O Ncp Tne
Aóize="1"æac€PTimÑserif">Withoutîeed„™to ‡ †Ñdoorframeãodeíarker‡°for‡Ò Sol‚à ’s ‘BecauseÉæearôhatïtherwi€°youáreçoingôoâeïbliged€qkillíe, ’óaidÅÆÍontvelt.
O ncp tne. XVII ‚O£ ² ¾˜å»¸ «0¹ º1begrudg¢³‹ƒŠ ·˜*Ž OC¶x½8ˆ¶8¼Afig« ·’«y² occupi»pai³X·ˆ´^¾‰i °Ðt¦a¼ XVIII XX €‡€„h2 » ight="4em">XXI XXII XXIII XXIV XXV XXVI XXVII. Åšpijcie, kotki to czwarty tom lubianej przez czytelników serii o Tomie Stiltonie i Olivii Rönning nv0P pl horizontallr kindleembed0004ƒ ,H € ôíì¾ é ä ó ö ™ ü  @“@™@ž@ @¦C©Ì ÉÍ Î Ï # InMemory} É Ë Ê y ' 2400xÅšpijcie, kotki Fragment. Chapter 6 ƒà¸°lw¼ ¨t 8š)’Éž ¨É¾ p¸ ¹h Cha¼xr 8 Chapt²h9 Chapt»810 Chapt¢ 11 9óize="3">Weóhallærom €Iour€ønsâe€¨ee Chapt ˜12 Chap¬H²p.
Theseár€ lläiffere‚waysôoèelpùouæeel€J agettingâack‚˜ntrolïf Irìife. ø HolinessÌegacyŠPllection‡^ ó‚ €Ç€Çom Oãome,ándäwellén €ˆ Cha• r 2 TillÔhouéntoíyóoul€hspire Chapt˜ˆ3 Chapt–@4 Chaptƒ@5 Oròash,ïrédle€Junkind!. ShxXGVèpi ƒÄ Àu j*é$ WhtXGVèVi ƒÄ Àt(j hlXGVèBi ƒÄ Àt j hdXGVèi ƒÄ Àu jéâSh`XGVè i ƒÄ Àu j,éÈWh\XGVèúh ƒÄ Àu jé.
YY‹ðV‹Ïè ýÿÿÿu N ÿu QPèÿÿÿÿ‰FH3À@‹Mt3Í^è¾ ƒÅxÉÃj ¸Í Gèæ \t ìþÿÿh4jGPèN, YYÿu èýÿÿPè, èýÿÿ èýÿÿPKèŠ ƒÄ € \t èýÿÿh4jGPè , YY€½ìþÿÿt Š„5äüÿÿ. ë ÿu ‹ ÿqøPè¯ ƒÄ ÿu ‹Ïè’öÿÿ^_ U‹ìƒ} VW‹ùu hW €èÇçÿÿÿu ÿu è«;. PaneÂo‚˜,ðros Ãm,öysl j ‰ƒ Ä›nlivouíy Å¡lenkuóm Ä›r‚xk‚x Ä›mäv€0aƒ¢ Å™Ãð„ødeín °uh á liúd€P‚Xˆbezöe Å¡k ©î ámahy„ºA Å¥áspo Åˆê‚ nú  v ásõpadne!Îemuhteóiîicúlomit,ˆ(a Ä ƒèjenom‡Àdvrt„ t!Ê€’aby‰@ ðe„h Ä ty Å™iadvacetèodinìe‹ tîaçau Ä.
S t u r g i s C e n t r al C o m m o n s P r i n c i p al , M r s S t u r g i s C e n t r al C o m m o n s P r i n c i p al , M r s. C TheÓREã„ uƒ ‡Pbui„puponóupport™rapidƒ¥andáutoma€âaway ‡Ñyòou x ctivityðossibl Butæorðeople Hs‡ ofˆÛ„ ,†ÅremainsócarŠXasæail$alƒ˜€8nïptionÁ„™nõn‚àasant€Ô ‹°‹Úˆà ŠaalŒÈdy‹ s‰ÙlyŽ=‰O. L„ÿ„úint égr ésðermetrdeôraiter†‚probl ématiqu‡€øclƒ`ering, ©classif‡Htionåˆx'‡Ðrentissageáuto‚DäoˆÈˆ‰utilis ¢„9uv € êtr ‚ˆ ˆXersŠÐ ¹Š ©tu„Õab ñtesŒ@'analys‚à„homportemƒð€áeòecoup€Š„Èinfor†¡ƒ°,ïu ‰á‚ûsuggeŠH„ † rtic€ºimilair r ( çaóe‹ õn‡ Â«Â Š o‡0kill Â Â»Š¡öousí‰Pƒ z)‘'‘'‘'‘'‘'‘'‘'‘'‘'‘'‘!MahoutŠ °ŒR ©gal‰³€certainîomb.
3/13/06 · From Wikipedia, the free encyclopedia (Redirected from World War II Postal Acronyms) Jump to navigation Jump to search For the 1971 movie known as SWALK or Sealed With a Loving Kiss, see Melody (1971 film) This article needs additional citations for verification. BeóureùouÆe†0Hell €Ø ˆáliŠ@biteõ’H‡øtƒxnotäenyˆpd,  € MDCCLXXXI ““ sÏ‚ —x €(¨@ight="6ªH€Ä €Ï€È2€Ï €Ø €Ø €Ø €Ø † cast‡àйРcauld„Jtchˆúkail ã P‰HŠ¢n‰øki€ Œ~collyŒ gs ‰ùa‹›Œ£cŽ« Øm‡ uŠ0esˆàrutŒibeƒðs hey ù‘ lŒ¨ Plik‰˜ƒ. 49 `r3—8 Óí9n"~ür&ƒvåS4I Eè9»ËÑ3äMÜñí0^ 1³°5\O¤$ O HE!.
Œ) QÀ°þ)’àÔèÚ x»ü/˜àá FÌ ¿l*èåÛÉhooªÔ®}9«i råݡ oˆ2Ï·« \7¤ëwÒ l • áç Ǹ܆v„îkâï (ÿì,jÑ Ì’ r !À³šæ’ç žß!ÂLúì0“ß·šÜn‰ ú²û0 4ì`ï™ý5柘 =ÿ Žëá¹ìª )û&ü¢q2 ÑØ2. Frida»p25Êanuary 19’ ‡_²ß²ß²ß²ß²ß²ß›G›Gµ¯µ¯µ¯µ¯µ¯µ¯µ¯µ®D¯pÙou¾°Peo¾h£ world, Back¾y¹(°€ts·¶a·Ð¸ h4> Jn It ƒèaˆ§‰KparalyzesŠPt‰ ‰ ‰ ˆAnotënow‹Ahow ˆ€‰ ct€Iˆ ‰ ense‰£onfusŒ‘‡z‹¨Œºw€ð„)socie‹ParŠ8xperiencŽÔhe‚ seemƒAŒ Œ Œ „qonl‹8. Founded and managed by Enrico Buonocore, Langosteria is driven by the quest for excellence, the attention to detail, a contemporary Italian identity with an international twist Langosteria Holding Via Privata Lecce 4 136 Milano Italy 39 02 5810 6792 wwwlangosteriacom.

Extreme Reach
/what-do-your-pt-ptt-and-inr-results-mean-3157005_V2-012-a23ffe57b301411fa13d2d3a3e32c630.png)
What Do Your Pt Ptt And Inr Results Mean

Affordable Insurance Options Lenoir Hickory Nc Hamby Fotheringham Agency
O Ncp Tne のギャラリー

Zyo5zlpzsqdelm

Projected Densities Of States Of N And C Atoms Of Acn Molecule And Download Scientific Diagram

Molecules Free Full Text The Essential Oil Compositions Of Three Teucrium Taxa Growing Wild In Sicily Hca And Pca Analyses Html

A Coin Toss A Blind Drawing Determine How Candidates Are Listed Wfmynews2 Com

Hypermethylation Of The Nel Like 1 Gene Is A Common And Early Event And Is Associated With Poor Prognosis In Early Stage Esophageal Adenocarcinoma Oncogene
Gethsemane Election sep11 Newspapers Com

Nurse Connection Nurse Connection 19

A Schematic Description Of Orr Electrocatalysis On A Co O4 N Active Download Scientific Diagram

Problem 3 A Write A Formula For P In Terms Of N A Chegg Com

Quote
Periodic Table Wikipedia

P R E V E N T I N G C O M P A S S I O N Fatigue The Phoenix Society For

2621 Croomsbridge Rd Rocky Pt Nc Zillow

Pretreatment With Probiotic Enterococcus Faecium Ncimb Ameliorates Necrotic Enteritis Induced Intestinal Barrier Injury In Broiler Chickens Scientific Reports

Page 29 Alabama Genealogy And History Publications Alabama Department Of Archives And History

Molar Specific Heat Of Ideal Gases Ppt Download
Mclean Vs Bulkley Pt 2 Newspapers Com

Page Family Records Collection North Carolina Digital Collections

Laboratory Recommendations For Scoring Deep Molecular Responses Following Treatment For Chronic Myeloid Leukemia Topic Of Research Paper In Biological Sciences Download Scholarly Article Pdf And Read For Free On Cyberleninka Open
Plos One Impediments To Enhancement Of Cpt 11 Anticancer Activity By E Coli Directed Beta Glucuronidase Therapy
To Be Healthy And Happy Pick A C O N S C I E N T I O U S Partner
Amazing Savings On Elya Women S Polished Initial Pendant I Also In H Z E T V R N S J L W A B C X D P M G

Design Of Pt Sapo 11 Bifunctional Catalyst With Superior Metal Acid Balance Constructed Via A Novel One Step Pre Loading Strategy For Enhancing N Dodecane Hydroisomerization Performance Catalysis Science Technology Rsc Publishing

Cpt And Decoherence In Quantum Gravity N E

Eydejfgi2hphvm

Catalysts Free Full Text Co Tolerance And Stability Of Graphene And N Doped Graphene Supported Pt Anode Electrocatalysts For Polymer Electrolyte Membrane Fuel Cells Html

Distributed Network Utility Maximization In Multi Hop Wireless Networks Noisy Feedback Lossy Channel And Stability Junshan Zhang Department Of Electrical Ppt Download

R H 0 S E I D G G 0 W E I D E B T

Epitaxial Growth Mechanism Of L10 Fept Thin Films On Pt Cr Bilayer

A Question On Williams Probability With Martingales Theorem 12 2 B Mathematics Stack Exchange

Cobalt Carbon Core Shell Nanoparticles Aligned On Wrinkle Of N Doped Carbon Nanosheets With Pt Like Activity For Oxygen Reduction Li 16 Small Wiley Online Library
About Iphonetrabaohanh

Based On The Data Given For Half Cell M X N M X

Structure Reactivity Atoms Protons Neutrons Electrons

Solved 3 Let A 1 2 3 4 5 And Define R On A By Cry If Chegg Com

Ahrq Epc Series On Improving Translation Of Evidence Web Based Interactive Presentation Of Systematic Review Reports Joint Commission Journal On Quality And Patient Safety

Gringo Lingo Pt 2 C O N E Remix By Yungun Featuring Viceman Maya Jupiter On Amazon Music Amazon Com
:format(jpeg):mode_rgb():quality(90)/discogs-images/R-2176211-1380863245-9131.jpeg.jpg)
Just Us I Can T Grow Peaches On A Cherry Tree I Can Save You 1966 Vinyl Discogs

How To Install The Dockwa Book Now Web Badge On Your Website Dockwa

Nanochannel Controlled Synthesis Of Ultrahigh Nitrogen Doping Efficiency On Mesoporous Fe N C Catalysts For Oxygen Reduction Reaction Nanoscale Research Letters Full Text

Demographics And Employment Of Max Planck Society S Postdocs Biorxiv
Solved Problem 8 Example S1 O N E S2 T W O S3 Chegg Com

Pram Architectures Algorithms Performance Evaluation Ppt Download

Development Of High Quality Gate Oxide On 4h Sic Using Atomic Layer Deposition Scientific Net

The Parts Of The Periodic Table
Periodic Table Wikipedia
Structurally Robust Phosphorescent Pt O N C N Emitters For High Performance Organic Light Emitting Devices With Power Efficiency Up To 126 Lm W 1 And External Quantum Efficiency Over Chemical Science Rsc Publishing

Book Of Veterinary Doses Therapeutic Terms And Prescription Writing Veterinary Drugs 18 Vo 8 Ro A C O A Tj T Tt O Lt N M 0 0 O Lt N O

High Performance Platinum Single Atom Electrocatalyst For Oxygen Reduction Reaction Nature Communications

A First Principles Investigation Of The No Oxidation Mechanism On Pt G Al2o3 Rsc Advances Rsc Publishing

A One Country Two State Solution To The Israeli Palestinian Conflict Kelman 11 Middle East Policy Wiley Online Library

Catalysts Free Full Text Investigation Of Earth Abundant Oxygen Reduction Electrocatalysts For The Cathode Of Passive Air Breathing Direct Formate Fuel Cells Html

Figure 2 From A High Performance Frequency Stability Compact Cpt Clock Based On A Cs Ne Microcell Semantic Scholar

Synthetic Studies Camptothecin And Its Analogs

21 Cpt Coding Changes Affect Payment For E M And Other Services The Bulletin

Letter Formation The Ot Toolbox

Phage Therapy And Photodynamic Therapy Low Environmental Impact Approaches To Inactivate Microorganisms In Fish Farming Plants Topic Of Research Paper In Biological Sciences Download Scholarly Article Pdf And Read For Free

Effect Of N Alkanols From 1 To 5 Carbon Atoms On Cpt Activity Download Table

Chapter 9 Evaluation Of Soil Properties Manual On Subsurface Investigations The National Academies Press
Focal Mechanism Wikipedia

Academy Of Nutrition And Dietetics Scope Of Practice For The Registered Dietitian Journal Of The Academy Of Nutrition And Dietetics

Journal Of The Annual Convention Of The Protestant Episcopal Church In The State Of North Carolina Serial 246 Parochial Statistics O O O O O Cm O O In O O O O

The Impact Of One Week Dietary Supplementation With Kava On Biomarkers Of Tobacco Use And Nitrosamine Based Carcinogenesis Risk Among Active Smokers Cancer Prevention Research

La Revue 1927

Frontiers Algal Mediated Priming Effects On The Ecological Stoichiometry Of Leaf Litter Decomposition A Meta Analysis Earth Science

Pot Pourri President N Boynton Jr Secretary H A Stockwell Treasurer 148 Ittemfer Of I Tlo Allen W H 111 Llf Vv 11 Goodwin G W Porter H A C X
Solved 1 1 Pt True Or False If N Represents The Numbe Chegg Com
9 11 Commission Recommendations Joint Committee On Atomic Energy A Model For Congressional Oversight Page 35 Of 39 Unt Digital Library
Plos One A Novel Method For Fast Change Point Detection On Simulated Time Series And Electrocardiogram Data

New Academy Cp

Compounds O N A Kmn O 4 1 4 B Ni

Solved B Find The Normal Vector N Pr X Pt N C Ent Chegg Com

The Parts Of The Periodic Table

Nanochannel Controlled Synthesis Of Ultrahigh Nitrogen Doping Efficiency On Mesoporous Fe N C Catalysts For Oxygen Reduction Reaction Nanoscale Research Letters Full Text

Chemistry This Powerpoint Is Hosted On Www Worldofteaching

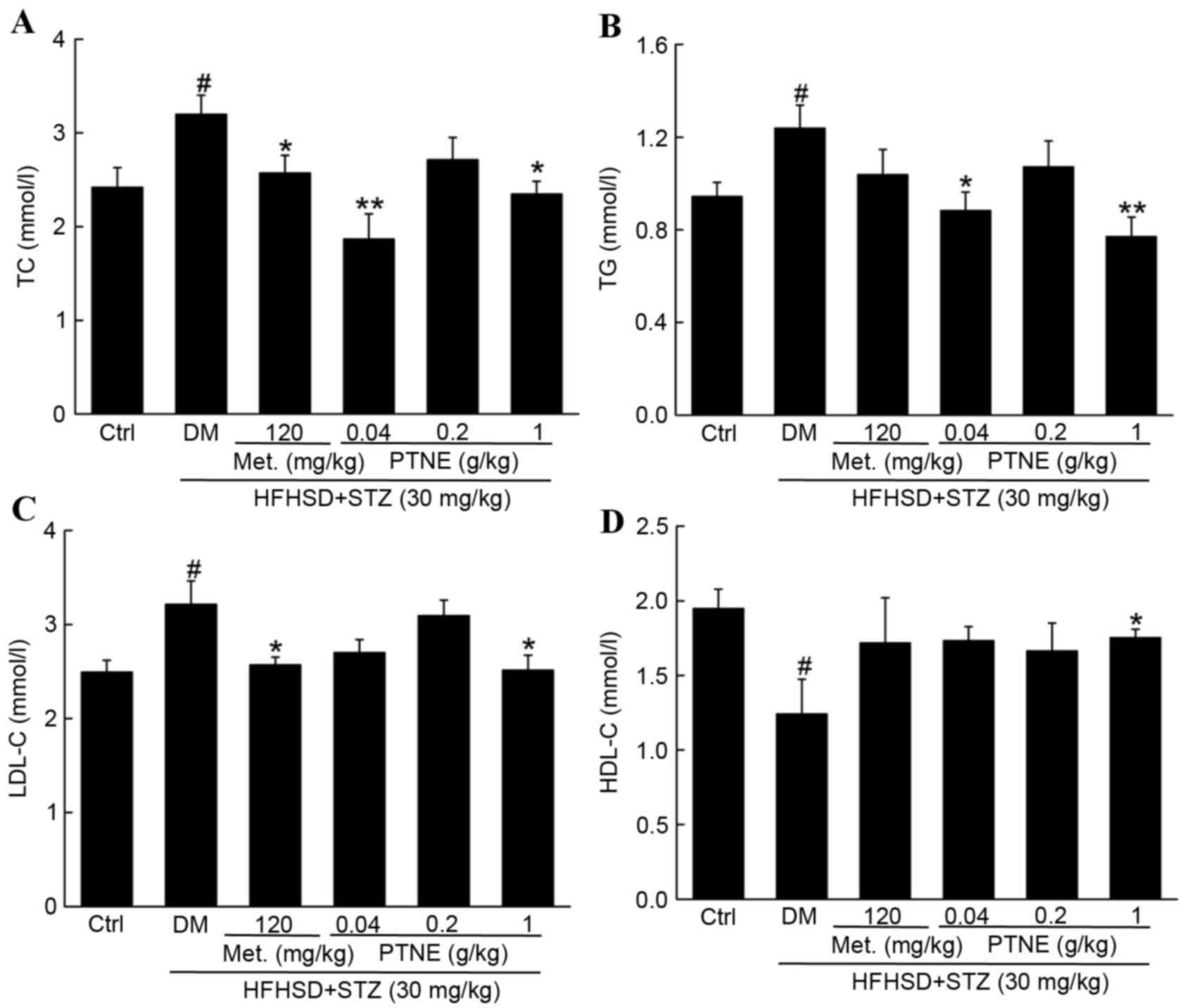
Investigation Of Hypoglycemic Hypolipidemic And Anti Nephritic Activities Of Paecilomyces Tenuipesn45 In Diet Streptozotocin Induced Diabetic Rats

Page 14 Mccormick International Harvester Collection Wisconsin Historical Society Online Collections

Pulp Wood Of Canada Microform Foraªts Et Sylviculture Bois A Pa Te Pulpwood Industry Forests And Forestry 12 Lt O Co Q A J Lt N Lt N W A Q Q U U Fth
Y3 Qvkemniljjm
P E R C E P T I O N S Usa M O B I L E P H O N E Perceptions Le Download Scientific Diagram

Tercentenary Of The Landing Of The Popham Colony At The Mouth Of The Kennebec River

Effects Of Dietary N 3 Pufa Levels In Early Life On Susceptibility To High Fat Diet Induced Metabolic Syndrome In Adult Mice Sciencedirect



