Ci Tbc
Matrix additionIf A and B are matrices of the same size, then they can be added(This is similar to the restriction on adding vectors, namely, only vectors from the same space R n can be added;.
Ci tbc. L’emmudiment de les lletres d i t finals Excepte en valencià i balear, les lletres d i t no es pronuncien a final de paraula en els grups –nd, –nt o –lt. Homework Assignment #3 Problem One (164) Suppose that A={2, 4, 6}, B={2, 6}, C={4, 6}, and D={4, 6, 8} Determine whi h of these sets are subsets of whi h other of. A word square is a special type of acrosticIt consists of a set of words written out in a square grid, such that the same words can be read both horizontally and vertically The number of words, which is equal to the number of letters in each word, is known as the "order" of the square.
Estude Circuitos RLC mais rápido Guia com resumos, provas antigas e exercícios resolvidos passo a passo, focados na prova da sua faculdade. The IndoTibetan Buddhist Cultural Institute (ITBCI) School was established in 1954 by the Late Dhardo Rimpoche to provide a basic education for the children of some of the poorest Tibetan families It was the first school of it's kind to be set up in India making it the oldest Tibetan refugee school in existence Our regular teachers and staff work for miniscule salaries alongwith. S A X H V L I K G S W B X L U P Z N P M U V B C I M F F E Z E J O T T K Y D G D Q R C A J R © Super Simple Learning 14 Get more games at wwwsupersimplelearningcom.
En la criptografía el cifrado de Trithemius (o cifrado de Tritemio) es un método de codificación polialfabético inventado por Johannes Trithemius (Juan Tritemio) durante el Renacimiento 1 Este método utiliza la tabula recta, un diagrama cuadrado de alfabetos donde cada fila se construye desplazando la anterior un espacio hacia la izquierda. Scrabble Cheat The biggest challenge of playing Scrabble is forming Scrabble words out of seven letters while making sure that it’s well connected with all the letters laid out on the board Even longtime Scrabble players will find a hard time figuring something out at one point or another. Find military abbreviations, RAF Abbreviations, British Army abbreviations, Royal Navy abbreviations, Royal Air Force and Management Of Defence abbreviations.
Many mutual funds offer different classes of shares denoted by alphabetical names A shares and B shares are the most common for individual investors The different classes have different sales load and commission structures. C i n e s R u e d e s Im pa s s e B ul e Ru du Co rm ier d e s R u e d e la B a rb a n e Ru e a y mo n d F o nt e m oi n g Co lo m b e s R u e R o B o n h e u r R u e de la B o r d e t t e C h e m i n d e C a r e y r e (V C n 1 1 8) V e n a y r e RueL acaze P l ac edu Maréch l D L a tr eTassig e n y Pl a c ed M a r t y de l sRé i s t n c e R. The square of the sum of three or more terms can be determined by the formula of the determination of the square of sum of two terms.
Five letter words could be VITAL to your success While it’s true that 7 letter words can land you a bingo bonus and short words allow for parallel play, words with 5 letters can be at the HEART of your winning strategy. Scalar or pseudoscalar Although the scalar triple product gives the volume of the parallelepiped, it is the signed volume, the sign depending on the orientation of the frame or the. T B C I Concrete Structures in Granada Hills, reviews by real people Yelp is a fun and easy way to find, recommend and talk about what’s great and not so great in Granada Hills and beyond.
Class I_P_List< T, B, C, I > Intrusive parameterized list Unlike I_List does not require its elements to be descendant of ilink class and therefore allows them to participate in several such lists simultaneously Unlike List is doublylinked list and thus supports efficient deletion of element without iterator. · conjunto ejerciciosyteoria 1 universidad tÉcnica de machala calidad, pertinencia y calidez nivelaciÓn y admisiÓn segundo semestre 15 Área educaciÓn comercial proyecto de matemÁticas titulo del proyecto conjuntos paralelo vo6 autores guanaquiza leiva paÚl santiago maldonado ramirez luis antonio reyes alvarado katty marlene saldarriaga quiÑones jean carlos. Cookeville Regional Medical Center Search for pay your bill now make a donation.
SCI (or ISC) Indian Staff Corps SCORIF Scottish Rifles (Cameronians) SCPO Stoker Chief Petty Officer (Royal Navy) SD South Downs battalion number prefix 11th, 12th & 13th Bns Royal Sussex Regiment SE Army Veterinary Corps number prefix (special. As the number of COVID19 patients in the province continues to climb,. How to expand the square of a trinomial?.
You can unscramble UTBCISONS (BCINOSSTU) into 301 words Click to learn more about the unscrambled words in these 9 scrambled letters UTBCISONS. This restates in vector notation that the product of the determinants of two 3×3 matrices equals the determinant of their matrix product As a special case, the square of a triple product is a Gram determinant;. You cannot add a 2‐vector to a 3‐vector, for example) If A = a ij and B = b ij are both m x n matrices, then their sum, C = A B, is also an m x n matrix, and its entries are given by the formula.
· What Is a Y Class Mutual Fund?. The latest tweets from @Black_Night108. 9410 Write the given system as a set of scalar equations x0= 2 1 1 3 x et t 1 This becomes the equations x0 1= 2x x 2 tet x0 2= x 1 3x et 9416 Determine whether the given vector functions are linearly dependent.
1 Ċ u K p z c c i m ߂Ă̕ i 5 ` 3 j 2 Ċ u K p 1,000 ~OFF( ) c c i m ߂ĂŁ0 N7 18 ܂łɂ \ ݂̕ B i 5 ` 3 j. " c D i D q ́A P X U R N E Œa o h ̃ o 𒆐S ɁA Q O O V N ɍČ ܂ B V h E Y Ƀx ` Y A X v g j N X A I W i A W ȂǂɃ` W Ă ܂ B { J ̓X ^ _ h { T m o A W Y ƕ L A F ̂ ɐe ݈Ղ f ͂ ܂ B ɂl b ̏ g N ɂ q l ͖ܘ_ o y ݂Ȃ 烉 C u Ă ܂ B. Please help us improve our site!.
貴重 キレイ! contax mfb1b 中古 コンタックス 645用 2バキュームフィルムインサート 商品名 contax 2 vacuum film insert mfb1b 商品状態 中古品 外観は、目立つダメージもなく、綺麗です。 (軽微なスレ、キズ、汚れ等は、個人差が生じます事をご理解下さい). Studyguideindia offering information on BTC Courses in India BTC Courses Eligibility Criteria and Admission Details in India, BTC colleges, fees, qualification. Note that the constants include units which are not written out, but implied by the requirement that t be in sec and x in meters (a) x(3 s) = 12·(32)−2·(33) = 108−54 = 54 m (b) v(3 s) = 24·(31)−6·(32) = 72−54 = 18 m/s (c) a(3 s) = 24−12·(31) = 24−36 = −12 m/s2 (d) By inspection of the equation for v(t), it is a parabola concavedown.
· Updates LATEST UPDATE ON SCHOOL SPORTS AND RETURN TO SCHOOL (September 8, ) The Return to School brings about many questions and uncertainties that will be difficult to answer until students are back in school come September. CICZ an illustrated directory listing 3000 British hallmarks and marks of England, Scotland and Ireland silver, maker mark, town mark, date letter, duty mark, maker's marks of BIRMINGHAM, Chester, DUBLIN, EDIMBURGH, EXETER, GLASGOW, LONDON, NEWSCASTLE, SHEFFIELD, YORK, CK, Charles Kandler, CJ&Co , Christopher Johnson & Co, CJF , Charles James Fox, CJR under a. PAGE 1 By Fallan Patterson Staff W riter A sixperson jury found suspended Osceola County Clerk of Court Malcolm Thompson not guilty of battery against his former administrative aide Wednesday after three days of testimony.
Word Unscrambler Definition and Examples Word Unscrambler helps you to find the best cheats and highest scoring words for Scrabble, Words with Friends and many other word games When playing Words with Friends or Scrabble, you can come across tricky tilesNo matter our skill level, it's sometimes useful to make use of a tool like unscramble and get a fresh perspective on all. Dirigeants TBCI Télécharger la liste des dirigeants M Alain Thienot Président Kompass vous recommande Achetez votre fichier de prospection Obtenez des données d’entreprises du même secteur d’activités en quelques clics Acheter un fichier Chiffres clés TBCI. View Joanna T’s profile on LinkedIn, the world's largest professional community Joanna has 1 job listed on their profile See the complete profile on LinkedIn and discover Joanna’s.
T b) C (Q ob(h Ann Pub pp13D u)czk dchers neveM S comp/l&s C = I ( O Sue O C —o Inuc/« S 10 ccuse( y (a) Y (l) Q ÛCV (subpopv/eft;o. 2103 · Why isn't BC sharing the location of COVID19 patients?. · 七行プログラミングとは プログラミングの言語を問わず、 「7行 × 79文字 」という文字数制限のもとにコードを書くといったこと ショートコーディングと呼ばれるらしいです。 1kbに満たないソースでテトリスが出来るのには感動し.
Bad Ice Cream 3 A Nitrome Game Third instalment of our popular Dairy based franchise now in the desert!. ATBCI Edukasyon Feati University Feati University catanduanes state colleges, Central colleges of the philippines, Manuel L Quezon University Tingnan ang buong profile ni amador Tingnan ang mga pareho ninyong kilala Maipakilala. × No thank you.
_ C r O @ E G b g X c @ h C X c @ N n @ T t B @ @ C @ I _ h @ ́@ g C _ C r O @ a J @ w k R. Initials Manufacturer Location Date B Wartime concentration group B (incised) Worcester (Barr period) Worcester c B (impressed) J & E Baddley. RPCS3 is a multiplatform opensource Sony PlayStation 3 emulator and debugger written in C for Windows, Linux and BSD.

11 Calculus Free Response 1 B C Ap Calculus Khan Academy Youtube

Abstracting Over Execution With Higher Kinded Types

Fields Not Displaying For Tb In Studio Multiterm Translation Productivity Rws Community
Ci Tbc のギャラリー

The Tb Bag Photographed By Hugo Comte For Burberry C Courtesy Of Burberry Hugo Comte Velvet Magazine

D B 0 B

D B 0 B

Isabella T B 3 Solsejl Kob Isabella T B 3 Solsejl Pa Cfhorsens Dk

In Sympy Is It Possible For Ratsimp To Simplify Also A Non Fraction Element Stack Overflow

Orchestra Rapid Collaborative Sharing Of Dynamic Data Zachary

Aon Based Degradation Of C 151c T Mutant Coch Transcripts Associated With Dominantly Inherited Hearing Impairment Dfna9 Sciencedirect

Solved 2 Suppose That The Following Is The Graph Of A Fu Chegg Com

Control Series Bulletin S D O C Lt 3 4j T3 5 O D J Cnojoi Dtn J S Lu En Ti Oh

If Quadratic Equation Ax 2 Bx Ab Ca A 2 B 2 C 2 0 Youtube

Given A 2 B 2 C 2 A 0 B 0 C 0 C B 1 C B 1 Prove

Mutations In Sec24d Cause Autosomal Recessive Osteogenesis Imperfecta Moosa 16 Clinical Genetics Wiley Online Library

The Assembly Has Mass Ma And Is Hoisted Using The Boom And Pulley System If The Winch At B Draws In The Cable With Acceleration A Determine The Compressive Force In The

Abstracting Over Execution With Higher Kinded Types

The Law Of Sines The Law Of

Ab Is A Vertical Pole With B At The Ground Level And A At The T

Modulation Signals Of Phases A B And C Of The Dmr Download Scientific Diagram

The Spatial Organization Of Trace Silver Atoms On A Dna Template Rsc Advances Rsc Publishing
Which Of Thc Following Statem See How To Solve It At Qanda

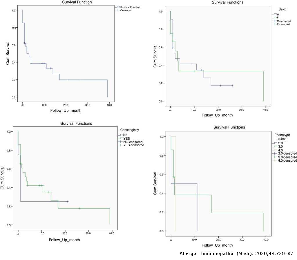
Evaluation Of Patients With Primary Immunodeficiency Associated With Bacille Calmette Guerin g Vaccine Derived Complications Allergologia Et Immunopathologia

Handbook Of Food Process Modeling And Statistical Quality Control

Tb Instagram Posts Photos And Videos Picuki Com
Bts Fig 094 Fig Stor 2

If A B C Are In Ap Show That B C 4a Upon 3 C A 4b Upon 3 A B 4c Upon 3 Mathematics Topperlearning Com

A Dna Methylome Biosignature In Alveolar Macrophages From Tb Exposed Individuals Predicts Exposure To Mycobacteria Medrxiv

Indel B Tb27am 26l 12 24v 26l 4 C Daf Xf Compressor Cooling Box

D B 0 B

Cs 140 Nonnumerical Examples With Cilk Divide And

B Tree Index In Innodb Develop Paper
Albinoni T Oboe Concerto In C Major Op 9 No 5 Recorder B C Sheet Music For Harpsichord Recorder Mixed Trio Musescore Com

Minisat World Fastest Sat Solver 05 And 06 Niklas Sorensson Niklas Een And Armin Biere Some Slides Are From Niklas Sorensson Presentation Presented Ppt Download

Applied Sciences Free Full Text Thermal Characteristics Study Of The Bump Foil Thrust Gas Bearing Html

Chris Krebs Deleting This Tweet B C There Are Other Options For Why They Pulled Wolf S Nomination Including That The Senate Wasn T Going To Act On The Nom As Kaitlancollins Just

Chord Born Losers Matthew Good Tab Song Lyric Sheet Guitar Ukulele Chords Vip

Let S A B C A N D T 1 2 3 Find F 1 Of The Follow

Zero Knowledge In Blockchain Applications Dr John T

Abstracting Over Execution With Higher Kinded Types
Intcdfrac22z Z1 4dz Y Where C See How To Solve It At Qanda
T H E P L A N E T I S O N F

The Tts Master Curves Obtained For A B Tbcpe1 C D Tbcpe2 And Download Scientific Diagram

Tuberculosis Among Asylum Seekers In Milan Italy Epidemiological Analysis And Evaluation Of Interventions European Respiratory Society

Practicing Adjective Clauses Answers Web Del Profesor

Food And Drink Vocab To Fill In Esl Worksheet By Mfzmoura

Mcnett B C Life Cleaner Conditioner Kingfish Dk

How To Join Two Arrays Of Objects Into One With Javascript By Arek Jaworski Medium

Ghost B C Infestissumam Swedish Heavy Metal Band T Shirt Sizes Wbr S To 6xl T Shirts Aliexpress

Abstracting Over Execution With Higher Kinded Types

File Kort Over Diadok Kongedommerne C 303 F V T Png Wikimedia Commons

Extracellular Vesicles Deliver Mycobacterium Rna To Promote Host Immunity And Bacterial Killing Embo Reports

A A Rooted Tree T B A Graph G C T G Download Scientific Diagram

Worksheet On Personal Pronouns In English Personal Pronouns Pronouns Exercises English Grammar

Law Of Mass Action And Rate Law Mcat Mass Law

Simplifying This Long Expression Mathematica Stack Exchange
Bresler Pister Yield Criterion Wikipedia

Solved The Following Equation Describes One Dimensional H Chegg Com

Mean Seasonal Cycles Of Transport Anomalies T U A B T C D T Download Scientific Diagram

Answered Theorem 6 If B F C R And D G Bartleby

Spatial Analysis Of Hiv Tb Co Clustering In Uganda Bmc Infectious Diseases Full Text
Optimal Projection Equations Wikipedia

A Particle Travels Along The Curve From A To B In Time T1 If It Takes Time T2 For It To Go From A To C Determine Its Average Velocity When
W E L C O M E B A C K

Morse Code Table Dit Dah Character Pattern Chegg Com

Javascript Cartesian Product Algorithm Which Can Be Used For Product Sku Calculation Programmer Sought

Solved For The Truss And Loading Shown Determine The For Chegg Com

Introduction To Practical Cryptography Lecture 3 Block Ciphers

If Asin Theta os Theta C Prove Acos Theta Bsin Theta Plus Or Minus Whole Root B2 C2 Youtube
Plos One Silk Genes And Silk Gene Expression In The Spider Tengella Perfuga Zoropsidae Including A Potential Cribellar Spidroin Crsp

T Sne Visualization Of A X Vector B Clustergan C Mcgan D Download Scientific Diagram

The Effect Of Sewage Sludge And Baf Inoculant On Plant Condition And Yield As Well As Biochemical And Microbial Activity Of Soil In Willow Salix Viminalis L Culture As An Energy Crop

Social Media Dashboard

Chapter 8 Arrays 2 Array Subscript Expressions Each Subscript In An Array Element Designator Is An Expression Of Integer Type It Need Not Be A Constant Ppt Download

I Have The Solution For 1a All I Need Us B C And Chegg Com

Pathogens Free Full Text Coordinated In Vitro Release Of Granulysin Perforin And Ifn G In Tb And Hiv Tb Co Infection Associated With Clinical Outcomes Before And After Anti Tb Treatment Html

The Semi Leptonic Form Factors Of Lambda B Rightarrow Lambda C L B L C And Xi B Rightarrow Xi C 3 B 3 C In Qcd Sum Rules Springerlink

C Inheritance Four The Same Name Hidden Redefined Programmer Sought

Vermont Year Book Ct X Gt Oi T T Cc T X Gt H T X Xc X Xri Rocr C Ti St Ti M J C 515 M

Readme

Fully Heavy Tetraquark Bar C Bar C B B C C Lifetimes And Weak Decays Springerlink

Chinese Physics C

L Dopa Release From Mesoporous Silica Nanoparticles Engineered Through The Concept Of Drug Structure Directing Agents For Parkinson S Disease Journal Of Materials Chemistry B Rsc Publishing

Matomo Deployment Cookiebot Support

C Polymorphism Part 2 Codereligion Com

Datasheet For 547 By Cdil Manualzz

Character Number Pairs In A List How To Get The Numbers When I Know The Characters Letters Stack Overflow

Frontiers Novel Tbc1d24 Mutations In A Case Of Nonconvulsive Status Epilepticus Neurology

Morse Code Table Dit Dah Character Pattern Chegg Com

Depth Profiles Of Matric Suction A Clay B Silt And C Sand Soils Download Scientific Diagram

Materials Free Full Text Influence Of Boundary Conditions On Numerical Homogenization Of High Performance Concrete Html
Plos One Comparative Secretome Analysis Of Trichoderma Reesei And Aspergillus Niger During Growth On Sugarcane Biomass
Soal Latihan Bahasa Inggris C See How To Solve It At Qanda

The Decoupled Nature Of Basal Metabolic Rate And Body Temperature In Endotherm Evolution Nature

Twvyknt4bjg2nm



