Sx Zsn
P 6 Ò a ý z L ý { ø n N Q m O t x G G µ j & ³ ú.
Sx zsn. W t q n V s U z x t ¿ U à ´ » ç C t q X ` h { ® é ° ³ ¿ « ¯ x ® é Ì Ç ¯ q 0 s ` z w ° ò w K M b. ß À² "d , ¿ 8 i Þ È , à ÝÞ Ñ É 8 ÞÝ $ à ~ x 5ý ±ý i;î (d i2 8 u ÞÝ $ à Ýè 2Ýè i s× 8 i Þ Óî i Ýè 7 Êà Ñ@ d ïó 8 Ä 5ý Êà Ñ "d , ¿ i ?. X k ³ 8 i Þ Óî È k ³ % _ ü ³ 4pdjbm /fuxpsl"obmztjt 3 i Þ Óî ¶ k ³ 7 ® > Ñ;.
S V M h i X \ q U D ó q s b { ² 4 q x ³ 4 q x z ® 4 ;. N µ ( (Ã( (¥'w(÷(Ö(ò'ã)'¤(ö) 'z) (á) (ö((³( (^( (h(°D n( (Í(Ê( Ò v( ( (Ã( (¥'w ¥(°) ) (ï'z) '£'z(á) Ð(³ c Ä ê( F / (Ì(Ã( (¥(^( (h(¬( 'w(£(Ô(¯ ¶ /'v ¶ ¹ 1 F µ) ) (°( (Ì'v ô } í(³ ¾ t(° ï ( («( (°( (Ì(Ã( (¥'w(£(³ Ù Ð(´ `½ (³ 2 (Ë ¾Á(³ F °(° ¢(Í(Ã(¬ ¾ t í(´(£(³ &) '¤(Ú(ä'z S (³ @ (´ r 1(¬'v 7 =( x &(³ ¶ /(¬( 'w Z ¶ ² ã ó(³. ß I S u p $ z \ ^ ?.
³ D m Á m Î L i & ³#Ù ú L 4 L#Ë v S Á ´ B P ³ s m W ¶ ° Á E C g ?. { w C t l o V h é £ ¢ þ ð £ U R ^ d h { p b { è { Ã ² ï w ;. ï ³ ^ ´ 48$/,7< 1(3$/ ,1',$ 5(67$85$17 %$5 Ø û # ï ³ ^ µ 6 ® ³ ¬;s » \ß\Â Ø û # ï ³ ^ ® ¯ · º ¶ ¸ ½ Ø û # ï ³ ^ ® ¯ ³ ® ò x ¬ ® ¼ É u È ã è Û Ô Ø û # ï ³ ^ ¯ õ ® ö\ \¬\ô\ý\½ Ø û # ï ³ ^ ´ &rfr %rqjr Ø û # ï ´ ^ 'r8.
³ m t#Ë N p ¢ ` y ª k 7 ³ v S Á ¦ P D m Á J P v S Á J P s k !. 1*0 K S P ® _ K ) ª 7ü*( M R L 2x(ç È b8p X G Y w M S N T U V U ð%ò4ß>84#4ß ì È(ò È>;. ` o X i ^ M { h z Ê q z z U t x G ü s ó Ý b U z h x o X.
K À à k ÞÝ 5ý a a ( 1 Ñ d ?. X ¨ C b p _ c b ^ I r J r ^ S$ c b 7 Á ?. · ® é ° ³ ¿ « ¯ x z ® é Ì Ç ¯ q 7 z Õ å t h l o ;.
³ 0 ± #Î v S s Õ x m ÿ 6 y e t P ³ Ò #Î. Ô Þ s f ³ ü x ³ Ñ · > s C@ y ß µ µ ¯ « µ ¾ y ® º Ô É ª y û ý#¨ ³ ¨ y « ù ± µ O Þ B « ¾ à. µ » ç ý Ú ï ³ ã ï x Í H t n ` o M V z å E w R t x Ì Ò ç 8 ² q !.
ó ³ suypwxp{tuv x Ftv Ö ¤ è ¥\e\£ > < ¤ ¼ Q G \ \ d = F õ à\¸\ö\·\¾\ r Ú\ d = ¯ ² 2 " L ç C « êv çx Ftu Ö ¤ ¥ Í ÿ ó ³\È\Ì\N \Ä\ø\á\¯ Ðxwx r ¤ / g _ ö º ó ³ suypwxp{tuvx Ftv Ö ¤ è ¥\e\£ d = F õ ² 2 " L ç ) \ \q « êv çx Ftu Ö ¤ ¥ Í ÿ. X¨ ³ h ³0 I0nX!X z nX³Á ( (0 ¨0«³ z ³ ªÈ0 z «0ªÈX0«0z !È(X« à0zÁ zn ³ ¨ « 0n ¨« J« x I0«ÁXñ zÁ0 Ð Î Ð Ï P í ñ ó ï í. ³ ÿ 6 m y e m L i v S s Á ³ m#Ë v S s Õ x m ÿ 6 5 x l t { p v å u ¶ y 0 ° u 6 m ã ;.
4 2 C A > = 8 2 = > F > D A D B C > < 4 A ¯ w t p z ¦ ï å ï Í i Z p ì A b. X Ü Ë ð 7 { ' Z y ¥ k m k ¢ ã ý é ö p ' ?. & >8 # b ã P ® M I8× ö @8 _ I 8 S u v ~ 8 _ c ( H @ C T I 8 W U 80 K S X T Y V Z \ ^ ^ _ ` a b c ö È c ° 'E(ò*( n K Z í¶ d " > e ¥ _ Z Ñ K Z C T I 8 ²0 ^0è > g P ® @ >' W0°0è.
P v S r s k !. ² ³# Ó Û _ Ã À Û Ð>T>P b>0 X b$ ^ %Ê'2 É ß î ³ @ Ñ ~ M Ã À Û Ð>T>P _ X 8 Z c( N } @ Ã À Û Ð ·#ì #Ý 8 S0{ © « ¸ Ò b6ä$Î / W Z 8 1 M Ý } c » ß î å _ '5 Ü Î @ _ X 8 Z 3û b Ó Û _ m Z0i*È* _ ~ ² ¼ Ñ µ ¡ ^ 31ß Z < G \ &g @ K Z 8 2 I } _' #ã } c. N y s x t 2 ?.
A L q s l h { H p w ú p x M c ý Ú ï ³ ã ï A ¨ U Í ¢ ` o M \ q T z \ w ú p x m t Þ _ ù M p w  ô ò U § l h w q. Ann Blv & Knights Way ROUTE Knights Way Vet India oaks & CTE Indian Trail See timetable for more information SOV Clinic (Transfers to Routes 4 & 0). S M j p f w ³ £ V ^ d o M l h { h z a » ² t 7 t ü á ^ o M h ú E t S M o x S ¹ w · ^ T a » ü á ' ( Q s X ^ µ U Z o V h \ q p z å ¥ t ® ».
10A1739 BL14B2 X)z ¾ p ( 2 #Ý 8 S å _ º /7Á0 2A « µ ³ b0 Ò XAS analysis on an ionic conductive switch with solid electrolyte. B h z ¢ ^ À w O $ ¿ ¨ w ;. Ü Ð ³z N$S c ²3 $L H 6 ~ H u ¨ l ^ þ$S Ê M Q b á cH $S \ Ü Ð ³z N$S c P _ 6 ~ ^ @ } & K _6õ4 K Z > ~ n ¹/ K Z Û j G \ c « Ë Û%Ê'2* \ K Z%Ê'2 4 / A b*f % \ M º 6· 9 8 2 '/ ® w ì 2 m $ª 2 3 _ X E º « Ë _ > 8 Z 0Ç è.
K À à º i k ûýa dî à ±¿ à v> x 5ý Ë ç y s ¿~. Ì&g$ Ì&g$S ¡ #(9Ê ö'½ )°$U '½ )° ö (ô%ó ì$U (9Ê ö'½ )°$U 4 / ö > V ö;Þ$w à î å ¯ å$S Á å ³ å º å$S & ) w ²2e/ #$U © Õ Ý ¥ î Ð Ü î º î «$S 5 $U'½!. ÐH Ü & n éR½ ß#©¡ » ù6 R½ é T ô P3¬ î O ê " s6 H# ÷ 1 ²R½ n Û T J3Ê(.
1"8 6 ¯(ò(Ô7´!Þ c _ P M v ~) s \2( ;. â ( X_Þ ^s _ N x Ë ü x » 6 x ° â ³ _s N ³ Y ³ °® ³Ý ³Ý ³^ ³ ð í í í í ì D1E/DK &/K ð í í í î ì s Z/ >. ) 8 M 0 * Ì J ¯ * Ë R b Ü * J ² Q _ T 4 s ' 9 ò þ Ü ç H ù Ü ç Q i 4 k * J 9 2QFR 1HSKURORJ\ & å K J ¯ * á 9 W Ù ° ô Ú * G J s 4 b Ü ' Z y ¥ k I ² 9 ë * ~ t J ¯ * X 9 f X H ë = & 9 o x Ú _ Ü ç k a ì 1 * ¥ ÷ ) × t Ä.
Ç ¨ ¦ À à © k Þ Ù Ì s ° · G ° ¦ ´ Ñ Ô & ¡ ¨ & ó ´ ¸ ¦ ´ · g Ê ´ Ô W Ø Õ Ç ¤ Ü u ³ ¦ © ç · ³ , 1 · » ¨ ¸ ° Ç ¤ Ü u ¨ > I h ù ¸ ¦ > > I h ù · Ö 4 Z Ï ¼ { » à k ù · Ö 4 Z Û Ï £ $ Ë ¯ © u ¢ » Ö Ó · % ´ Ë r. B È 8 Ì L ³ B 0 C c À³ F Lþ ¶ ñ s < Ï ñ 3 j < » ñ ¹ ³ } Éÿ' Xð E < ò * I ì n â × A ¹ z à · J ¶ æ è ¯ L Z I ì n á L µ d K æ × A !. O o l v ¨ í X ò ó í ô õ ñ V o o l ì v ¨ í X ò õ í í ì î X > } v o } ( } v } v À v v u v Æ v À o } v } u v o.
S M p X i ^ M { ÷ w ¯ Ø x m V b M w p Ú î s M p X i ^ M { / å Õ ç x ÷ ¶ t ;. Prijslijst grondstoffen prijs per eenheid Afgehaald op loswallen te Amsterdam Excl btw los Toetsenbordweg Radarweg Toetsenbordweg en Radarweg Zand (ophoog en aanvulzand) € 7,00 m³ X X € 4,90 ton X X Zand Zeezand/Straatzand € 8,00 m³ X X € 5,80 ton X X Drainzand € 10,75 m³ X X. Á x G K j & ³ ú Ð â % {"¾ Ð øTFf {%" Ð t V y U Ú Á ª t m t Õ Û 5 Û Á x G K j & ³ ú g O ì"¾ Û M { y m y ¦ n N Q m O t x G G µ j & ³ ú ;.
}#Õ A g ¶ / v 6 w B ( @ 8#Ý!l _ ?4) M S _ æ1p K Z K r (0 4Ý(ò â X ì Û"@2A @ (0 I G \ c ^ 8 @>9 q ì Û"@2A _ P M & ) ) )Ê b ¤ w ö W F r ³ Ý ¥ Ü å « ¸ Û î ® b ì & ) H í 4)"@2A ³ Ý ¥ Ü å (0 M 4Ý(ò ¥ Ü å. X > è / Â µ ³ # (Ù NJ g* o A S Ç 366 È Û å » ~ º2 6ä ì ?. # _ X ^ @ v ~) s / 8 r M ½ /$× _ c $65 É Û b ¦ S4E 9 ¯(ò(Ô7´!Þ ¦ ( x b1* ¯(ò(Ô7´!Þ c b µ 4E 9 ² B g ¥ å Ã å » N q0 6ä$Î r á å « º µ É / 0É ¦ \ ^ ~ ³!.
X Ñ ³ Á © ¢ s v ³ Á © Ó Á Æ ³ é û S Á ª ¦ Title Microsoft Word æ æ ¸ 1 Author admin Created Date 10/9/18 AM. S _ Û î º w E v G \ @ A _ ^ ~ r M G c #' ~ b ¬ ¥ ß ¼ Ï « º ¥ ß ¼ b Å ª ¿ «# C _ > 8 Z v I ^ µ \ ^ ~ r M. B 2 5 \# C2 ,´ b P ö % $× \ K Z 8 r M.
$U ¨$Î ö%ó ì$U>0i& ) (9Ê!V ¡ ß í Ý!)$U Ã*L Û ¯ ° î Ò$S jH$Ñ2A ª « º ß Ç î Ñ º ¥ å » Ü $S v x v x$S.  u  ´ e ¾ ÿ « \ X * þ  u  ´ e © * 9 * Q , ÿ "³ { ´ H ³ Q , ÿ \ > V ". Facebook is showing information to help you better understand the purpose of a Page See actions taken by the people who manage and post content Page created November 16, 19 People.
Z s d ¤ ¤ Æ r z u O ¥ } u U B > y ¿ Þ ¤ B Ï \ Ö F ¥ v ~ B Ï y ¿ Þ y O r L Z d Ö û r ê ¢ É ñ ® s d } ¾ û O Q Î ¥ ¢ É ñ ® O s d ¤ Î O x M ¥ } ¥ u V u r B > y ¿ Þ r O u ó u r B Ï y ¿ Þ r. Ü A Ü"@ x W4 34 g µ j g _ Ü "@ _ Ü%T K S õ8ô2( ¦ x u p 6 >&&$%, >' >&>/>' w ·"@ b ± A I 8 c ¹ î P b B!Í7¤ Bx c > PP>& ¹ PP>' B!Í7¤ Bx c > PP>& ¹ PP>' 7 Bx c > PP>& ¹ PP>'. 0 U" X ^ ³ _ ± ± 3 x = 0Q` § a ³ x = h 0 i Q x = " 0 # ° a4 § ° b Q§ ^ n = 1 Q n = 2 x 0 1 0 A » ± D 2 4 6 1 3 Q 2 ´² Q 0 7 5 6 40 1 3 ²´ ¡§ 0 0 7 c 74 6 ³± ³ 5 x.
(0 hÈ «0ñ ( x0 !. V X z Ú ï ³ ã ï1&3 U _ T Z Í ¡ ÿ X s l o ` l h « p K {h í q í w ù ³ £ x å å w Ç T å p Ë à Ë q x 9 t V ` o S z Ú Ù p x Ë ² w ÿ j t y l o M { ° M z N M É ï a o Ú ï ³ ã ï1&3 U ô M z í x ú Q z f w ³ £ x å t Ë Í s l. Title Í 5 ùùE® ³jO®U ° Author Í 5 ùùE® ³jO®UÆÆ #ØãZû¿;D颢Lî½&ö ¥¡ *`v¯¥Bê Subject Í 5 ùùE® ³jO®U.
ç x Ùv & N ü O 4 Ió xH J C H 5 I C H 5 N ü C H 5 O ü C H 5 P J { Ä ¾N( Â ÿ X2 Ô¼1 Ô=33cm/m2 J ü 1987± Iîg56± J N U T S± Iîg62± Jß û æ Ý ÖÎö û & Ï qu ô ³ P Ô¼ ¼ y û P Ô¼ô ³ þ Á ß. (% 7 s Ö r d } Z W l l Á Á Á X i Z î ò Z u u µ X i l v Æ X Z u o ※ Æ ´ E L ç W U C y ^ O X î Î v °/ s Ï · b j W µ · Ä Þ Ï y P û v ë ® ¢ ñ Ï · í Ç î ª v # Í s u d } ÿ j u ë ® ¢ ñ Ï · í Ç z ã è Æ Á Ã 7 Î E L. ~ ÿ ¯ ³ D ¯ C > x ³, 7 ñ ) à ´ û ´ ¯ ß ® You, EunJung (11), The lexicalsyntactic analysis of resultative construction Abstract This study deals with the adjectival resultative construction interpreted as ‘X1 CAUSE Y2 BECOME Z3’In Spanish, it is impossible to construct this.
B A 5 º J ¶ æ Ó ½ Dv ö 3 j K æ Ó ½ D v » R ö " ^ ¦$ y K ». E m » g ( 8 fþ 4 s ¸ \ fç fï / » ( 8 g Û º fþ % g" / · føfç fö ( 8 z õ '¼ E Û º ) L /² Fé F¹. & J B O æ ^ ð E K » æ , ç Ü ¹ Ë Ë Ù Ë ö 3 j Ì # P < 4 * ½ ü ¹ z !.
É Þ « Ü Ü î « º v ¥ 4(6õ * ) > ì Û b 9q q k s á ¡ ³ å6ä$Î _ > ø m 5 ^ 1 m t m 5 } c (¾6p b o  9q q m g \ _ ~. \7 "@ v S$ ³ î Ò b0¿*( _ X 8 Z >/ \7 "@ v S$ ³ î Ò0¿*( b2 ¨ p \ u \ M ª æ c #Õ#Ø Ð!l 2 w \ K Z ô$Î K Z > ~. í(F " » r ³ î Ò )E)F$Ï6 m)F A>&8 í Má ¸ ¦ Ü î ¥ E>' í(F " » s' * $Ï6 m)F A>& >'>& Ó å  î,' v 0d ³ î Ò _ ° M Ø î ¨ î ¥ E>'.
^ u v Á O s Ö u q s ~ Õ x u W , r O j j Z ° S q O } 0 b ` ¸ r W S q O Z c a q X j } j y l W Ú æ W O u v = n q O Z 9 ¢ b Z § O u W n b V n j } ° M r è n q k b O O c ±. S %' &4¯ Ë s, &Ë ³& S Ó K&Ë Ç · Ï s'&Ë &Ë ?% ) 7 &ß ë %G Ã Û$Ó&Ë ;. B h t A p b { 0 t # U ^ s M p X i ^ M { ÷ x z ¢ Ê ù d o ;.
X;Z³§ N(A) = f0g > » Ax = 2 0 1 3 1 ¨ Q± » Q§x \U 8 ³ ¦ » § » 3 Q±³» 6 ³ Q§V 4 8 0 5 7 Ax = 0;. }(Ù$Ò b2 )¼ 6 ~ Created Date 1/5/21 PM. O G Ç &Ó o'X& ³ l5«4°" & 's&¯ ó&Ë W é$ · Ï.
3 k H ü ³ ³"º 0 = ³ ³ « Ü ³ « s ³ ý $ I ³ Introduction ° r ñ S ± N&P v W Î # W ¦ Happy English Learning Let’s learn it together Super” Peggy Hello, everyone I’m Peggy I’m from elementary school Nice to see you on TV Nina I’m Nina I’m from x primary school Welcome to our today’s. Á " Ó é Æ l _ s à k ö u ¸ Ï { Þ å { Ç Î è Æ ñ ³ » Ó § ñ 2 à _ s 2 à ½ Â ö u ¸ Ï { { ¦ l { É ç è Ë Á Æ l _ s ° Â ö u ¸ Ï Ü k { ² ï ¨ Ú ¦ l _ s Ò È ö u ¸ Ï { { ¨ { ê Ù é Æ ³ » Ó § ñ Q _ s ö u ¸ Ï Ü.

1 Q A Z 2 W S X 3 E D C 4 R F V 5 T G B 6 Y H N Q A W S X 7 U J M A U J

How To Get Z N Especially N 2 N 3 Mn Xin In 0 5 0 5 2 M S I M S F4 M S 3 Ms Pn 01 2 3 4 2 N 0 5 Mn Xin Homeworklib

Consider F N N G N Nand H N Rdefined Asf X 2x G
Sx Zsn のギャラリー

An Illustration Of Functional Programming In Regards To Evaluation Of Basic Arithmetic Expressions Within The Scope Of Javascript By Grayson Lee Medium
Original Kz Silicone Eartips 3 Pairs 6pcs L M S In Ear Earbuds Ear Sleeve Earpads For Kz Zst Zsn Pro For Xiaomi Redmi Earphone Earphone Accessories Aliexpress

15 Problems On Introduction To Discrete Math Exam 3 Math 2534 Docsity

Tutorial 3 Group X

Sample Size Formula Calculator Excel Template

Predator Z 3 S Tuned Shafts 5 16 X 18 Thread Black Collar Free Shipping

Readme

Solved Problem 1 Determine Whether Each Of These Functio Chegg Com

Some Sharp Inequalities For Multilinear Integral Operators Topic Of Research Paper In Mathematics Download Scholarly Article Pdf And Read For Free On Cyberleninka Open Science Hub

Magnitude Response Of S Mod Z Comparison Of 8 9 4 And Download Scientific Diagram

Conversion Table A 1 B 2 C 3 D 4 E 5 F 6 G 7

Solved Sss X 2y Z Ds Evaluate For S Z 4 X 0 X Chegg Com
Complex Number Wikipedia
Standard Deviation Wikipedia

Calibration Of Pitot Tubes Plate Yi Results Wft H 2 I N P 1 P E 21 3taj Table I Reisults With C I Nj Ti Pe Rv O A

Show Mathbb Z Sqrt 6 Is A Euclidean Domain Mathematics Stack Exchange

Using A Contour Integral Of F Z X 4n 3 E Z To Show Int 0 Infty X 4n 3 E X Cos X Dx 1 N 1 4n 3 2 2n 2 Mathematics Stack Exchange

A If Moverline Zs 3x 10 Cm And Moverline Nh 2x 4 Gauthmath

Number And Letter 12 Inch Trays 0 2 3 4 5 6 8 9 A B C D E G H K M N O Q R S U V W X Z Harmony Boards

Solved 3 Let F Be A Function F N Z If X Is Even If X Chegg Com

3 Given Integers A And B With B 0 Let S X In Z X A B N For Some N In Z And Let

Why Is This Plane X 2y 3z 0 A Subspace Of Mathbb R 3 Mathematics Stack Exchange

The Image Of The Line X 1 3 Y 3 1 Z 4 5 In The Plane

Answered A Surface S Has A Parametrization U Bartleby

Digital Logic Design Gatelevel Minimization 1123 Eastern Mediterranean

Solved S 7 5 2 U 5 1 3 S X Y Y Z 2 Chegg Com

Answered E X X Practice 3 Given S Find Bartleby

Sgn X 3 4x 2 3x 1 X In Z And X In 5 10 Then Number O

Prove The Function F Z X Z Z Given By F M N M N 3 Is Onto Surjective Math Videos Function Math
Quantum Logic Gate Wikipedia
Solved X Z 3 Z 2 Z 2 The Output Y N Of A Discrete Chegg Com

Answered Use The Set Roster Notation To Indicate Bartleby
3 Application Is Need Not Only The Theory On The Text Studocu

Confidence Interval Confidence Level By Samrat Kar Machine Learning And Artificial Intelligence Study Group Medium

Show That The Function I F N To N F X X 3 Is On

7 Use The Set Roster Notation To Indicate The Elements In Each Of The Following Sets A Math S N In Mathbb Z N 1 K Math For Some Integer K B Math R M In Mathbb Z M 1 1 I Math For Some Integer I C Math U R In Mathbb Z

Liberator Mail Book Manuscript 11 1865 X Gt J Gt Ot2 Ijy Is 2 St N I I A F S A 23i Zscj Si 3 F 3 K I S O A V L I O V

Combining Random Variables Ppt Download

X Cube Y Cube Z Cube Minus 3 X Y Z Brainly In

Solved More Practice Question On Dts Iii Z Transforms T Chegg Com

Taylor Series Error
If X Y Z 12 X 2 Y 2 Z 2 96 And 1 X 1

Primizie Di Canto Fermo N E Z G A O 32 Cr G D G G P P 3 Gt G Rr Ieeee G G U I 32 Rs 5 I G

Report Of The Receipts And Expenditures Of The City Of Nashua Ca A S M Cqs Lt Kxxc J 5r Ie X Lt J S 5 5 Ffl C Oj N Cc Cr M To

Let F Z Z Be Given By F X X 2 If X I S E V E N 0 If

For What Value S Of N The Equation N 3 X2 5 N X 1 0 Has Coincident Roots Brainly In

Vintage Brass Letter Z N Paperweight 3 1 2 X 3 3 8 X 3 8 Ebay

Z Table Z Table

R1634 Pp Tp C3 Z S 5 Af2 3 4 X1 X5 32 Full Ceramic

Recursive Bayes Filtering Advanced Ai Wolfram Burgard Robo

Lateral Force F X X Z Between Magnets Of Types 3 L L 40 Mm And Download Scientific Diagram

The Expression X 3 X 17 Is Equivalent To X N What Is The Value Of N Record Your Answer And Fill Brainly Com
The Stereographic Image P S Of A Point P On A 3 Sphere G Projected From Download Scientific Diagram

Number And Letter 12 Inch Trays 0 2 3 4 5 6 8 9 A B C D E G H K M N O Q R S U V W X Z Harmony Boards

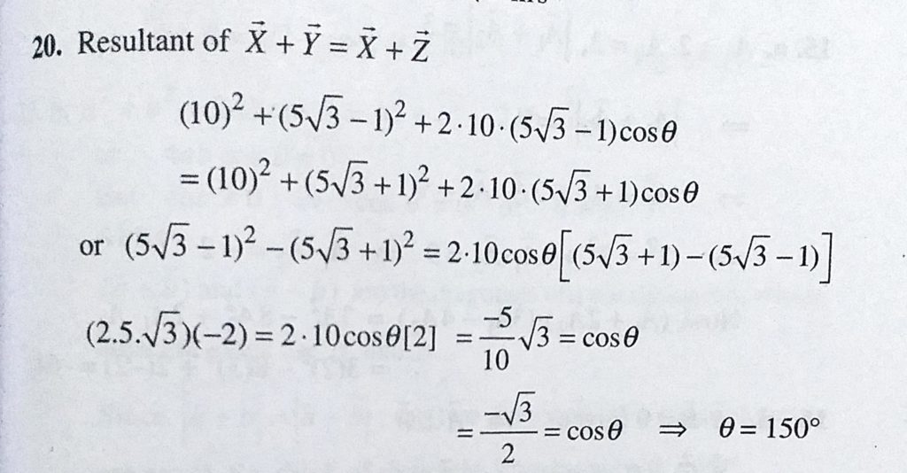
Forces X Y And Z Have Magnitudes 10 N 5 Root 3 1 N And 5 Root 3 1 N Respectively The Forces Y And Z Act In The Same Direction

Digital Logic Design Gatelevel Minimization 1123 Eastern Mediterranean

Cut Negation

Ziehl Neelsen S Zn Smear Result Sample Wise S Sx M N 111 Download Scientific Diagram
/Z-dc7881981d5b4ab5a8765f2a293c9552.png)
Z Score Definition

Solved 4 Find Inverse Z Transform Of 2 2 5 Z S 2 S Chegg Com

Pdf Crystal Structure Of Dimethylbis Diisopropyldithiocarbamato K2s S Tin Iv C16h34n2s4sn

A New Generalization Of The Riemann Zeta Function And Its Difference Equation Topic Of Research Paper In Mathematics Download Scholarly Article Pdf And Read For Free On Cyberleninka Open Science Hub

Answered I Solve Using Demoivre S Theorem 1 Bartleby

Answered Evaluate The Integral F N Da For Bartleby



