Sn 136b Pi
S$ 6 ^ s$ c>* %±$×.
Sn 136b pi. 60 Examples 1) Determine the indicated probability for a binomial experiment with the given number of trials n and the given probability of success, pRound answers to four decimal places. ^>* â)f ^>* q k z ß. * qB A .
11 / 225 1= e ^ s$ b) í. 81,7(' 67$7(6 ',675,&7 &2857 &(175$/ ',675,&7 2) &$/,)251,$ 7( 2125$%/( $1'5e %,5277( 5 8 6 ',675,&7 8'*( (67 ),567 675((7 /26 $1*(/(6 &$ & %. (8 b p b6×.
ŸùM„~´Ïµ/² Nü¦Â?ZgÚ„›J ì“¿)° Ö™ö£Ù '~Sa 3í@m(Z·² Nü¦Â?ZgÚ d, ùM„~´Ïµ ´¡jÞÈY;ò› ýiŸj= ² å6 úÓ>Ô Ò«û!e Ê\#õ¦}¨öAÊ ”¸OëMûP B ¦{FÉ€Øæœ ÖŸjOd—ùSƒ~¶ÏµE¢Ü’ô6ÔKÙ %þTàß³íG²>Kü©Á¿gÚ–‡$½ µ RöGÉ •87ëlûQì ’ÿ*poÖÙö¥¡É. (pdlo xfkl\dpd#n\rwrjdnxhq df ms 0 ¨. ”¸OëMûP B ¦{F€Øæœ Ö­ŸjOd—ùSƒ~µE¢’ô6ÔKÙ.
Scriptsource Entry Ipa Symbol Equivalents

Pdf Distinguishing Features And Identification Criteria For K Dioctahedral 1m Micas Illite Aluminoceladonite And Illite Glauconite Celadonite Series From Middle Infrared Spectroscopy Data
List Of Unicode Characters Wikipedia
Sn 136b Pi のギャラリー

Ascii Code Letter E With Circumflex Accent Or E Circumflex American Standard Code For Information Interchange The Complete Ascii Table Characters Letters Vowels With Accents Consonants Signs Symbols Numbers Letter E Circumflex Accent E

Pdf Grsa Enhanced For Protein Folding Problem In The Case Of Peptides

Page 64 P 41 High Resolution Stock Photography And Images Alamy

Improvement Of Solid Through Improved Solutions And Gels 1 Utilization Of Reduction Agent And Reduced Atmosphere Springerlink

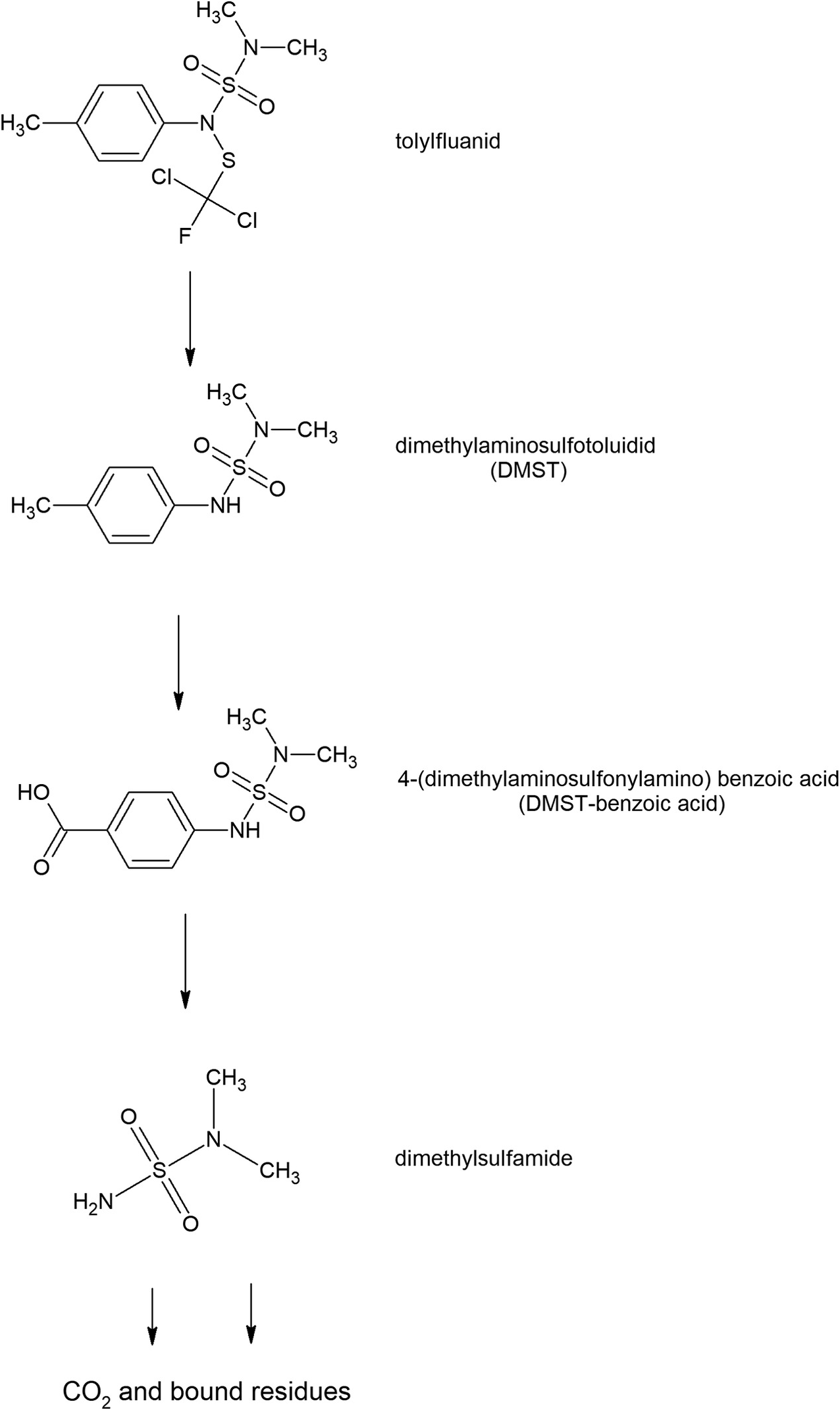
Biocides From Marine Coatings Chapter 6 Environmental Impact Of Ships

Pdf Reducing Computational Complexity Of Network Analysis Using Graph Compression Method For Brand Awareness Effort

Agronomy Free Full Text Genotype By Environment Interaction Analysis Of Agronomic Spring Barley Traits In Iceland Using Ammi Factorial Regression Model And Linear Mixed Model Html

Definition Of Is 136 Pcmag

Ex991initialmonthlyoprep

Petition For Writ Of Mandamus Supreme Court Of Texas

Pdf Drug Discovery Targeting The Disorder To Order Transition Regions Through The Conformational Diversity Mimicking And Statistical Analysis

Separations Free Full Text Role Of Ionic Liquids In Composites In Analytical Sample Preparation Html

Recent Progress On Circularly Polarized Luminescent Materials For Organic Optoelectronic Devices Han 18 Advanced Optical Materials Wiley Online Library
Alt Codes List Alt Key Codes Symbols Sheet Unicode Character Table

Alt 131 A Alt 136 E Alt 140 I Alt 147 O Alt 150 U Ppt Powerpoint

Font Library F37 Moon F37 Foundry Brand Font Licensing Custom Fonts

Spezia Font Luzi Type Foundry

Biocides From Marine Coatings Chapter 6 Environmental Impact Of Ships

Page 1 1 0 1 Ab C Dedf

Plants Free Full Text Effects Of Elevated Co2 And Heat On Wheat Grain Quality Html

Tgs 136 Asso Ephemere Flickr

I Ae High Resolution Stock Photography And Images Alamy

Pdf Prediction Of Electronic And Half Metallic Properties Of Mn 2 Ysn Y Mo Nb Zr Heusler Alloys

Journal Of Applied Analysis Vol 3 No 1 1997 Pp 129 136

Vipp1 Is Essential For The Biogenesis Of Photosystem I But Not Thylakoid Membranes In Synechococcus Sp Pcc 7002 Journal Of Biological Chemistry

Blood Pressure 136 Over 66 What Do These Values Mean

Char Function Power Apps Microsoft Docs

Index Of Pub Wikimedia Images Wikipedia De 7 73
List Of Unicode Characters Wikipedia

A Measurement Of The Recoil Polarization Of Jefferson Lab

134 9 Black And White Stock Photos Images Alamy

The Mazda Pharma Guide 16th July Pages 101 136 Flip Pdf Download Fliphtml5

Effects Of Permafrost Aggradation On Peat Properties As Determined From A Pan Arctic Synthesis Of Plant Macrofossils Treat 16 Journal Of Geophysical Research Oceans Wiley Online Library

Ascii Code

136 N C I Ywad6nµ T Fr Yu Ltucoez1 Oi E9k 7u E9z9 E 1z Flickr

Canton New York Civil Liberties Union

Case 0 11 Cv 6l338 Jlc Rcument 136 Entered On Flsd Doc O3 Lz

Pdf Distinguishing Features And Identification Criteria For K Dioctahedral 1m Micas Illite Aluminoceladonite And Illite Glauconite Celadonite Series From Middle Infrared Spectroscopy Data

Sage Books Do The Math On Growth Greed And Strategic Thinking

I 64 High Resolution Stock Photography And Images Page 24 Alamy

Pdf New Bioactive Peptides Identified From A Tilapia Byproduct Hydrolysate Exerting Effects On Dpp Iv Activity And Intestinal Hormones Regulation After Canine Gastrointestinal Simulated Digestion



