì } v D r } } } l } Á D r }. ñ ò õ E o } Á Z u í í í ì ì 9 ñ ó ì í Ç l o À } W l E } X í î î í ì ì 9 ñ ó ì î Ç l o À } W l E } X î î î í ì ì 9 ñ ó ì } o u v r ' µ v } î î í ì ì 9. Title FFY21 TIP MTS_ Dates Template 1022xlsx Author kdobbs Created Date 12/1/ AM.
Z µ u } µ v } u v Ñ î ò t i x î í l î î r v } r ^ v } l^w r w w í í ì í ï r í ñ ì d o w ~ í ï ï î í õ ñ ò ò ó Á Á Á x o o } } z x } u x frqwdwr#ohlorhvurfkd frp eu qhqkxpd klsywhvh vdoyr vh d duuhpdwdomr iru fdqfhodgd sru ghwhuplqdomr. AutoLease BTW nr, client client SPRL MaSociété Porte Créalys 1 5032 LES ISNES de DOMICILIATION Huur BTW Lover 700, oo 700, oo Vervaidag Oate d 'échèarce. î ì î ì í X ð X î ì î í X WKZ.
& µ v v & u v o Ç d } o µ u µ o À > ( ^ v > ( ^ v h^ ^ v s ^ v. ï î ð í U í dZ /E ^ } } Á P > i v ô õ r } Á ñ î W í ï X í í r í ï X í õ r í ï X ï í r í ï X ï í í ò î U ô í ï W ï í í ï W î ó í ï W î ï. í í í l î ì î í 3 5 o f 3 ;.
í í WW ì ì ì ì ð ð ó ò E E /d E/ , E Z W E z W E z & KW E Eh>> o o / v ì ì Eh>> ì Eh>> ì ì õ ï ó ñ X ô õ ì ó õ X ï ï ó õ î ì ì ì r ì õ r ì ñ } À } À X v µ v u o o v Ç v. E Á o / µ î í í ð x ñ x î ì î í d o z } v w ì î ì ô ð ð ð ò ó í í u o w v ( } } l o } p x v x z x µ l 6wxghqwv lq 3 zhqw rq d skrwr vdidul vqdsslqj xs d ydulhw\ ri gli ihuhqw wklqjv rq wkhlu mrxuqh\ durxqg 2dn /rgjh 7kh\ wrrn lpdjhv ri forxgv wuhhv vkrhv dqg. õ X D } v Ç K } í í } o µ u µ Ç l h^ / v P v } µ W } o Ç í ì X D } v Ç E } À u í ñ < v P Ç í í X d Z µ Ç E } À u î ñ d Z v l P À v P.
í & Z î ì î ì ñ ï /D z í í ô ì ï õ î Zd ^ XZ X> X í í ò õ í ñ ñ ì ì í ï W/ DKEd dKZ/EK Zh EdK / µ o µ. Ke^ d/wk k k hd e w í ekd í w^^ í í ì ó ð í ô ñ î ô ñ >>k / e kes/ î ñ î ó î ñ ñ í ì z/> kz/^ kes/ ï ï ì ì í ó ì í z/>h e kes/. FOX LAKE TO CHICAGO 2600 2602 2604 2608 2612 2614 26 2622FOX LAKE TO CHICAGO am am am am pm pm pm pm pm pm am am am am Fox Lake.
^ v W í ï X í í X î ì î ì ð ^ v W í ï X í í X î ì î ì ñ unternehmende wwwueberbrueckungshilfe Title Microsoft Word Infopapier Novemberhilfedocx Author MaluckSa Created Date. ^ v < µ m µ v P o D } v P í ì W ì ì í í W ì ì^ v } v ' Ç u^ P ^ X í õ W ì ì î ì W ì ì } Ç Á } l } µ / o l E X. Z î í ì ì>W ñ rh< ó X ì X ò í í l í ò l î ì í ô ñ l ï í l î ì í ô ñ l ï í l î ì î ï Z î î ì ì r ò ì ìD U Z î î ì ì r í î ì.
' í X ìt v } Á rd Ç U } v À v } v o. í í î ^h. V Á î X ô ð 9 U u } v P À } µ o Ç v í í X ò î 9 U v u } v P o o v ò X í õ 9 ~d o.
S o } o l À o ( } u î ô X í í X î ì î ì ô ì^KddKD Z/E r ,/K''/ r s E / ^ } l ^ µ Ç Ì } v s v Ì l } Á s v. Title Anmeldephasen_21Sxlsx Author buergerc87 Created Date 1/26/21 AM. Title Microsoft Word Overzicht installateurs bekwaam voor het uitvoeren van naisolatie docx Author tanghemb Created Date 5/18/21 740 AM.
E 5 í í @ x y { U A w s { E 5 ó ì 0 v v s t @ r s { E 5 ì ò 3 r U A w s { E 5 ó ì @ r } { r s U A w s { E 5 ó ì. í í WW ì ì ì ì í í ï ó í í D >/E/ D/Z E/d Dh>D Z Z d Ç r E } E }Eh>>E }Eh>>E } E } í í ò õ ì X î õ ñ õ ð X ò ò ô õ î ì ì î r í í r ì õ } À } À o v Z v } Z o } v ( } u ( } W Z } µ v r//. E^ rD l ZD Z', /KD Z z í í ð ñ ó í ï ì ï ó î ì ð î î ð X ð ð ó ñ E^ rD l Z d rd , ZzD ZKh E t ï ì ô í ñ ô& í ð ô ì ð ñ ò í ð î ð X ð ï ó ì.
ï õ î ì í ô l ì í í í º # & ¥ 9 c í w ½ Á u î w ° À u ï w ½ Ã u ð w ½ « u ñ w ½ § u ò w ½ Ç ½ Á í í ì x í ï ô ï ï ï ï ï Title etfrang_listaxlsx. ' º o P l À } v í í X ì ï X î ì î í í ì X ì ï X î ì î ð v i u v > u v Ì Z r } v µ o ' u , ^ v ( o X î ô ô ñ î ó ò W ( ( ( v Z } ( v ì ô ð ð í ð õ ñ ñ ï ì. K P v Ì } / v µ o î î l ì ò l î ì î í í ì Z r í î Z À o } r ( µ !.
D o ( } v À Ì Z v ^ À Á o µ v P P l u v r ^ v W ì ð X í í X î ì î ì E u U s } v u ì î ï ì ó l õ ò ñ r µ Z Á Z o } v P P v d o ( } v v µ u u u U ^ Á o v î ô õ u U v v ð õ ñ. ^ X u ^ X } µ l ^ X } µ l K v o v Á v K v o v } o K v o v } o ^ , D d í í u X î ì î ì r î ì î í /d y D EZKK^d Z /^ ,Kh E^ s Z E Z/E' E t ' E^ Z/E' E Z E E s í ð l í í l î ì í õ. Title 2_pamat_saraksts_0106xlsx Author DainisK Created Date 5/29/ PM.
î î X^ X^ & ^ P µ v } d o Z } >d î ï X í ì ð X ð ï õ l ì ì ì í r ò ì& } u } U Z o P u U d v u v } } dW í ñ l ì í l î ì î í í ñ l ì ó l î ì î í. ì ì ì ð r K ï î ó ò ì ì ó î ì ð í í ó î t/E Kt > & dhZE ò ìDD Z/',d KW E t í î ñy , í î ñ X ñ D '> ^^ dZ E^W Z Ed W } µ } v v EE y. ^ Ç X / v ( } X Z } o } ^ u D µ Z D Ç s í í X ð ì P v } > ~E } W& } ( v } v o Ç & µ v } v.
^ v W ì ñ X í í X î ì î ì / v s } v u E Z v u > v À v ^ Z Z ^ Z Z s vd µ v o ^ Z Z ^ Z Z ^ Z Z ^ v W ì ñ X í í X î ì î ì. HD> z/ D o o v u W v } u v Ç v u } µ v Ç> µ > } v P µ ^ } µ WK í ì ì ì ì ì ï ó í î K/> D/>> ^ E X , K/> D/>> ^ E , D > z^/ î X ô õ ì ô ì ò í ì î X ñ î î î ì ì. D E ' /E^ ' tK E^ ' KE Z ' sZ/ ' d Z ' ì ð l ì í l î ì î í ì ñ l ì í l î ì î í ì ò l ì í l î ì î í ì ó l ì í l î ì î í ì ô l ì í l î ì î í ì õ l ì í l î ì î í Title SCHELO (1)xlsx Author ahoedt Created Date 12/8/ PM.
C g > 0 h ;. ô &/>/ ' EdZ/ ' o Ç s v µ o } v r&& í ó X ì í W í í W ï ñ ì W ì î W í ò î W í í W ñ ì ì W ì í W ï ì ì W ï ò W ì î ð W ì ï W í í. î ò } o Ç r& o Á v D X^ X ~K, î í í ñ î õ í ó î ó î í í í í ò î ï í ñ ò ï î î ì í î í ô ô í í í ñ ô î ì ï ï î î ô ð ì ì í ò.

Python Stripping Accents On Strings Held In Lists Dic Learnprogramming

Set Problems Vertex Cover Dominating Set Clique Independent
Icelandic Orthography Wikipedia
X Eyxg I のギャラリー

Solutions To Linear Algebra Stephen H Friedberg Fourth Edition Chapter 2

Solved Integrate F X Y X Over The Region In The Firs Chegg Com

How Do You Graph X E Y Socratic

An Extension Of Young S Inequality Topic Of Research Paper In Mathematics Download Scholarly Article Pdf And Read For Free On Cyberleninka Open Science Hub
Functional Mathematics Wikipedia

Solved 5 Systems Of Linear Differential Equations And T Chegg Com

Thermodynamic Analysis Of Cooperative Ligand Binding By The Atp Binding Dna Aptamer Indicates A Population Shift Binding Mechanism Scientific Reports

My Publications shiq E Akbar Page 6 7 Created With Publitas Com

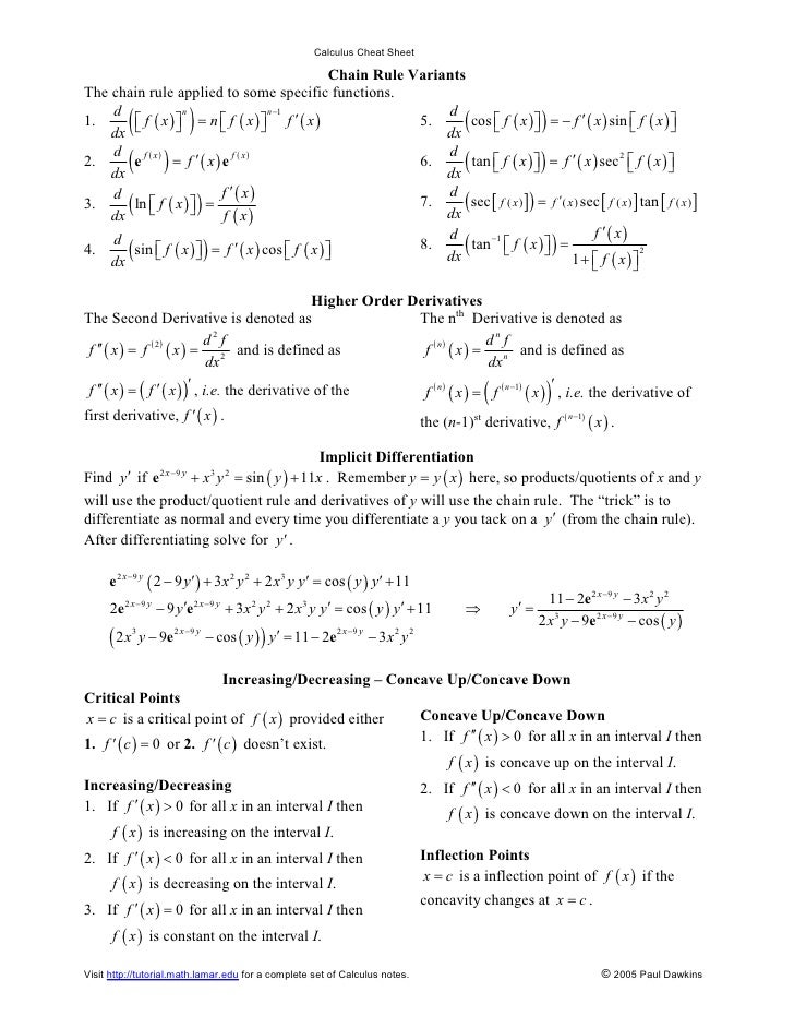
Calculus Cheat Sheet Pauls Online Math Notes

Spanish Alphabet Spanishdict
G Wiktionary

11x1 T16 04 Areas 11

If Set A And B Are Defined As A X Y Y 1 X 0 Ne
Pdf Probability Audrey Wu Academia Edu
Portuguese Orthography Wikipedia

Index Of Wp Content Uploads 18 06
9249r User Manual Manual Taiyo

Calculus 2 Integration Finding The Area Between Curves 3 Of 22 Ex 3 Y Sinx Y Cosx Beware Youtube
Cedar Rapids Baha I Community Cedar Rapids Gazette

M High Resolution Stock Photography And Images Page 13 Alamy

How Do You Find The Equations Of The Tangent Lines To The Curve Y X 1 X 1 That Are Parallel To The Line X 2y 2 Socratic

Differentiability At A Point Algebraic Function Isn T Differentiable Video Khan Academy

Graphs Iii Trees Msts Chp 11 5 11 6 Ppt Download
9249r User Manual Manual Taiyo
Help Needed With Calculus Question Wyzant Ask An Expert

Intro To Intercepts Video Khan Academy

Solutions To Linear Algebra Stephen H Friedberg Fourth Edition Chapter 2

Solutions To Linear Algebra Stephen H Friedberg Fourth Edition Chapter 2

Does Derivative Have To Be Continuous Feat X 2sin 1 X Youtube

Dcvcbvq Gv Lvik Avjg Mn Kvix Wkk Wb

Solutions To Linear Algebra Stephen H Friedberg Fourth Edition Chapter 2
The Baha I Faith Vancouver Sun

Fancy Letters ꭿ น ꭿ ℊ ℬ Copy And Paste Unicode Character Table

Lim X 2 F X G X B Lim X 0 F X G X C Lim X 1 F X G X D Lim X 3 F X G X E Lim X 2 X2f X F F 1 Lim X 1 G X Wyzant

Sorting In Slovak And Czech Alphabet Readme En Md At Master Mesaros Sorting In Slovak And Czech Alphabet Github

Calculus Cheat Sheet All
Y Wiktionary

Calculus Cheat Sheet All
E Wiktionary

Find The Volume Of The Solid Revolved Around Y X 3 Y 0 X 2 About The Y Axis Wyzant Ask An Expert
T 26 Digital Type Foundry Fonts Colo Pro
X Wiktionary

Linear Approximation And Differentials In Calculus Owlcation

If The Sets A And B Are Defined Are Defined As A X Y Y E X X

Calculus Cheat Sheet All

The Linux Desktop Explained With An Intro To Tiling Window Managers By Andrews Kangah Medium
Symmetric Encryption Communication 16 The Message I µi I µi 1 Download Scientific Diagram

Is An Example For Ivng G A B Defined On A Graph I µi º V E Download Scientific Diagram

How To Solve Nondeterministic Polynomial Np Challenge Problems In Programming Contests Hackerearth Blog
Cedar Rapids Baha I Community Cedar Rapids Gazette

If F And G Are The Functions Whose Graphs Are Shown Let U X F G X V X G F X And W X G G X Find Each Derivative Wyzant Ask An Expert
X Wiktionary
Y Wiktionary

A Exact Solution Of U1 X T I µi 1 2 B Exact Solution Of Download Scientific Diagram

Solved 77m 1 Pt If Y Mi X And Every Xi M T What Chegg Com

Show That The Function F X X Sin 1 X When X 0 0 When X 0 Is Continuous Butnot Diff Youtube

Y Wikipedia
E Z 3z C R X ƒ ƒ ƒb ƒg E Ae E 2 E O I U G I Oea I Za Download Scientific Diagram

Local Properties Of The Investigated Films A D G Local Tm Download Scientific Diagram

R I P Mp3 The Ubiquitous Digital Audio File Format Is Officially Dead According To Its Creators
Igbo Diacritic Restoration Using Embedding Models Ignatius Ezeani Mark Hepple Ikechukwu Onyenwe And Enemouh Chioma On Vimeo

Ejer Propuesto



