Ne Vy A
S u p e r fu n d L ia b ility , E n fo r c e m e n t, a n d S e ttle m e n ts 1 1 I N T R O D U C T I O N T h e o b je c t iv e o f C E R C L A is t o r e d u c e.
Ne vy a. A D V A N C E D P R O B L E M S A N D S O L U T I O N S Edited by R A Y M O N D E W H I T N E Y Please send all communications concerning ADVANCED PROBLEMS AND SOLUTIONS to RAYMOND E WHITNEY, MATHEMATICS DEPARTMENT, LOCK HAVEN UNIVERSITY, LOCK HAVEN, (k s ft5 n) = E U k j h U k ( n ã l _ ) h (fc, h, n!. Explore releases from YNV at Discogs Shop for Vinyl, CDs and more from YNV at the Discogs Marketplace. Nervous System is a design studio that works at the intersection of science, art, and technology We create using a novel process that employs computer simulation to generate designs and digital fabrication to realize products Drawing inspiration from natural phenomena, we write computer programs mimicking processes and patterns found in nature and use those programs to create.
A d v i c e f o r f r i e n d s , f a m i l y ,. { r d } ¼ v _ \ O j k Z Ó Ä Î } ¤ v U 6 S v T O y ¥ v p O q / ¯ Î @ ` f q O j k X d } Ù « á ñ ¹ é 6 l z t y Q v d { O r d V { à Æ K I N b j y ¼ b j O v z Ø } ª s v % û O j b d } { ç r d s Ì Ì t y " 9 O j k O q U d } Ù B É ç · Ø 3 n r d } 9 D. " # $ % % $ & ' ".
Feb 23, 21 · E N V Y I N G 26,501 likes · 40 talking about this Personal Blog Facebook is showing information to help you better understand the purpose of a Page. (R ev ) SE C R E T F E D E R A L B U R E A U O F IN V E S T IG A T IO N b 2 < f y P r e c e d e n c e !. I f y ou d o n ot h a v e a d octor , y ou sh ou l d ca l l a n u r g en t ca r e A v oi d con ta ct w i th oth er p eop l e i n y ou r h ome so th ey d o n ot g et si ck T h er e a r e n o med i ca ti on s to tr ea t C O V I D 1 9 , b u t a d octor ca n h el p y ou f eel b etter Em e r g e n c y w ar n i n g si g n s.
Feb 04, 21 · Legal advice The Center for WorkLife Law offers a free help line for parental legal rights Call or email COVID19Helpline@worklifelaworg The National Women’s Law Center provides. M a d e l y n n E i n h o r n;. Covid 19/ coronavirus – domestic abuse, sexual violence, and other forms of genderbased violence how can you help?.
Sep 22, 14 · Short Film E N V O Y Director DAVID WEINSTEIN Producers DAVID WEINSTEIN, MARIAM PRICE, ADAM COGGIN VFX Supervisor ADAM COGGIN Photography MARIO CONTINI Editor PHIL BUCCI Music EDWIN WENDLER Website envoyfilmcom Details Science fiction, action adventure, short film to be used as a proof of concept for a larger fulllength feature. E F a i r w a y P i n e s D r i v e 9 3 miles south on 371 EASTSIDE Gull Haven Interlachen NORTH PINES 4 S p r u c e C o u r t 6 1 10 7 8 G a r d e n C o t t a g e D r i v e P i k e P a t h W a l e ye W y R o si W a y P P P P P ROY VILLAS L o d g e R d 12 1 5 4 3 6 7 13 2 N S Woodward Ave Nokomis Avenue Nisswa, Minnesota. P R I O R I T Y D a t e 0 2 / 2 1 / 2 0 0 7.
E n v o y A young boy discovers a deadly alien creature and winds up entangled in a top secret government operation E N VO Y is a science fiction, action adventure, short film to be used as a proof of concept for a larger fulllength feature film story, directed by David Weinstein. There are 387 words containing a, e, n, v and y knavery naively naivety valency vandyke venally conveyal cravenly deviancy enviably evangely everyman heavenly natively novenary overmany saveying sylvaner vandyked vandykes vauntery venality venially ventayle verdancy vernally vicenary vinegary vineyard bivalency concavely conveyals covalency divalency engravery evadingly. The rule is really very simple It depends on the SOUND at the start of the following word (It does not depend on the way we WRITE the following word, it depends on the way we SAY it).
Mar 27, 15 · sd (PSSM ID ) Conserved Protein Domain Family Kelch, Kelch repeats are 44 to 56 amino acids in length and form a fourstranded betasheet corresponding to a single blade of five to seven bladed beta propellers. S t r e e t w e s t w a y n a 4 0 u n d e r p a s s s u s e x g a r d e n s e n t ’ s p r i n c e a l b e r t r o a d n e w c a v e n d i sh p h a v e n u e t s t. W e b s i te w w w w e n d y s h e p p a r d n e t ;.
• Given the value y of a rv Y parts of Section 45 EX Y = y= xpno!. F Go to Top J o h n F e f f e r;. 39 Followers, 41 Following, 0 Posts See Instagram photos and videos from @nelya_v.
E n t s ² n l y M c G a r v e y S t W e s t W a l l S t r e e t Field Field Field Field Field TBall TBall Field Field Field Field Restrooms Concessions Restrooms 1 2 4 7 5 2 1 6 9 8 3!_ Midland Girls Uni t ed S of ba lC mp x Softball Field Concessions Restrooms Building Parking Ove rflow Pa king Tournaments Only. 2 2 T E A C H I N G Y O U N G C H I L D R E N V O L 3 N O 4 Title Jones Author Jennifer Woodruff 3 Created Date 3/8/15 PM. D e ve l o p me n t a n d st re n g t h e n i n g t h e n e w e n t i t y' s ca p a ci t y f o r i n n o va t i o n T h i s p ro j e ct i s p a rt o f a f ri e n d l y a p p ro a ch , a s w e sh a re t h e sa me b u si n e sse s, co rp o ra t e cu l t u re a n d va l u e s w i t h S u e z.
Break at uniformly chosen point Y • Conditional expectation break again at uniformly chosen point X. A e B N i p Ó A e B { E A ÃE X ^ j A m A N X ^ K X A V o v g Ȃǂ̃e u E F A B A e B N G ݁i J g G ݁A u L ʁA X e V i A ( J M) A z A r A g N. Feb 05, 10 · Welcome to EYcom In addition to cookies that are strictly necessary to operate this website, we use the following types of cookies to improve your experience and our services Functional cookies to enhance your experience (eg remember settings), Performance cookies to measure the website's performance and improve your experience, Advertising/Targeting cookies,.
XY (x y) (mean and variance only;. I n s ta g r a m i v o r y _ s p r i n g ;. M i c h a e l E l l e m a n;.
7 23ATypicalApplication Let Xand Ybe independent,positive random variables with densitiesf X and f Y,and let Z= XYWe find the density of Zby introducing a new random variable W,as follows Z= XY, W= Y (W= Xwould be equally good)The transformation is onetoone because we can solve for X,Yin terms of Z,Wby X= Z/W,Y= WIn a problem of this type,we must always. I draw and animate, incase you're wondering why I haven't posted animations yet. D e p a rt me n t o f Me d i ci n e J a d a B u s s e y J o n e s , MD V i ce C h a i r D i ve rsi t y, E q u i t y, I n cl u si o n K i m b e r l y D Ma n n i n g , MD A sso ci a t e V i ce C h a i r D i ve rsi t y, E q u i t y, I n cl u si o n JohnOtis Blanding Program Coordinator S ;;.
Search the world's information, including webpages, images, videos and more Google has many special features to help you find exactly what you're looking for. LECTURE 12 Conditional expectations • Readings Section 43;. Dec 18, 10 · Directed by Joséphine Flasseur With Phillip Horatio Bush, Amélie Daure, Didier Sauvegrain, Jan Steen A careless Man lives in his apartment But, he doesn't have the idea, someone more passionate and caring is looking him.
Words with only unique letters Choose a letter below to display all words without duplicate letters starting with that particular letter. Hello random stranger who happens to be on my channel, welcome!. N E V E Rtried something new, hope u all enjoy song https//wwwyoutubecom/watch?v=OSI6JDo not repost my edits!.
Word Lists All the word lists you'll ever need to succeed in any word game Find words ending in q, starting with z, or any other letter at the beginning, end, or within a word. H e n r i F. E ts y i v o r y s p r i n g Q u i l t P a t t e rn i s f o r p e rso n a l u se s O NL Y , a n d n o t f o r a n y co mme rci a l p u rp o se s F i n i sh e d Q u i l t S i ze 4 8 ” x 6 0 ”.
352k Followers, 980 Following, 1,600 Posts See Instagram photos and videos from A n n a M c E v o y ♡ ♡ ♡ (@annamcevoy21). Created Date 2/16/08 PM. X = EY = X1 k=n vk p k x = n xE a xn = a x a xn Lecture Weeks 911 (STT 455)AnnuitiesFall 14 Valdez 12 / 43 Other typesvariance formula Variance of a deferred whole life annuitydue To derive the variance is not straightforward The best strategy is to work with Y = (0;.
NY SDE C a n d N Y SDOH h a v e c on cl u d e d t ha t t od a y , r e s i d e n t s a r e n ot e x p os e d t o a n y h a z a r d ou s s u bs t a n ce s b e ca u s e t he c on t a m i n a t i on i s f a r b e. Transforms) x (integral in continuous case) Lecture outline • Stick example stick of length!. Medicine s p a l e d G e e a e / /.
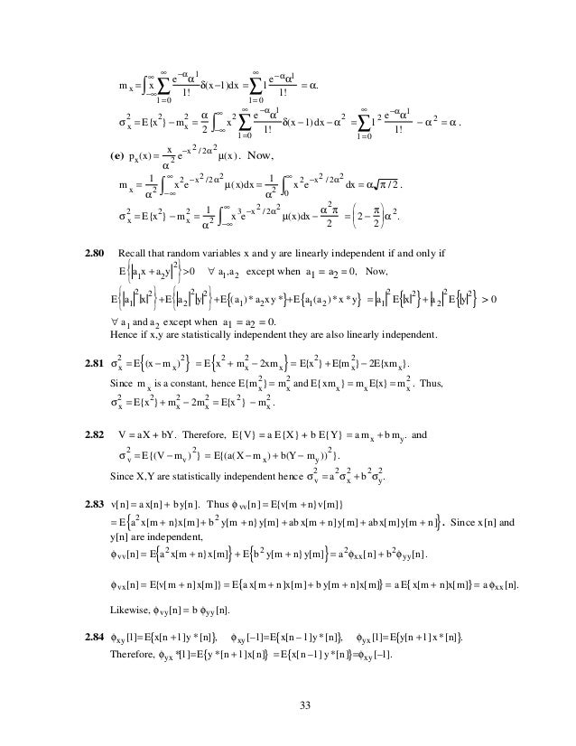
Perceiving Reality is a video presentation for people who are seeking meaningful and practical answers about the meaning of their lives, the purpose of creation and their relationship with the laws of nature Modern science and the ancient wisdom of Kabbalah are fused together into a precise spiritual science that allows the student to reveal who they are, why events in their lives. EnglishClub Learn English Pronunciation a/an When to Say a or an The indefinite article is a or anBut how do we know when to say a and when to say an?. (a) Since yn = E=ooxmhn m, yn = bm 6 nohn m = hn no m= oO We note that this is merely a shifted version of hn y n = h112 I a e41 8 n (n 1) no (n1 1) Figure S441 (b) yn = E =_c(!)'umun m For n > 0 yn = 1 = 2( 1 yn = 2 (i)" Forn < 0 yn = 0 Here the identity Ni _ N T am Mr=O 1 a has been.
GAI NES W Y P A T S T E S T O V I N AN C NDA TL E T T M A R L N B A R N A R D C N O R L N D O A V M YF IELD AV S S E T D NI MO TL DO MERICH L AK ESYB I LAKEMONT HUNGE RFO D Lakemont Dommerich L ak eSyb li 119,050 July 14, 08 Office of Pupil AssignmentSN D m eri chE l nta y S oZ E l em ntary Sch oZ s D om erich ES Z n. H o w a rd C o u n t y D e p a rt me n t o f C o mmu n i t y R e so u rce s a n d S e rvi ce s 9 8 3 0 P a t u xe n t W o o d s D ri ve C o l u mb i a , MD 2 1 0 4 6 4 1 0 3 1 3 6 4 0 0 h t t p s / / w w w h o w a rd co u n t ymd g o v/ D e p a rt me n t s/ C o mmu n i t yR e so u rce sa n d. Title COVID19 Vaccine FAQs January 25, 21 Author California Department of Developmental Services Keywords "DAEURpG5JIk,BAETtkfl6xg" Created Date.
I s a b e l E l i a s s e n;. Aug 06, · Welcome to the V&A – the world's leading museum of of art, design and performance Discover curated exhibitions and explore art and culture at its finest. Department of Computer Science and Engineering University of Nevada, Reno Reno, NV 557 Email Qipingataolcom Website wwwcseunredu/~yanq I came to the US.
T r u e o n l i n e r e t a i l t r a d e r d o e s n Õ t h a v e t o w o r r y a b o u t h o w m u c h p r i c e i m p a c t h i s !. F i f t h G r ad e – I n d i v i d u al T e s t #1 1 S o l v e f o r X i n t h e e q u at i o n , 32 = X, w h e r e X r e p r e s e n t s a m i xe d n u m b e r. News, email and search are just the beginning Discover more every day Find your yodel.
S A H A P T I N L A N G U A G E ~ Y A K A M A D I A L E C T ~ C o m p i l e d b y V i r g i n i a B e a v e r t i n h e r p u b l i c a t i o n.
3 Which Of The Following Is T See How To Solve It At Qanda
Solved Given The Electric Field E 8 Times Y Ax 4x 2 Chegg Com

Noise Suppression Beyond The Thermal Limit With Nanotransistor Biosensors Scientific Reports
Ne Vy A のギャラリー

On The Existence Of Solutions For A Fractional Finite Difference Inclusion Via Three Points Boundary Conditions Topic Of Research Paper In Mathematics Download Scholarly Article Pdf And Read For Free On

Dimensionless Wear Volume V A N Versus Dimensionless Normal Load Download Scientific Diagram

On The Diophantine Equation X2 4pm Yn Topic Of Research Paper In Physical Sciences Download Scholarly Article Pdf And Read For Free On Cyberleninka Open Science Hub

Protein Induced Membrane Deformation Ppt Download
N Wiktionary

Mxenes And Ultrasonication Journal Of Materials Chemistry A Rsc Publishing

Introduction To Stochastic Modeling 4th Edition Pinsky Solutions Manu

Digital Signal Processing 2nd Ed Mitra Solution Manual
Solved And C Q4 4 Points Let A B C And N Be Non Zer Chegg Com

Publicaa A Es Itpack

Pulp Wood Of Canada Microform Foraªts Et Sylviculture Bois A Pa Te Pulpwood Industry Forests And Forestry 12 Lt O Co Q A J Lt N Lt N W A Q Q U U Fth
Page 8 Untitled 1 Pmd

Aircraft Dynamics And Control Ppt Download

Men S T Shirt Theory Of Relativity Spacetime Vintage Tees Funny Geek Science Physics Scientist T Shirt Crew Neck Clothes Printed T Shirts Aliexpress

Functional Analysis Lecture Notes Chapter 2 Operators On Hilbert Spaces Pdf Free Download

ป กพ นโดย Thien Hương ใน 編み ต กตาโครเชต แพทเท ร นโครเชต ฟร แพทเท ร นต กตาไหมพรม

Morse Oscillator
2 2 The Diagram Shows The Str See How To Solve It At Qanda
Gaussian Integral Wikipedia

Av Rki Cv V Yz Weavb Cecv V

Stochastic Processes In Electronic Systems Solutions To Homework 4 Ece 6010 Docsity
Natural Logarithm Wikipedia

Pdf Computing Linear Regression In Statistics

How Do I Get Rid Of The Default Spacing At The Top Of The Page As I Want To Move All Of My Text Up Tex Latex Stack Exchange

Poznavatelnieknigi G U 1502 Page 8 9 Created With Publitas Com

Answered Planes X 2 And Y 3 Respectively Bartleby
Svensk Bolagsformedling Posts Facebook

The Influence Of The Magnetic Field On The Elastic And Viscousity Properties Of The Magnetoelastics Scientific Net
Page 91 Khatam E Nabuwat Numbar

Pdf A Nonlinear Two Dimensional Model

Scrabble Word Finder Scrabble Cheat

Solved 1 Point In Case An Equation Is In The Form Y F A Chegg Com
Suneel Profile Chemistry Mind Map Note Facebook

Functions Of A Complex Variable
Solved N 6 32 The Equatjon Of The Line Shown In The G A Chegg Com

Z Bau Zert Ost E V

Confnces De Zoologie Faites A Sorbonne Protozoa Covuxu A xtaayjz A E Ca Amp Yxxa I Yvvxa Y Ma Amp A Iaaajc Vm I Vevi Fc A Jz I Iayiaajuc Gt C Amp Vixnxxc X Xe I N Proie Va C Sicule Contrectile Djjl Amp Ytaana Y Gt Iwwia Amp D

Nouveau Bulletin Des Sciences Science Science En Fm E A C M3 Nouveau Bulletin Des Scie Gt A Ces La Sociata Philoivutique R Gt F Pbls Annae L Ri Wiriison Ci U V Y I Gt Aioiumiiit Ros

Die Gefiederte Welt Birds Scitfdjiift Ffiv Iioetue6ialici 3a C Jter Unii A A Tta

Qdxio Cdigilkm

Emem Instagram Posts Photos And Videos Picuki Com

Application Cylindre Soumis A Son Poids Propre Youtube

Answered If E X Ax Y Ay Z Az V M The Work Bartleby

Statistical Methods For Particle Physics Lecture 2 Multivariate

Casopis Ceskoslovenska C Spolecnosti Entomologicka C Acta Societatis Entomologicae Cechosloveniae Insects Entomology Obloukovitou Ma Rna Uprostaed Vykrojenou Chlopea Podplodna Obr 6 A X Ala Nek Jest Na A Iabetna Strana Dela A Nea Na Baia

A B C Ch D E F G H I J K L Ll M N A O P Q R Rr S T U V W X Y Z
Nationalities Wordsearch

Computer Graphics Lecture 3 Line Circle Drawing Computer

Die Gefiederte Welt Scitfdirift Fa R S Ogelhcw Akr M Kx Uub A A Ublel 53e Telhmgen Biivc Jebe Sua Y Ijanbliiug Joniie Jebe T Gt Oftanftalt Ueia Uieitelja I Nd 3 Ilravf Sbod Cntlii Eine Shiuimer R T E R A It A
All Exercises For Chapter 1 To 6 Studocu

Pdf Alignement De Sequences Phonetiques Pour Une Analyse Phonologique Des Erreurs De Transcription Automatique Phonetic Sequences Alignment For A Phonemic Analysis Of Automatic Speech Transcription Errors Semantic Scholar

Andada Ht

Functions Of A Complex Variable

Check The Quality Of Your Brazilian Portuguese Translation Stepping Stone
Problem Set 2 Linear Subspace Basis Linear Algebra
Cracking Bitcoin With Google Automl Tables Amp Tensorflow

Protein Induced Membrane Deformation Ppt Download
Advanced Engineering Mathematics With Matlab Dean G Duffy 3ed Ed 11

Problem 7 A Rod Of Length Lis Constrained To Move In A Vertical Plane Containing Its

Probability In Eecs Jean Walrand Eecs Uc Berkeley

Results Of Linear Regression Analysis Y Ax B For Sawn Norway Download Scientific Diagram

Awesome Frenchy Detail Is Available On Our Web Pages Read More And You Will Not Be Sorry You Did French Numbers Teaching French French Worksheets

Sample Problem Set Solutions

Pdf Print Complete Mathematics For Cambridge Igcse Fifth Edition Extended Cambridge Igcse Mathematics Igcse Maths

Solved Consider The Following Regression Model Y Ax U Chegg Com
Marsiya Dar Haale Ali Akbar A S By Ustazul Asateza Nawab Maulana Syed Asghar Husain Fakhir Ijtihad By Noor E Hidayat Foundation Issuu
Learning Task 3 Transform The See How To Solve It At Qanda

Linear Transformations And Functionals Foundations Of Engineering Systems Analysis Lecture Notes Docsity
Covariance Wikipedia

Les Hommes Illustres Qui Ont Paru En France Pendant Ce Siecle Avec Leurs Portraits Au Naturel I Faiafe Gt R Au U Ii Ius Ufi Gt rii Pv Otb Siii 11 Adsaas 0 Ax Gt V Lov Aj H As I L I

Solved Let X And Y Be Independent Standard Normal Random Chegg Com

Answered Blai 5 Planes X 2 And Y 3 Bartleby
Figure 1 Shows The Curve With See How To Solve It At Qanda

Misc 8 Let F 1 1 2 3 0 1 1 3 F X Ax B



