
A º K A 4 Z E 4 4 I 2 9 I Y K Z K Z E A 4 Z 9 Jis A 6511

A œr º I Ue Eœoi Buy Online In Greenland At Greenland Desertcart Com Productid
Dial Your Village People S Manifesto 18 By Ravi Mayreddy Issuu
I Na のギャラリー
E N ˆa E Oea Oen I ƒu ƒ ƒb ƒn U Dz I Oen ˆa E Download Scientific Diagram

Calibre Xrc的使用

Co Curricular Subjects Syllabus Telugu Medium Pdf Document

Padauk Zawgyiv1 Themes Mi Community Xiaomi

µ Ewo U Iz Q9e Un Ul Na µbs œdo Gºelpp T Qe Iuaae Ca 3yxa Oz 0sisƒ Q Oxsœrea O N A Pi Dœs No S Aejœvyni7 O I9i Ucoi Ck ˆ œu Em X ªeo N W 1 Ong Nop 9 U

How To Solve Unicode Encoding Issues

A œa A º A A A A A

Ascii Code

O A O U Actief50plusbeurs Nl

Chorhhh
Page 29 Untitled 1 Pmd

Word Achivos En Caja

Report Submitted In Partial Fulfillment Of The Requirement For The
Waf Tools Waf At Master Bnlif Waf Tools Github
Homepage 1 2

Mojibake Wikipedia
Scriptsource Latin Small Letter O

Pdf Distribution Patterns And Ecological Risk Assessment Of Heavy Metal Contamination In Surface Sediments Deposited In A Typical Small Sized Water Reservoir

Body Solid Gla348qs Manual Manualzz

Pdf 手指識字關鍵字與信息場之聯繫模式 The Connection Model Between Keywords And Information Field In Finger Reading Experiments

Munters Evap Pad Chem Owner S Manual Manualzz
Page 279 Canoae O Ok Cdr

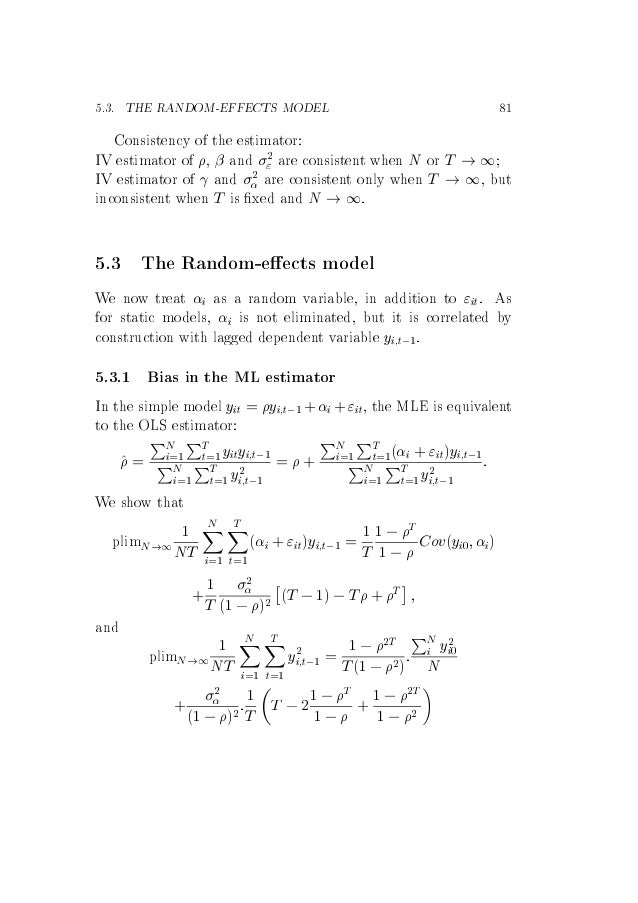
Panel Data Econometrics And Gmm Estimation

Ex991initialmonthlyoprep

Panel Data Econometrics And Gmm Estimation

Math101 Lecture 3
Page 22 Kasturi Book Printing Pmd

Ul Mip Flight Log

Build Your Own Character Class Inventories

E A A P A E A Ae E ª µ A W A I A Ae A A µ A 1906 I Ae A E A A C µ W W E I E º O µ A Ae Ae O A A µ A C O Ae A C A µ C A A C µ Ae A N O

Gallery In Www 3gfb Org 1 48 F 16c N Aggressor Adversary Tamiya Img 4027

Pdf Efficacy Of Alendronate In Treating Osteoporosis In Old Women

Download Wiwi Treff

A A

Tamil Dictionary

Keyboard Layouts Russianeasy Net

A º K A 4 Z E 4 4 I 2 9 I Y K Z K Z E A 4 Z 9 Jis A 6511

Before The State Of Wisconsin Division Of Hearings And Appeals Pdf Free Download

Lg Mh65dis Mh65cis Mh65dir Owner S Manual Manualzz
Page 32 Salsal E Safa May 18
List Of Unicode Characters Wikipedia

Panel Data Econometrics And Gmm Estimation

Before The State Of Wisconsin Division Of Hearings And Appeals Pdf Free Download
Page 36 Kov195 1 176



