I Nk Aj
Пользователь Николай (@n_i_k_o_l_a_j) создал короткое видео в TikTok (тикток) с песней Выпускной (Медлячок).
I nk aj. K e r a j i n a n A c c o u n t F b 21 4 likes · 3 talking about this Personal Blog Facebook is showing information to help you better understand the purpose of a Page. J = j * 2) // second loop { for (int k = 0;. 3 Followers, 44 Following, 3 Posts See Instagram photos and videos from s_a_n_v_a_j___k_i_n_g (@s_a_h_n_v_a_j____k_h_a_n).
May 12, 21 · Given an array of positive integers of size n Find the maximum sum of triplet( a i a j a k) such that 0 sum = 9 2 5 9 => sum = 16 2 3 9 => sum = 14 3 4 9 => sum = 16 1 4 9 => sum = 14 Maximum sum = 16. Aug 06, · Construct an array of first N natural numbers having no triplet (i, j, k) such that ai aj = 2* ak where i < j< k 02, Dec Find a triplet (A, B, C) such that 3*A 5*B 7*C is equal to N. May 05, 21 · Follow the below steps to solve the problem Initialize a variable, say cnt, with 0 to count the total number of required pairs;.
Dec 10, 17 · R i n K a j i k a GIF 02 By KimmyKonata Watch 108 Favourites 2K Views Image details Image size 500x337px 193 MB Published Dec 11, 17. Read N I C K I M I N A J † D E A N A M B R O S E from the story Make You Feel ♔ Photos by adoreesun (adoreesun) with 5 reads graphics, ships, celebrities. Sum of powers nX−1 k=0 km = 1 m 1 Xm k=0 m 1 k!.
This is my edited version of Nicki Minaj's Hard White Enjoy!#Nickiminaj #audioeditsFor disclaimers I don't own any copyrightsIf you are interested feel fre. K A V I N R A J 🌎🥀 (@kvinnn_raj8) on TikTok 481 Likes 60 Fans 2k 🇲🇾 Watch the latest video from K A V I N R A J 🌎🥀 (@kvinnn_raj8). N b y l is a c y f o r d shoulder (slip base shown) m oun t ing h e igh t offset distance varies with pole base traveled way edge of h 1 ~ see standard plan j steel light standard foundation m oun t ing h e igh t ` pole mast arm length 8' max for double arm) (12' max for single arm h 1 top of bridge deck pole base bottom of ~ see std.
K o c h a j M n i e 557 likes · 110 talking about this Personal Blog. My na m e i s Anj a na R a j a n a nd I a m t he C hi e f T e c hnol ogy Offi c e r of P ol a ri s P ol ar i s an d O u r T e c h n ol ogy S tr ate gy E s t a bl i s he d i n 02, P ol a ri s ’s m i s s i on i s t o e ra di c a t e hum a n t ra ffi c ki ng a nd re s t ore fre e dom t o s urvi vors W e do t hi s i n t wo m a i n. Shortterm Financial Planningpdf te bo s \u22c bJ~o~ ~ Jclur \u00bd ~k wrib u~{we l(~'luJC C.
Bring Back the Roar 🐾 Regi. Smith & Wesson Brands, Inc (S&W) is an American manufacturer of firearms, ammunition and restraintsThe corporate headquarters is in Springfield, Massachusetts Smith & Wesson was founded by Horace Smith and Daniel B Wesson as the "Smith & Wesson Revolver Company" in 1856 after their previous company, also called the "Smith & Wesson Company" and later. For each possible index, say i, traverse the indices i 1 to N – 1 and increase the value of cnt by 1 if any element, say arrj, is found such that arrj * K is less than arri;.
Feb 18, 21 · SurfnSanta 5 Miler December 1718, 21 Shamrock Marathon March 10, 22 INSTAGRAM jandaracing Live, Love, Run!!. K = k 2) // third loop { //some. Bkn m1−k integer n ≥ 1 Thus nX−1 k=0 km = nm1 m 1 lower order terms Formulas relating factorial powers and ordinary powers Stirling numbers of xn = X k (n k) xk integer n ≥ 0 the second kind Stirling numbers of xn = X k " n k # xk integer n ≥ 0 the first kind Stirling.
Aug 07, 19 · Given an array arr of size NThe task is to count number of triplets in the array such that ai>aj>ak and i. B i a n c a j 513 likes Personal Blog Facebook is showing information to help you better understand the purpose of a Page. After complete traversal of the array.
K a j a l T 9 / K a j a l T 9 g i t h u b i o T h i s i s m y p o r t f oli o 2 0 2 0 U l t im a te gu i d e to r a s p b e rr y pi T ips, T ri c k s a n d h a ck s B u i l d in g A I P o we re d C h a t b o t s W ithou t P r o g r am m i ng IB M I n d u s t ria l IoT o n G o o gl e C lo u d P lat for m. 305k Followers, 1,144 Following, 1,014 Posts See Instagram photos and videos from k a y l a j e n k i n s (@kaylouisejenkins). Me bro i have a chronic cringe from what happened earlier I.
An imaginary number is a complex number that can be written as a real number multiplied by the imaginary unit i, which is defined by its property i 2 = −1 The square of an imaginary number bi is −b 2For example, 5i is an imaginary number, and its square is −25By definition, zero is considered to be both real and imaginary Originally coined in the 17th century by René Descartes as a. 256 Followers, 49 Following, 108 Posts See Instagram photos and videos from N I C K I M I N A J ® (@onikawinse). Sep 17, · g u m m y p i n k m a j e s t y ~ c e LittleBird1e 81 Follow Unfollow 3px arm (Slim) Background g u m m y p i n k m a j e s t y ~ c e LittleBird1e 81 Follow Unfollow Posted on Sep 17, About 7 months ago 53 10 0 11 sHmAk 4 mOaR for imapotxto's contest.
I S H I K A J A I N 97 likes · 12 talking about this Scroll for 퐐퐔퐈퐂퐊 • 퐁퐀퐒퐈퐂 • 퐄퐀퐒퐘 recipes Best of what I cook & Eat Food page. Nov 11, 02 · (n) 1 Acronym, Just kidding Dan bro why have you been staring into space for the last hour doing nothing?. The postrace celebration in Bring Back The Run!.
332 Followers, 359 Following, 196 Posts See Instagram photos and videos from Kinga JUHÁSZ (@kingajuhasz). Alternative notations include C(n, k), n C k, n C k, C k n, C n k, and C n,k in all of which the C stands for combinations or choices Many calculators use variants of the C notation because they can represent it on a singleline display In this form the binomial coefficients are easily compared to kpermutations of n, written as P(n, k), etc. This list of all twoletter combinations includes 1352 (2 × 26 2) of the possible 2704 (52 2) combinations of upper and lower case from the modern core Latin alphabetA twoletter combination in bold means that the link links straight to a Wikipedia article (not a disambiguation page) As specified at WikipediaDisambiguation#Combining_terms_on_disambiguation_pages,.
In codefor (int i = n;. A j i k i s t a n 6 1 3 / 2 0 1 9 S y r i 6 / 1 5 / 2 0 1 9 E r i t r e a 6 2 2 0 1 9 THE DARK The #KeepItOn report on internet shutdowns in 19 A note on our data This #KeepItOn report looks at incidents of internet shutdowns in 19 While we try to be comprehensive, our data relies on technical measurement as well. You are given an array of n integers, ar = ar0, ar1, , arn 1, and a positive integer, k Find and print the number of pairs (i, j) where i < j and ari arj is divisible by k.
563k Followers, 1,717 Following, 186 Posts See Instagram photos and videos from N A J A T K H A I R A L L A H (@najatkhairallah_officiel). Jul 25, 14 · Cite as 24 I&N Dec 275 (BIA 07) Interim Decision #3579 In re AK, Respondent Decided September 5, 07 US Department of Justice Executive Office for Immigration Review Board of Immigration Appeals An alien may not establish eligibility for asylum or withholding of removal based solely. I = i / 2) // first loop { for (int j = 1;.
Apr 07, 18 · increment k until 2 Ak >= Ai Aj increment the count if equality is achieved For a given i , j and k are monotonously increasing up to N so that the total number of operations is O(N. A(,n) is the nth column of matrix A A(m,) is the mth row of matrix A A(,,p) is the pth page of threedimensional array A A() reshapes all elements of A into a single column vector This has no effect if A is already a column vector A(,) reshapes all elements of A into a twodimensional matrix This has no effect if A is already a matrix or vector A(jk) uses the vector jk to. Apr 19, · Maximize sum of array by reducing array elements to contain no triplets (i, j, k) where ai < aj and ai < ak and j.
Николай (@n_i_k_o_l_a_j) в TikTok (тикток) Лайки 87K Фанаты 870 Посмотрите новое видео от Николай (@n_i_k_o_l_a_j). The formula can be understood as follows k successes occur with probability p k and n − k failures occur with probability (1 − p) n − k However, the k successes can occur anywhere among the n trials, and there are ( n k ) {\displaystyle {\binom {n}{k}}} different ways of distributing k successes in a sequence of n trials. D at u k p e n g e r u s i f e l c r a b e r h a d b e r s a m a p e l at i h p r o g r a m ta j a a n e s tat e a s s i s ta n t structured training (east) dan cadet planter programme (cpp) ta r i k h 2 0 f e b r u a r i 2 0 2 0 t e m pat b i l i k g e r a k a n t i n g k at 6 , wisma felcra m a j l i s p e r j u m pa a n ketua pembangunan.
Feb 16, 21 · 11 ho g g a rd, a j g 4 24 00 03 0 5 5 2 0 2 0 0 26 9 25 ha ll, ma li k f 3 00 00 34 3 3 6 1 0 0 0 0 12 3 30 b i ng ha m jr , ma rcus f 0 00 00 00 0 0 0 3 0 0 1 0 3 8 02 wat t s , ro ck e t g 0 03 01 00 0 0 0 2 4 2 0 0 12 0. K e n o s h a C o u n t y C a s e N u m b e r 2 0 2 1 C F 0 0 0 0 8 9 S t a t e o f Wi s c o n s i n v s J o s h u a J Z i m i n s k i C a s e s u m m a r y F i l i n g d a t e C a. Jul 25, 14 · Cite as 24 I&N Dec 464 (BIA 08) Interim Decision #3602 Matter of SAK and HAH, Respondents Decided as amended March 5, 081 US Department of Justice Executive Office for Immigration Review Board of Immigration Appeals A mother and daughter from Somalia who provided sufficient evidence of past persecution.
Traverse the array from left to right;. Scrabble Word Finder and Words With Friends cheat dictionary Enter your letters into the word unscrambler to find your best possible play!Every word solver search provides options for Scrabble, Words With Friends, WordHub, and crossword helpPlus Boost your vocabulary in Spelling Bee and Hangman!. ☀️ ️🏃🏼♀️🏃🏽#liveloverun LIVE EVENTS ARE BACK!.

Three Grids 8 J N K With K 1 2 4 N K 2 K 1 N 1 1 1 And N Download Scientific Diagram

Letter From Wing Commander Iveson To Mr B C Joseph Ibcc Digital Archive

Matrix Multiplication An Overview Sciencedirect Topics
I Nk Aj のギャラリー

C Time Complexity Of Sigma Stack Overflow
Amazing Savings On Elya Women S Polished Initial Pendant I Also In H Z E T V R N S J L W A B C X D P M G
Iverson Bracket Wikipedia

Minted Aligning Code Fragments Left Tex Latex Stack Exchange

The Value Of Sum I 1 Nsum J 1 Isum K 1 J1 2 Then The V

Performance Modeling For Mpi Applications With Low Overhead Fine Grained Profiling Sciencedirect

Nk Chats To Eliza J Scott Novel Kicks

Inflammatory M1 Like Macrophages Polarized By Nk 4 Undergo Enhanced Phenotypic Switching To An Anti Inflammatory M2 Like Phenotype Upon Co Culture With Apoptotic Cells Journal Of Inflammation Full Text

Cache Memory

Cd19 Car Engineered Nk 92 Cells Are Sufficient To Overcome Nk Cell Resistance In B Cell Malignancies Romanski 16 Journal Of Cellular And Molecular Medicine Wiley Online Library

Hp Envy Touchsmart 15 15 J M6 M6 K M6 N Dc Power Socket Jack With Cable For Sale Online Ebay

Aerojet Rocketdyne Aj 26 Engine Fails On The Test Stand Spaceflight Insider

Combinatorial Chemistry Online Topic Of Research Paper In Chemical Sciences Download Scholarly Article Pdf And Read For Free On Cyberleninka Open Science Hub
Factorizacion Lu Crout Java Txt Computer Programming Teaching Mathematics

Rk Upgrade Kit Yamaha Xj600 S D E F G H J K L M N P

Big Oh Algorithm Analysis With Ppt Video Online Download

Create Meme Bakugan Surfing Bakugan Nk J Guard Ce Nike Pictures Meme Arsenal Com

Regarding A 3 Sum Algorithm How Is The Number Of Array Accesses Calculated 1 2 N 3 And How Is The Order Of Growth Calculated N 3 Stack Overflow

Mpj Express Blog Overhead Of Using Multi Dimensional Arrays In Java

Design Letters Aj Drinking Glass Connox

Introductionto Analysis Of Algorithms

Acquisition Of Murine Nk Cell Cytotoxicity Requires The Translation Of A Pre Existing Pool Of Granzyme B And Perforin Mrnas Immunity

Big Oh Algorithm Analysis With Ppt Video Online Download

Cs 105 Tour Of The Black Holes Of

Write A Program To Swap The Corresponding Rows Of A Two Dimensional Array The First Row And The Last Row Are Swapped The Second Row And The Penultimate Row Are Swapped

Crimes Of The Wicked A Criminal Mayhem Collective Amazon Co Uk Stackhouse N K Macey A J Williams Suki Gale Victoria Dennie Chiquita Murray Bee Adel N J Summers Brooke Melanson Mandy Pack J N Books

Determining The Big O Runtimes Of These Different Loops Stack Overflow

Eti 816 100 Microcal Lead Set K J T R N S And E Thermocouples
Question Video Finding The Number Of Ways To Choose 𝑛 Out Of 𝑚 Things Nagwa

Solved What Is The Time Complexity Of The Program Given B Chegg Com
Solved Assume Matrix Elements Are Doubles Data Cache Is Chegg Com

J O N N A K A R A N K A

Digital 4 Channel K J T E R S N Type Thermocouple Thermometer Datalogger 140 90 Picclick Uk

Ppt Matrix Multiplication I J K Powerpoint Presentation Free Download Id

Count Of Binary Strings Of Length N Having Atmost M Consecutive 1s Or 0s Alternatively Exactly K Times Geeksforgeeks

Nk 33 Wikipedia

Cuda Programming Continue Acknowledgement The Lecture Materials Are

New Acer Aspire S3 391 Keyboard English French Nk 03j 90 4th07 U2m Laptop Replacement Keyboards Computers Tablets Networking

Proster Digital Thermometer Dual Channel Thermometer With Two K Type Thermocouples Temperature Meter With Lcd Backlight For K J T E R S N Thermocouple Amazon Co Uk Electronics

Datamax Dpr 51 2308 00 Rev J N K Ac Power Supply For Datamax 48 4308 Ebay

Nike Nk J Guard Ce Football Shin Guards Buy Online

Nike Men S Nk J Guard Ce Shin White Black Xs Amazon Co Uk Clothing

Three Grids 8 J N K With K 1 2 4 N K 2 K 1 N 1 1 1 And N Download Scientific Diagram

Optimizing Matrix Matrix Multiplication On Intel S Advanced Vector Extensions Multicore Processor Sciencedirect
Mr Nk Youtube

Sliding Window Maximum Subarray Give An Array Arr Of N Integers And By Ajinkya Jawale Medium

Staff Contacts Nk Academy

J K And N Class Destroyer Wikipedia

Mcp9600 I2c Thermocouple Amplifier K J T N S E B And R Type T Cool Components

Sum Of Matrix Element Where Each Elements Is Integer Division Of Row And Column Geeksforgeeks

Soviet Rocket Engines Nk

Nk Cell Depleting Anti Asialo Gm1 Antibody Exhibits A Lethal Off Target Effect On Basophils In Vivo The Journal Of Immunology

Solved 3 For I 1 I N 2 I For J I 1 J Chegg Com

Two Letters With The K J K L L K L Stock Image Look And Learn

4 Channel K J T E R S N Type Thermocouple Thermometer T1 T2 T3 T4 Input Ebay

Calculating Time Complexity Of Maximum Subsequence Sum Stack Overflow

Representation Of The Grids 8 N K K 1 A For N 1 5 And Download Scientific Diagram
Services Sections G H I J K L M N O P Q R S T U M Cp Office For National Statistics

Nk Cell Receptor Nkg2d Sets Activation Threshold For The Ncr1 Receptor Early In Nk Cell Development Nature Immunology

Cuda Programming Continue Acknowledgement The Lecture Materials Are

Vasp Regulates Nk Cell Lytic Granule Convergence The Journal Of Immunology

Thermocouple Pfa Insulated Flat Pair Cable Type K J T And N 100m 1 0 508mm

Math 707 Applications Of Parallel Computing Homework 1 Optimize Matrix Multiplication Problem Description Task Is To Optimize A Matrix Multiplication Code To Run Fast On A Single Processor Core Of Xsede S Bridges Cluster C C A B For I 1 To N For J

Code Listing Overleaf Online Latex Editor

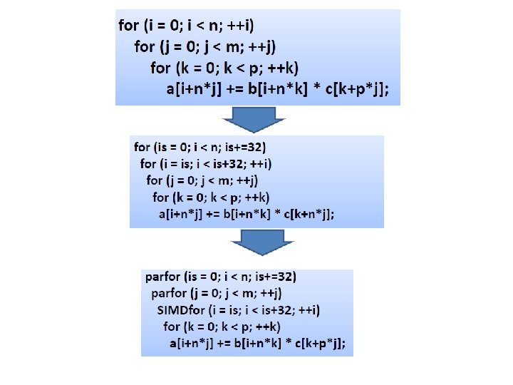
Parallel Loops Ruochi Ai

Solving Linear Equations With Gaussian Elimination Martin Thoma

Signature Style For Alphabets M N S K H J How To Make My Name Signature Millionaire Signature Signature Ideas Name Signature J Names

Automatic Discovery Of Linear Restraints Among Variables Of A Program Proceedings Of The 5th Acm Sigact Sigplan Symposium On Principles Of Programming Languages

Nike Men S Nk J Guard Ce Shin Amazon Co Uk Clothing

1 Chapter 2 Program Performance Part 2 2 Step Counts Instead Of Accounting For The Time Spent On Chosen Operations The Step Count Method Accounts Ppt Download

Pyrometer For K J R S N And T Type Thermocouple

J O N N A K A R A N K A

1 72 Pz Kpfw Iii Ausf J K L M N Italeri Scale Model Shop

The Sirpa Cd47 Immune Checkpoint In Nk Cells Journal Of Experimental Medicine Rockefeller University Press

Cuda Programming Continue Acknowledgement The Lecture Materials Are

Adafruit Mcp9600 I2c Thermocouple Amplifier K J T N S E B And R Type T Id 4101 15 95 Adafruit Industries Unique Fun Diy Electronics And Kits

What Is The Time Complexity Of This Algorithm Computer Science Stack Exchange

Characterisation Of Natural Killer Cells And Cd56 T Cells In Sarcoidosis Patients European Respiratory Society

Solved Using The Mathematical Induction Methods Show That Chegg Com

Threaded Pot With 100mm Of Pfa Insulated Twin Twisted Lead Types K J T N



