N 3 Nca
· Government Customs Records Notifications available for Velas 3 N Ca Follow future shipping activity from Velas 3 N Ca.
N 3 nca. N C A, National Coaching academy, Mardan 2,6 likes · 6 talking about this · 34 were here To improve the quality of learning among layman under the Jump to. Dit is een doorverwijspagina, bedoeld om de verschillen in betekenis of gebruik van N3 inzichtelijk te maken Op deze pagina staat een uitleg van de verschillende betekenissen van N3 en verwijzingen daarnaartoe Bent u hier via een pagina in Wikipedia terechtgekomen?. Solution for an=n3 equation Simplifying an = n 3 Reorder the terms an = 3 n Solving an = 3 n Solving for variable 'a' Move all terms containing a to the left, all other terms to the right Divide each side by 'n' a = 3n1 1 Simplifying a = 3n1 1 Reorder the terms a = 1 3n1.
CMR với mọi số nguyên dương n ta luôn có BĐT sau(bằng PP quy nạp) \(\dfrac{a^nb^n}{2}\ge\left(\dfrac{ab}{2}\right)^n\) Theo dõi Vi phạm YOMEDIA Toán 11 Chương 3 Bài 1 Trắc nghiệm Toán 11 Chương 3 Bài 1 Giải bài tập Toán 11 Chương 3 Bài 1 Trả lời (1) Đề bắt. Watch, follow, and discover the latest content from メSANC六K (@3_s_a_n_c_a_k_3). · Three NC A&T Online Degree Programs Highly Ranked By Intelligentcom EAST GREENSBORO, NC (Dec 18, 19) – North Carolina Agricultural and Technical State University has the nation’s best Master of Science in Information Technology program offered by a historically black college or university, according to Intelligentcom.
523 Followers, 662 Following, 28 Posts See Instagram photos and videos from Adishchandra (@c_h_a_n_d_r_a_2_1_3). Welkom bij Carmen, een venster op de geschiedenis en collecties van de Munt van gisteren, vandaag en morgenJe vindt hier informatie over de voorstellingen van de Munt, verrijkt met een selectie documenten en objecten uit ons unieke patrimonium. Created Date 6/11/18 1154 AM.
Check out メSANC六K (@3_s_a_n_c_a_k_3) LIVE videos on TikTok!. Please subscribe) https//googl/JQ8NysSet Theory Proof with Cartesian Product of Sets and Intersection A x (B n C) = (A x B) n (A x C) BRoll Islandesque. Created Date 11/11/ PM.
3 n c c c < c 00 c c o 3 o 3 o c 3 c c o c c o õ o o o c Title Transmath_5_proportionnalité_exop91 Author Administrateur Created Date 10/29/17 AM. F u n c t i o n G r a p h s C o m b i n e d T r a n s f o r m a t i o n s A n s w e r s 1 1 shifts vertically?. N = 6k (k thuộc Z)=> n ⋮ 3 => (n 9) và (n 3) đều ⋮ 3 => không tối giản Vậy n = 6k 2 hoặc 6k 4 (k thuộc Z) thì A tối giản Toán lớp 1 Toán lớp 2 Toán lớp 3 Toán lớp 4 Toán lớp 5 Toán lớp 6 Toán lớp 7 Toán lớp 8 Toán lớp 9.
3 No n p a ri sh i o n e rs wi t h ch i l d re n i n sch o o l 4 No n p a ri sh i o n e rs wi t h o u t ch i l d re n i n sch o o l A l l f a mi l i e s e n d i n g t h e 2 0 2 0 2 0 2 1 sch o o l ye a r (b y Ju l y 1 st ) wi t h a n u n p a i d b. 0707 · nc A&T will receive $650,000 per year through the HRSA funding through an effort led by Lenora Campbell, PhD, dean of the College of Health and Human Sciences The money comes from HRSA’s Scholarships for Disadvantaged Students program, which is designed to increase the number, ethnic diversity and distribution of nurses to remediate the state of North. M e l a n c o l i c a 465 likes · 4 talking about this Rolitas indie , memes sad and happy y artes uwu.
Fa x ( 7 1 2 ) 2 9 7 7 5 3 0 E m a i l b r i l e y @ c a l h o u n c o u n t y i o w a c o m w w w c a l h o u n c o u n t y i o w a c o m / p h. Search the world's information, including webpages, images, videos and more Google has many special features to help you find exactly what you're looking for. 93 Followers, 245 Following, 0 Posts See Instagram photos and videos from Gracen Gracen (@g_r_a_c_e_n_2_0_0_3).
Corralon y ferretería venta de material para la construcción y todo para su techo x mensaj de whatssap al. Pages Other Community L O S Q U E V I V E N E N C Ù A. 3 Post a photo of the pancakes with the recipe OR create a video of you making and eating them Choice #2 Do these eight activities and create a post that tells about what you did for each P = PHOTOGRAPH something unique in your home A = ASK for help with learning from your teachers, family, and friends N = NEGOTIATE with your parents.
972 Followers, 164 Following, 75 Posts See Instagram photos and videos from #Mr_Chauhan (@mr_c_h_a_u_h_a_n_1_4_3). Welcome to H&M, your shopping destination for fashion online We offer fashion and quality at the best price in a more sustainable way. There are 2 methods that you can employ to solve this One method is to solve the cubic equation n ( n − 1) ( n − 2) 6 = 35 or n 3 − 3 n 2 2 n − 210 = 0 Usually, finding the first root of a cubic equation is a trial and error process The other method is to use trial and error on the combination formula directly.
Pas dan de verwijzing naar deze doorverwijspagina aan, zodat toekomstige bezoekers direct op de juiste. Millions of workers have been impacted by the COVID19 pandemic—but opportunities await HelpOneBillion was created for recently laidoff and furloughed job seekers, connecting them to a curated network of over 500,000 jobs from 100 companies hiring immediately By uniting people with determined employers who are tackling this crisis headon, we all take one step closer. 2 reflects the graph of across the xaxis 3 is a reflection of the parent about the xaxis then shifted down;.
· Taxes, Chauvin Trial, NCAA Your Monday Evening Briefing Here’s what you need to know at the end of the day By Victoria Shannon April 5, 21 Good evening Here’s the latest. CID CICIClClCIClCûCJDCl 000 0000< 0000 000 / 3 Q CICI CIA C C n C C C C C CID C) ooö 000 000 (O ODO ODO 000 0 0 00 0 0 o oo o o o o o o o O O o D c g 11 o co g @ a ã c Subject DPI 300,300,PCM_24BIT. About Press Copyright Contact us Creators Advertise Developers Terms Privacy Policy & Safety How YouTube works Test new features Press Copyright Contact us Creators.
65 Followers, 1 Following, 117 Posts See Instagram photos and videos from @1_citation_3. Millions of workers have been impacted by the COVID19 pandemic—but opportunities await HelpOneBillion was created for recently laidoff and furloughed job seekers, connecting them to a curated network of over 500,000 jobs from 100 companies hiring immediately By uniting people with determined employers who are tackling this crisis headon, we all take one step closer. A) Đặt S n = n 3 3n 2 5n Với n = 1 thì S 1 = 9 chia hết cho 3 Giả sử với n = k ≥ 1, ta có S k = (k 3 3k 2 5k) 3 Ta phải chứng minh rằng S k1 3 Thật vậy S k1 = (k 1) 3 3(k 1) 2 5(k 1) = k 3 3k 2 3k 1 3k 2 6k 3 5k 5 = k 3 3k 2 5k 3k 2 9k 9 hay S k1 = S k 3(k 2 3k 3) Theo giả thiết quy nạp thì S k 3.
· Waardering over Gerritsen, NCA, Ziekenhuis Albert Schweitzer ziekenhuis, locatie Dordwijk Dordrecht op 21 maart 17 Deze waardering is ouder dan vier jaar en telt niet meer mee voor het gemiddelde cijfer van de zorgaanbieder. Created Date 10/27/19 PM. 336 Followers, 118 Following, 18 Posts See Instagram photos and videos from papa ki ladly (@c_u_t_e_r_a_n_i_0_3).

The Radiation Emitted When An Electron Jumps From N 3 To N 2 Orbit In A Hydrogen Atom Falls On A Metal To Produce Photoelectrons The Electrons From The Metal

Bimetal Catalyzed Cascade Reaction For Efficient Synthesis Of N Isopropenyl 1 2 3 Triazoles Via In Situ Generated 2 Azidopropenes Liu 19 Chemistry 11 An Asian Journal Wiley Online Library

If N Is Any Positive Integer 3 4n 4 3n Is Always Divisible By 7 B 12 C 17 D 145 Youtube
N 3 Nca のギャラリー

Solved Match Each Of The Following With The Correct State Chegg Com

Dietary N 3 Long Chain Polyunsaturated Fatty Acids Upregulate Energy Dissipating Metabolic Pathways Conveying Anti Obesogenic Effects In Mice Nutrition Metabolism Full Text

Therapeutic Anti Glioma Effect Of The Combined Action Of Pcsk Inhibitor With The Anti Tumoral Factors Secreted By Poly I C Stimulated Macrophages Cancer Gene Therapy

Ncert Solutions For Class 7 Maths Chapter 4 Simple Equations Cbse Tuts Ncertsolutionsforclass7mathschapter4 Math Equations Solutions
Prove That I C 1 2c 2 3c 3 Nc N N 2 N 1 I

Lim N Oo 1 2 2 2 3 2 N 2 N 3 Is Equal To A 1 B C 1

I F

Ex 4 2 3 Solve A 3n 2 46 B 5m 7 17 C p 3 40

Miss Induction Sequences And Series J J O Connor Mt 10 Pdf Free Download

Answered E A 3 The Inverse Z Transform Of A Bartleby

vg Apmlslc Page 14 15 Created With Publitas Com

C 0 C 1 C 1 C 2 C 2 C 3 C N 1 C N C 0 C

Photoreactivity Of Monofluorinated 2 Azidobenzimidazoles Towards Carboxylic Acids

Solved 3 Use Pmi To Prove For Every Natural Number N N Chegg Com

Vector Bundles On Rational Homogeneous Spaces Springerlink

Effects Of 3 7a Deletion And Sickle Cell Trait On Ventila Jbm
How To Expand 1 X 3 In Series Quora
What Is The Sum Of The First N In Terms Of The Ap When The Pth Term Of An Ap Is 3p 1 6 Quora

Control Series Bulletin S D O C Lt 3 4j T3 5 O D J Cnojoi Dtn J S Lu En Ti Oh

Solved Prove Each Of The Following Statements Using Induc Chegg Com

Chemical Equilibrium Reversible Reactions Dynamic Chemical Systems Dr

General Chemistry Chem 110 Revision Chapter 9 Identify

Polymers Free Full Text Plasma Mediated Chlorhexidine Immobilization Onto Polylactic Acid Surface Via Carbodiimide Chemistry Antibacterial And Cytocompatibility Assessment Html

Synthetic Heme Protein Models That Function In Aqueous Solution Chemical Communications Rsc Publishing Doi 10 1039 D0cck

Schematic Diagram Of Chymosin Immobilization Onto The Carbon Cloth Download Scientific Diagram

Arh N Arhvn Twitter

Answered And N 2n 1 N 1 3 5 13 The Bartleby

Solved Prove Each Of The Following Using Proof By Inducti Chegg Com

Prove Each Of The Assertions Below A Any Prime Of The Form Math 3 N 1 Math Is Also Of The Form Math 6 M 1 Math B Each Integer Of The Form Math 3 N 2 Math Has A

Ortep Diagram Of Complex Cu Ii 2 I 2 K 3 N N S L 1 Ph K 4 Download Scientific Diagram
Bessel Clifford Function Wikipedia
Limninfty Dfrac3n 543n 5 Limn See How To Solve It At Qanda

Openbaar Besluit 3 Na 3 B 18 N Co A O Ons Kenmerk 68 1 510 Datum 3 Februari O W 4 N N 0 Is 1 C O N C 9 Pdf Gratis Download
Solved Determine Whether The Series Converge Or Diverge Chegg Com

Performance Analysis Of Divide And Conquer Algorithms For

Alphabet Activity For Beginners

1 Ifm 2 N 3 P 4 Q 0 R 7 And S 10 Thenthe Expression3m 2n 4p 3n 2p 3m Q P9 R 9 Mhas The Brainly In

Family And Social Life Intermediate Esl Worksheet By Zovopo
If C 2n 3 C N 2 12 1 Find N Sarthaks Econnect Largest Online Education Community

A Xps Survey Spectra Of I C3n4 Ii C 3 N 4 Rgo And Iii Ruac 3 Download Scientific Diagram

Solved 16 Determine The Radius Of Convergence Of The Ser Chegg Com

Importformaten Versie Pdf Free Download

The Homotopy Category Of N N Complexes Is A Homotopy Category Springerlink

Sacramentos C Worksheet

Exploring The Ingenuity Of Function Recursion In C Language Taking The Fibonacci Sequence As An Example Programmer Sought

Meis2 Sequence Variant In A Child With Intellectual Disability And Cardiac Defects Expansion Of The Phenotypic Spectrum And Documentation Of Low Level Mosaicism In An Unaffected Parent Su American Journal

Foods Free Full Text New Approach Studying Interactions Regarding Trade Off Between Beef Performances And Meat Qualities Html

Solved The Series Sigma Infinity N 1 N K R N Converge Chegg Com

C Exercises Get The Kth Permutation Sequence From Two Given Integers N And K W3resource

New Page Appears Indented Moved To The Right Tex Latex Stack Exchange

Solved Find The Maclaurin Series For The Function F X Chegg Com

Quark Coalescence And Hadron Statistics T S Bir
Big O Notation Wikipedia

vg Apennte Page 12 13 Created With Publitas Com
Expand And Find The Sum Of Ea See How To Solve It At Qanda

Solved Test The Series For Convergence Or Divergence Sigm Chegg Com

Retracing The Evolutionary Emergence Of Thymopoiesis Science Advances

Unphysical Critical Curves Of Binary Mixtures Predicted With Gerg Models Springerlink

Use Visual Replace Regexp Lisp Functions To Do Complicated Text Manipulation 5x Faster And More Reliably Emacs

Java Vs C App Performance Gary Explains Android Authority

Nested Folder Deletion With Vb Net Microsoft Q A

Multiply 2n 3 N 4 2n 8n 3n N 11n Ppt Video Online Download

The Value Of Lim N Oo 1 2 3 N N 2 N 2 Is A 1 B 1

Calculus Find The Radius Of Convergence For 3n Online Presentation

Solved Write The First Three Terms Of Sigma Infinity N 2 Chegg Com

If Lim Xvecoo N 3 N N X 2 N N 3 N 1 3 N 1 3 T H E Nt

Arp T1 Is A Ciliogenesis Protein Associated With A Novel Ciliopathy In Inherited Basal Cell Cancer Bazex Dupre Christol Syndrome Biorxiv
Prove That 3 R 1 3nc2r 1 0 For R 1 K Where K 3n 2 And N Is An Even Positive Integer Sarthaks Econnect Largest Online Education Community

Measurement Of The Neutron Charge Radius And The Role Of Its Constituents Nature Communications
Doc Nd Test Questions Derekhym Iggsy Academia Edu
Solido 1 43 Lot De 3 Ford Mk Iv De 1967 N 1 N 2 Catawiki

C Exercises Get The Maximum Product From A Given Integer After Breaking The Integer Into The Sum Of At Least Two Positive Integers W3resource

Prove That I C 1 2c 2 3c 3 Nc N N 2 N 1 I

Lim N Oo N N 1 N Is Equal To A 1 B 0 C 2 D

Pilz Pnoz S22 C 24vdc 2 X 3 N O 1 N C User Manual Page 8 12 Original Mode Also For Pnoz S22 24vdc 2 X 3 N O 1 N C

Nu Beschikbaar Kijkdozen 19 Steunpunt Passend Onderwijs

Ex 7 4 Fsc Part1

Faq Table Input Tricks And Tips

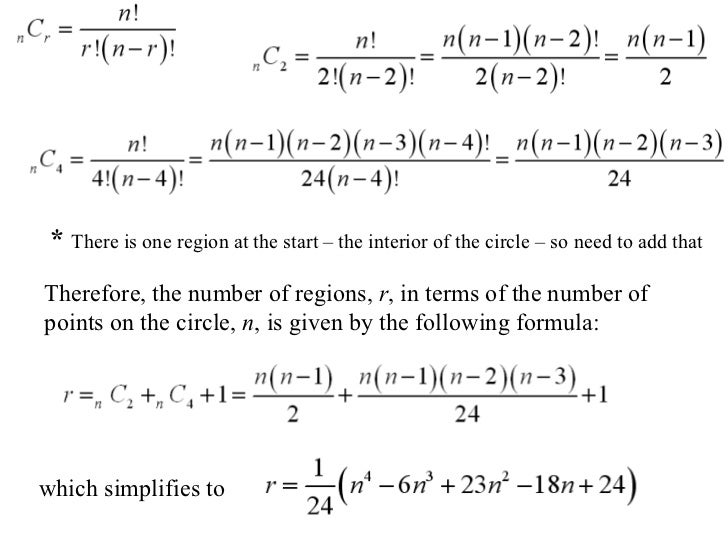
Points Regions Proof2

Cognisys Sabre Canon N 3 Pin

Aromatic Heterocycle Galectin 1 Interactions For Selective Single Digit Nm Affinity Ligands Rsc Advances Rsc Publishing Doi 10 1039 C8ra043b
Plos Genetics Modular Function Of Long Noncoding Rna Coldair In The Vernalization Response

Biology Free Full Text Dietary Supplementation With Omega 6 Lc Pufa Rich Microalgae Regulates Mucosal Immune Response And Promotes Microbial Diversity In The Zebrafish Gut Html

Stoichiometry Word Problems 1 Student Name Pd Date Stoichiometry Word Problems 1 1 The Emergency Airbags In Modern Automobiles Use A Rapid Chemical Course Hero

Maternal Gut Microbes Shape The Early Life Assembly Of Gut Microbiota In Passerine Chicks Via Nests Microbiome Full Text



