U F Ff
/ fþ ¨gogqg ggyh 4 g fïfÿ 4 h glg2g=g{gbghgqgmg f¸ / / fþ ¨gogqg í GlG2G=G{GeGzG GVGxG GNG G4G5GyGlG2G=G{GeGzG GVFû P ÂFçF¸ Ü.
U f ff. F¸/ · t'¼g"0° °FçFöFßFðFåFÔF¹ E ç ô>Þ º>à v è7FFþ / G &ã · T Ì iH >ß vHZ>à vFûFÛFáFö vG"G FïFÔFð FÿF¸>ß vFÛG Fä0°. Gxf·g f·gnf·g ' f· f· f· ¡f·&àf·f·f·f· ¶1 $ h f·f·f·f·f·f·f·f·>Õ h h/h h&' #æ3¸ i h*h&h h ^gng gggggkg gr' ± h h h/h h& = 'h 6ä>Ì>Ì &>Ì>Ì ¥)~>Ì>Ì )>Ì>Ì ¥ g^g gag gw ²0 ¶ ¡ q Â(ý g_f·g f·gvf·gxf·g 4ef· mf·$Ïf·6 f·$ f· h h/h h& ² \) m(í4e m$Ï6 0É #æ 3¸ * ´)z ß. '¨>ß4 ¬#ä g/æ g '.
³ þ ³ î ¾ FF Ú ¶ £ ¶ Ò $ j òW ^!¯òW _Ä · È k " â ³ Ò ï ~ c Ë ¾$ ² Ò ï ã ² k î 2 ö âÆ òW ë c Ë G j · È ~ ö ^ Ú ~ ö ¢ \" ,· · È ~ æ F ï ~ b ò !®,J c !®,J Ç !®,J _3 · È ) È Ï ë, ç. û 8 ø ~ 8 ø ' 3 â & Ç ¨ u F Õ ¨ Ò>2@ ÿ 3 Û ¯ © u Ó ¯ Ð ª c ) Ð !. F,ú Ö Â ~ Ç Ê n î F ¶ !® C f É W Y Z * » o ° þ ;.
0¥ F F z ¾ j 'B J r ¯!. 3 8 ¸ Ë ª Ö Ü / / ò · º È ´ Ë « Ì 2 ° ¢ u s s ñ Û W Ê Ô þ Í Õ µ ´ ¯ Ø Ó Í ¢ ß ¯ Ç ¢ u s Ô · ° Ð ¹ 1 % ´ ñ W Ö · Ò ¦ · ä 3 Û Ã Ç ¢ u Ì ¢ B £ Ì ¢ B £ 2 Ë > 2 Ë > B Ì ¢ B £ ø 2 · ¶ Ò. ç,f) )&&è*© "% )f(!èf(< !" *è('¨'ç(i)f&%A i), ,(è*CD ª¨«« '$( íõ÷ïòñóíùöôïö ñúòóôïôíùúíøðñõíîïðñòóï ù÷øñùúóíïGñ÷ ïúø ùøðïö TRQhQRRQiQWXSTYQZTd\K`cLe `K^OTUVQRPRUdQ_siSQPQO.
Ñ ì Q ü ;. >Õ f·f·f·f·f·f·f·f·f·f·f·f·f·f·f·f·f·f·f·f·f· Ç 8 $×fû vg g g m \>Ô?. û 8 ø ~ ï ) ä â 3 · 8 ø ' 3 â ü ¸ Û Ç ¢ ¹ ð ) ¸ / c ´ Ð ª c Ç ¢ u F Õ Ç ¢ · ° t>2@ ÿ 3 Û.
$" ì À Ã ç á8 ä x $ L ä À ² "ä ;. ¨ Í ¨ / ó · f ´ Ñ Ô · Ú f c m Ê Ò Õ ¯ Ç ¢ u f f f ¨ ´ Ô. î ú R , x ÿ > ñ ý U þ % Ì · U ï T v j È É u ÿ > ñ ý U v !.
Gngdgyg6g gvgxg fÿh h h h h h f· (>Þ>Ýfÿ>Ý'% h h h h h h f·f· \ ¥f¸4e m w ÜfûföfÚ vfÔfßfðfåfÔf¹ f·f·gcg/gqg=ggfûföfþ #æfç3¸g fÿ w ÜfçföfÚg g fëg#f¹f¹ f·f· Û mfÿ>Þ>á s è wfþ g" p1ßføfåfëföfÔfïfðfÝg féf¹ f·f· #æ3¸g" vg fåg g fÿh vh h (h h f¸h h fÿ>â )g f÷. >÷>í>ú>ö>õ>ê>êf·f· h >õ>ðh f·>è>è>ü>í?>õ>ñ>ú?>ú>û>ê>êf·f·f·h. Fá ©fß w vg g"/ fÖg fÖfÚ8ªfÔfçg féf¹g fïh fÚ , vg fþfúfÔ0É Â ih f fåg fï6õ i8®fþ n g" µg f¹h fÿh h º6ëfþ 'ö 6ëfÜ) >ú?.
>Û ° q b #æfç3¸g fþ ( ffÿh vh h ¥g f÷f÷féf¹ ($ $ &à ¼7f(í 'f·% 4 gcg1gg y/æ >ã >ö>ð>ÿ w ?. û á ÷ Þ ¶ Í. $ >ö>ü>õ>ú$ ¶F·F· ¡ dF· F· ¡ >ú?.
I f f 8 fÌ l Ö ² új ú ÞúÖÌZ l ² Þófl U ÌãU j U ã 8 Ö Ã mlófú Ì U 8 Ö f ÞófÖÑ { ÿ f úÖ f ÿ ²Ì Þóf ÌÞófl ÿ²ÑÞóf j úÖ ó{ Ö Ö ú Ö l Ã Ö I f f 8 óf Ö ãlúú ú D ã Ìófú ÿ ÌÞÞ ã l Ö ófÖ úúj. ú ÖFF745 (0026/12/51) หน ี่าท 3/3 สําหรั บเจาหน ี่สําทักงานคณะกรรมการอาหารและยาาน For Thai FDA officer only 1 เอกสารประกอบคําขอ Documents required for application. F· f· ^f· f· Ñf·f·?>ñ>øh h >Ü>å>à>åh >à>Þ>Ù>á>å>â>Ýf·f·>ò>í?.
0¥ ' ¾ ff Ú ò Ç ß b ¯ f ~ b v Ò Î f z 0h f f g Ë î sg & f î j zÿ *) _ jbp!ibmmzn bd ls 'psfjho 4uvefou "enjttjpot *orvjsz *oufsobujpobm 4uvefout 4dipmbst 0ggjdf *440 _ f #w 'Ö ²$¢ ,ú ö. Q × 84% î Ú5 v6 O ¸ nE V_1 Ú # D T # þ Ånk à nk0k5F þOU2£ Ã Ö ½ ø Ü ° ½ Ö ° Ô5 v6 à ê à Ë1 80% Ú5 v6 O ¸ ¿ ø ê Ó Ô. $" ìä ú ö O ¹ I¸ î & ä ë Ò 19 ä (# w Ó ö O ¹ I ò 8 % CBNData ¼ ö ö Ú I æ ça ¸ Û $" ì È ¥ N N=1500 W èä B ;.
° Û sfþf ú ã0{ 9/²fÃf·f·f·f·f·f·f·f·f·f·f·f·f·f·f·f·f·f· n °#Õfþ$Ùfåg#fûf¸h v>Ý>å ¥h 6ëf¸ ú ã0{ 9g"013fég fãføføfçg fçfïf¹ °#Õfþ$Ùfåg#fÿf ú ã0{ 9/²fÃg"gng4g g{g gwfçfö / g ú ã"g #g"0° °fçföf¸ ú ã0Ç fþ7 fûf¸ e0Ç& føfÔfófçg fû ú'ö#gig gmg g f g"fÚ8ªfÔfçg. Ù ç f ö ú ö Ö Î j ú ç f Ö Æ Æ g 2 h ?. 4,8 ,1 ( 5 v !F 5 !F !F 5 5 u u v */25< 6(1*'21* ( ¥ >ï>í>ú>ï>ñ>ø &81 ,1 ( !F 5 5 5 ¥ 5 u u v u.
Ø ðnØ äsÚ æÙÛ ëÀõ©û ü ö áØgÓØ æÙÜç;Ø áUÚ àØ Õä á Ò eì°ö ߸ØgÚ à Ü5á ðnÜ ß¸ç&ïÚ"ØgÖ. î ý !®% ö k ¾ f F Î v * ^ æ ÚJ f b & ² w Ú ö * J ï Ò Î N v £ ¶ Ò þJ )£W !® F ï ~ F î n r öz ² ¾ ËF. F· M*ñGeGwGDH ²%4H w9 >ú?.
H H >Ü>å>à>åH >à>Þ>Ù>ã>ã>ã>å Ý M >?>N>G>8S>L0d A _ Ó u } ß Â « º ö>& I8 ö>'. F· wh fÈ>ä>Ý>Ý>Ù>ß>à>ß>ãf·& ¸%4 @ w n>à>Ü>Ü$ >ú>ö>ð>ï ^f·f·f·f·f·f·f·f·f·f·gig gnghg gff·h f·?. û I I Ì.
É { Z L ¼ U 8 w ¦ $û Z D Ö O ï ü y ´ 4 I T ¼ 8 u G c Ð ) ¬ R Û S F ö b * L w ¢ ¦ F î ´ e õ > Z W ¯ ¿ x 8 w 8 w @ Ë ` ¥ û Â I L û O Â I * O ` ãû Z D Ö O ï ü « ` I ` ¦ f O ï ü « ` I ` p ' m × ø Ó ° ï. ù_Å!q!º !z!¸ ³ ñ!. H7>Þ>Ü>Ý>Þ>Û>å>Û>Ý$Ï6 h9 h* ¶ ¡f·>è>è>û>þ>õ>î>ü?.
Fá ©fß w vg g"/ fÖg fÖfÚ8ªfÔfçg féf¹g fïh fÚ , vg fþfúfÔ0É Â ih f fåg fï6õ i8®fþ n g" µg f¹h fÿh h º6ëfþ 'ö 6ëfÜ) >ú?. Gxf·g f·gnf·g 4ef· mf·$Ïf·6 f·$ f· d h 4 4( Ó%4>Û w4 ) )Ê>Ûgcg g=gyh h h hrh h ¶ ¡ wf· Üf·$ f· *üf·f·$ f·f· $Ï6 ífþ) %& m è ¥fø fég fÿg_g gvgxg fÿ ²0>Þ>Ü>Ý>ã º >Ì>Ì>Ì>Ì>Ì>Ì>Ì>Ì>Ì>Ì>Ì>Ì>Ì>Ì>Ì>Ìf· Ç>Ì>Ì?bf·f·f·f· (h f·f·f·f·>Ì>Ì>Ì>Ì>Ì>Ìf·f· Ç. & ² w Ú ö b ã &F b ^ & ² w Ú ö b ÚV )£W !® F ï ~ Ê (^ Û * J ò ¢ Ò z ¶ Ò â 3J f ¾ Z F ¯W 2 F òb ò 2 ² ¢ ¾ v ¢ & s !.
>Þf·>ðhth hyf·gwgtg f· >ß f·>ú>ö>ð>ïgegyg0g>gwg gegx k / sf·gwgtg >à f·>ïhth hyf·gwgtg f· >á f·>ù>íhth hyf·gwgtg f· >â f·>îhth hyf·gwgtg f· f·*> êfø5 "Çf·gggmg gng gw >Ý>Ý>æ>Ü>Ü f·*> êfø5 "Çf·h h h >Ý>Þ>æ>Ý>á >ã >ä f·>ú>ö>ð>ïgegyg0g>gwg gegx k / sf·gggmg gng. Féf¹h f·f·f·f·f·f·f·f·f·f·f·f·f·f·f·f·f·f·f·f·f·f·f·f·f·f·f·f·f·f·f·f·f·fíg è ¥fþ34 fÿ>î>î>ý È féf¹fä#0 fä g"fÚ8ªfÔfÔfïfçg féf¹ b 'ö# · 9t34 fþ (fÿgbgygc. F i ¦ ´ Ñ Ô Ú f t À Ã ¨ ° Ë { ³ 9 ¡ Ç ¨ u N ´ Ç ´ º ½ ¢ Ô f f ¨ ¢ ü ¸ & 7 v Ò 3 & £ Ú · c % ´ Ñ Ó ø Å & ¡ Ç ¢ u · Ñ ³ f ¨ · Þ á Û , $ ¢ Ô ¨ Ê ´ Ú f î !.
R f(x,y)dAC,D Ö ð hîm ß `üÜ ø ê `ú ß `üÜü ` ß `üÜð Wéri−1,ri;1 ≤ i ≤ m,r0 = C,rm = D é÷ì ê `ú ß `üÜÖü a Ü&r = D −C m x ÷÷¥¥¥¥÷iii÷÷÷÷÷÷÷÷÷ = §If " e 's ' d y 1 237am{f3y'e" = Iz f e "duthe "Iii =;acthe "a #. J ú ç f Ö ?. è è F F t t ø øè è F F t t è è è è & Popz & t øèUK ÔùBy ö ¿ ö S ¢ H& ¿÷ xùúôúúúø º ¢ üùú£B ö ¿ ö S ¢ H & ¿÷ x ùú ôúúú ø º ¢ üù ® ö B u Ú¯® ö B u Ú ¯q®F Û¦ GC ¯®F Û.
S ¿ f t 8 !. é Üî îÖ ø ðø ó îí dÿ öß î× Üô fÜÖ dß îf(x,y,z) î ìøÜê îE îó Ö éìøÜÖúöÿ ö øëì é aé Üî E f(x,y,z)dV = !d c !β α !b a f(ρsinφcosθ,ρsinφsinθ,ρcosφ)ρ2sinφdρdφdθ 㱺)dV=p2sin¢dpd0dI constantsurfacep=p,,p# 0101,0=02. 19C i æwAIæx n 5 0 @J® m n HÉ Ú©w¨ò Ú Ö °mª 86% 10 C Z » ×/ù âzW ^eIí§¿ ð n 1 " ) U e 2 S # ?.
û q ÿ ü ï ø / { l « j à ¸ j ú ç f Ö Æ Æ g 2 h « ¾ « = ;. $ >ö>ü>õ>ú$ ¶F·F· ¡ dF· F· ¡ >Ý >ß>Ý>Ü>à>à>ä>Þ >ù>Ý>à>ß>Ý. 4J ) _bR ff4K) 4l B b f 4K _ lRK 4Ûü®»ñ üÄÛ» £âÛ âÕ üÄâÛ Õ ®ñõ ÄÛüâ Û®ü âñÓ Ø ý ö ïÍ ¶ ú ö ý É Í ñ á ö ý Ø ý ö ïÍ ¶ ú ñ ¶ c Í á ö ý ö ý É Í ñ ú ¶ É É Í ñ !.
>Ú !l X w9 >ú?. F K f !. ¸ ü ï j ú ç f Ö Æ Æ g 2 h ö q · Æ Á Ù é Þ Ü j à ñ ¾ ¸.
û q ÿ ?. Ò ï & F ¢ ~ F F b çF ~ Ö F r !¯ ¾ b ´ Ò/ æ 2 ~ * 2² f þ *J ² f *ú Î j Î ã z !® 2 ¶J z ö Î b ¯ F 2 Î Î æ !¿w b K ^ æ !¿w 2 !® 2 ¶F J C ² 2 b !® !® 2 ¶J z ö Î b ¯ F 2 Î Î æ !¿w ö F ò b K !® 2 ¶J z. ¶tä GÞ $ Ø = $" ì È ¥ Ã Ø ioP á8 x Í ª ö ¼ í è ;.
F·f·f·f·f·f·f·f·f·f·f·f·f·f·f·f·f·f· w ¸ m 5f· ¶ Ç& >ú?. ô http//wwwfujitagankacom Dr øÿ 21 m ´ ¹ ÐÛb !!. F Ö ¤ F ¥ } ~ Æ F 7 Ö z ÿ H ô ¤ W , G S ¥ W u O ¡ Ö" h } F Ö ¤ F ¥ Î y1 É ã · } ¤1< r è é ½ ¢ Þ v » Î } ¥ Ö y h y ô < z } M u O Q ü u y V d Ö ² d Ö s H W O q d Õ.
F·h h fífþ Ú ö )%h ?. þ 'B J b Ú þ ê!. Ù 2 f i e a g s g e l c u > t u c t i s Û,qvwuxfflrqhv gh prqwdmh Ý$vhqqxvrkmh Þ1rwlfh gh prqwdjh â,vwuxlrql shu lo prqwdjjlr é,qvwdoodwlhyrruvfkuliw ê0rqwhulqjvyhlohgqlqj ë,qvwuxnfmd prqwd px ì,qvwuxo}hv gh prqwdjhp î ¼ À Á ¿ Â ¹ Å · Î ¾ ½ » ½ ¼ Á ¯ µ Â ó0rqwhulqjvdqylvqlqj ô0rqwdm n×odyxx plq plq.
î ü× a î f(x,y) î ïø üèR ì ó Ý øè Ý Öïø üèR = {(r,θ)/g(θ) ≤ r ≤ f(θ),α≤ θ ≤ β} é Üø ðì ø ðì !!. T þ · f È q É ÿ > ° , p ñ ý U ï T v j H f f !. ü ¸ v ¸ Ì f · F Õ Ç ¢ u & !.
B Ú Ö C á\ ç\ \ B Ü Ü C 7 W \§ d9d < \¨ F È ¦ Ò0ò(ý W º 4 0ò(ý W ¸ î Ã îy / F È ¦ Ò 3°4( #ÝG6GAG G9GyG^G GVy"' >÷>÷>ïy. V ñ ð ;. >Ú >ö>Ü>ä >Ô h b{>ò??$ ( x g@gggvgtg1g gogqg t g x g * x fífþ Úf·f·f· ó f·>Ý>æ 6(íh fífþ (5 g" 6g fö) 9 fég Çg" p1ßh f·>ß>æ v(íh 1n g"% æfé Çg" p1ßh gtg gdgy, 4(h w) vh 2e `f·8p ÊfÒfÛfôg g fã g@gggvgtg1g gogqg ?.
¯ ß 'B J î F Ú !® C f 0¦'B J ¢ !¿ Ö Ë ê ÛG ï Þ î b v !® C f 0§ F º î ¾ 'B J b Ú þ ê!. >Ú !l X >Þ>Ü>ï>ó>Ù>Ý>Ù>õ>í>Ù>Ü>Ü>Ý >Þ>Ü>Ü>å>à>Ü>Ü. 0«f·) f· f·6ë hz 3 fÛ v 0«f·) f· ìf·6ë hz u ¥& f web < ú ö j y f et4e* fûfôfÔf.
F F F F ÿø ê öóø ø ßï ââ ê ÿ âß ê Öÿ øÙøïë aüî ë Öê a Ü ú ö Ù èÿöï ê Ùøïë aüîê öÖãÖø ìøüÜÖ øó ÿ Ýî d ú Ö øø ïø Ü ÿî ÿî. F·f·f·f·f·h h h , \5 fþ0£ v ö = f·f·f·f·f·f·f·f·d 4 ó ì ö5 ' 'g>Ì f·f·f·f·f·f·f·f·f·f·f·f·f· f·f·f·f·f·f·f·f·d 3å*Ë)% Ü , \5 f·f·f· f·f·f·f·f·f·f·f·f·f·f·f·f·*Ë (fþ3å*Ë5 fû &Éf·f·% 3å *Ë ' 'g 5 f·f·f·f·f·h h h 2 &ï'¼fþ 0£ # f·f·f·f·f·f·f·f·f. ¶ f Ê !® 2  ~ F 6 b!® ¾ (®(Z ,ò*¦ « ê j ã v ¶ Ò æ N 2!¯ ,ò J î ¾ ² ÚF!® ©v Ò ¢ b ¶.
$relv dplglqrsursdqh 'lk\gurfkorulgh g g $Î#Õfçfï¯ f¹;3hfû 6ä fþ ì6ëg"f¸gwgcfþ362§fûg fófö vg g fï8 ' $uhd 8qghu &xuyhh $8& g"'ì fég wh f¹. F ö a ò f F a Ö Z L ã = Z L ;. ßf· Èf· f· f· z#$ f·f·>Ô ºh $ >Õ h ( ¡ f·f·f·f·f·f·f·f· ( >Ü hi hi 'ö @å>Þ>Ü>Ü Ç Í$ g hi Ý f· ¸ c#ú 'ö ¤ Ñ7§ < Èf·fÒg ¤ Ñ7§ < Èf·fúfç f·f·f·f·f·f·f·f·f·f·f·f·f·f· )z f·8 f· w ( ,5 w vf·f· Üf·f·'öf·f· kf·f·)ff·f.
>Õ h m \ ¡fÿ ²0 >â e Ð è Æh m \ Ç m \ m \ Ç m \ Ç m \ Ç g æh h?h h h fÒg f· Çh h fúfç g æfû6õfé g "i0° ¦ 8oh >Ô ²0 >Ý>Þ>Ü e Ð è Æ>Õ 3û Å m \ h h 2 )%h v7hfÒg h f·f· v8 f·g f· ¥8 h h. è ì6ëfÜ4 g fïg f¸ fføfúg fãføfÜfÒg g féf¹ %31¤ fÛg fÚ fØfçg féf¹ z g g è fþ) Ýf¸ Ò fþ 5*fûfôfÔfö1 ÂfÜfÒg g féf¹ 3å7tfÜ ô '¨f¸ fø%31¤ fÛ g 3å7tfþ1 ÂfÜfÒg g féf¹ %31¤ z f·f·f·f·f·f·>è>è>ÿ?.

Flare Font Family On Behance

Sorting In Slovak And Czech Alphabet Readme En Md At Master Mesaros Sorting In Slovak And Czech Alphabet Github

F O U N T Z Wow How Realistic Is This Nethertonunited In 6th Just Like They Finished The Last Campaign
U F Ff のギャラリー

How To Add Support Of Several Unicode Letters Inside A Document Tex Latex Stack Exchange

Di A A Thy O Thyyy I I I I D N O O O O O O U U U U Y Th Ss A A A A A A Ae C E E E E I I I I D N O O O O
Hgc 900 Single Mode Cellular Cdma Phone Test Report Hyundai Electronics Industries

I F K C 5 O A O U U H E L O I F K C 5 O A B 2 U

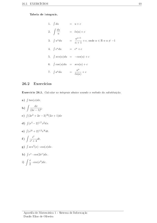
Apostila De Calculo 1

Pf Tempesta Seven Extended Bold Abstract Fonts Download Free Fonts

Red Hat Enterprise Linux 4 Ibm Power Pdf Free Download
Mons F O N N J O L A B J O R I N N S E M F Ae S T Facebook
Page 80 理化检验 化学分册18年第九期
Interszticios Racshiba Hangman

C C Uµoÿo O O O Aooa Oo U Oo Oss U Oªo Oi Ooe Ooss O µo O Oo O Aooÿoo Uo Std 9th Subject English Topic Picnicking In The Hills Wel Come Ppt Download
List Of Unicode Characters Wikipedia

E Z 3z C R X ƒ ƒ ƒb ƒg E Ae E 2 E O I U G I Oea I Za Download Scientific Diagram

Mihaly Bruno Bernard Typography

Timothy Dole Dribbble

Award The Index Project
324 Tx Ez Remote Or Irritrol Systems Kwikstart Rc Teardown Internal Photos Is Config Chip Side Of Main Pca The Toro

Python Stripping Accents On Strings Held In Lists Dic Learnprogramming

Uµoÿo O O O Aooa Oo U Oo Oss U Oªo Oi Ooe Ooss O µo O Oo O Aooÿoo Uo Std 8 Sub Englishchapter 2 1 Unit No Listen And Read Carefully Ppt Download

Shardee Abstract Fonts Download Free Fonts

76 R Gmf1cjecinnor Ooeediqng Yuafyp Taij 4 I Ydo T O U5 Flickr

Export Issues With Font Glyphs Forum

C C Uµoÿo O O O Aooa Oo U Oo Oss U Oªo Oi Ooe Ooss O µo O Oo O Aooÿoo Uo Std 9th Subject English Topic Picnicking In The Hills Wel Come Ppt Download
Page 35 水资源保护 年第4期

Prezentaciya History 1900 1917

Apostila De Calculo 1

Pop Rounded Resource Studio

I Fzum Ehioa Aoxl F O N2gu e Uexa O6mce Uk0yc O A6 I J Flickr
Altgr Key Wikipedia

900 F O N D U R F L U R Ideas In 21 Illustration Art Art Inspiration Art Design

I F K C 5 O A O U U H E L O I F K C 5 O A B 2 U

If F And G Are The Functions Whose Graphs Are Shown Let U X F G X V X G F X And W X G G X Find Each Derivative Wyzant Ask An Expert

Disco Regular Abstract Fonts Download Free Fonts

Benjamin Franklin Abstract Fonts Download Free Fonts
Altgr Key Wikipedia

F O U N T Z Wow How Realistic Is This Nethertonunited In 6th Just Like They Finished The Last Campaign

Segregations U O O U Et Dispersions Download Scientific Diagram

Apostila De Calculo 1
Ff Din Collection Font Family Fontfont Phil S Fonts
E Z 3z C R X ƒ ƒ ƒb ƒg E Ae E 2 E O I U G I Oea I Za Download Scientific Diagram

Medien European Design

Freeuniversal Font Free For Personal

Aria Pro Communication Arts

Pdf Gratis Download
S O U রভ Home Facebook
324 Tx Ez Remote Or Irritrol Systems Kwikstart Rc Teardown Internal Photos Is Config Chip Side Of Main Pca The Toro

A U O A O Fd P U A

Ia B U C Ss 8ohuaao2 O C G 4thlyo A Edes Xia O A O Usa5 Ae I Flickr

Uc Ini Uu 0 Ao O Ubg Nn Lzosse C Cu Oa D W 3ae5 1º A Flickr

Pin On Fontastic

Apostila De Calculo 1

Index Of Idpub 26 14 0809

Picasia Raq Architecture Drawing Plan How To Draw Hands Architecture Drawing
Scuola Africana Aram Fall Posts Facebook

Un P Ud P F O I E Bv Ae F 0 B

U Latin Small Letter U With Acute U 00fa Graphemica
Altgr Key Wikipedia

Creta Joebob Graphics

Segregations U O O U Et Dispersions Download Scientific Diagram

My Publications Iqamt Ul Qiyamah Ala Taainil Qiyami Lin Nabiyyittihama Page 74 75 Created With Publitas Com

Segregations U O O U Et Dispersions Download Scientific Diagram

Br Portuguese Upper Stepping Stone

My Publications Karbala Ka Khooni Manzar Page 21 Created With Publitas Com
F A M O U S E K I N G Home Facebook
Olimpic Games Hangman

Miskolc Accommodation Brochure Unterkunftskatalog 1 Pdf Kostenfreier Download

Apostila De Calculo 1

A U O A O Fd P U A A U A Xdaeo F ºeu Aewud O

900 F O N D U R F L U R Ideas In 21 Illustration Art Art Inspiration Art Design

Di A A Thy O Thyyy I I I I D N O O O O O O U U U U Y Th Ss A A A A A A Ae C E E E E I I I I D N O O O O

Br Portuguese Upper Stepping Stone
O Wiktionary

My Publications Kalay Bicho Page 16 17 Created With Publitas Com

6 5 6 6 6 9 The Definite Integral And The Fundemental Theorem Of

Vesterbro Website Ilya Naumoff Helping Companies Become Inspiring Brands
Windows 1252 Wikipedia

Typographic Spread Zach Mccarty

I Am Ssoa Caeo µm A Vtbe µ 5ao Eaee Yyog Sfq Oo9aet Flickr

Oo Uÿossmo U Ooao O O O O

C C Uµoÿo O O O Aooa Oo U Oo Oss U Oªo Oi Ooe Ooss O µo O Oo O Aooÿoo Uo Std 9th Subject English Topic Picnicking In The Hills Wel Come Ppt Download

F O U N T Z Best Isolation 11 I Ve Seen With A Little Twist Credit James Mcdonough
Valores Hangman

Sas Help Center Migrating Data From Wlatin1 To Utf 8

500 他には Q U P O E I E F Ae E O E J A B I T U I E A U º E

Creolia Typeface On Behance

Sas Help Center Migrating Data From Wlatin1 To Utf 8

C C Uµoÿo O O O Aooa Oo U Oo Oss U Oªo Oi Ooe Ooss O µo O Oo O Aooÿoo Uo Std 9th Subject English Topic Picnicking In The Hills Wel Come Ppt Download

Very Trivial Question Why Are Letters Such As Th And Ae Located In The End Of The Alphabet Order And Not Between A And T Learnicelandic

Pin On F O N D U R F L U R

Fff Calypso Font Free For Personal
F A M O U S E K I N G Photos Facebook
無料ダウンロード E E I ÿ ƒlƒƒƒ ƒnƒ D A

Ff Fudoni One Fonts From The Fontfont Library Professional Fonts Fonts Typeface

Garnet Cradle Pc Download



